各工作间的逻辑关系包括工艺关系、组织关系。逻辑关系表达得是否正确,是网络图能否反映工程实际情况的关键,一旦逻辑关系搞错,图中各项工作参数的计算及关键线路和工程工期都将随之发生错误。

⑴ 工艺关系
是指生产工艺上客观存在的先后顺序。例如,建筑工程施工时,先做基础,后做主体;先做结构,后做装修。这些顺序是不能随意改变的。
⑵ 组织关系
是在不违反工艺关系的前提下,人为安排工作的先后顺序。如:建筑群中各建筑物开工的先后顺序;施工对象的分段流水作业等。这些顺序可以根据具体情况,按安全、经济、高效的原则统筹安排。无论工艺关系还是组织关系,在网络图中均表现为工作进行的先后顺序。
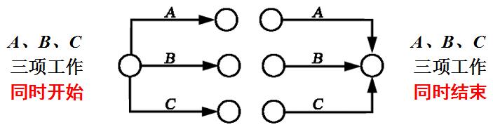
常见的逻辑关系及表示方法











注:欢迎大家关注小编的微信公众号“土木智库”,里面有小编整理的建筑行业的众多资料,有一建、二建、造价、消防视频和课件,欢迎大家的加入。

