CRCP是什么“鬼”?
CRCP是连续配筋混凝土路面的缩写。CRCP是在路面纵向连续地配有足够数量的钢筋,以控制路面板纵向收缩产生的裂缝宽度和数量。同时,在横向也配有一定数量的钢筋来支撑纵向钢筋。在施工时不设胀、缩缝(施工缝及构造所需的胀缝除外),形成一条完整而平坦的行车平面。
CRCP有哪些有优点?
1、消除了横向接缝,整体性和平整度好,行车平顺舒适。
2、CRCP耐久性好,使用寿命长。如果设计、施工得当,养护费用很少,虽然初期投资较高,但全寿命效益是经济合理的。
3、在路面内增设了纵向和横向钢筋,控制了裂缝宽度,使得裂缝紧密闭合,减少了裂缝剥落,提高了裂缝处的传荷能力。
当前国内外CRCP应用现状
国内:
CRCP的厚度按普通混凝土路面厚度设计的各项设计参数及规定进行。其基(垫)层取厚度和面板厚度均与普通混凝土路面的相同。
连续配筋混凝土面层的纵向配筋率按允许的裂缝间距(1.0~2.5m)、缝隙宽度(<1mm)和钢筋屈服强度确定,给出了平均裂缝间距计算、裂缝宽度和钢筋应力的计算公式。
连续配筋混凝土面层与其它类型路面或构造物相连接的端部,应设置锚固结构。端部锚固结构可以采用钢筋混凝土地梁或宽翼缘工字钢梁接缝等形式,并推荐出两种端部锚固结构的常用配置和尺寸。


混凝土计平面布置图案例

钢筋计平面布置案例
国外:
1993年版的AASHTO 方法中最小配筋率应满足下面两个条件:混凝土的最大拉应力不大于极限拉应力,及裂缝处钢筋的最大拉应力不大于屈服应力。
德克萨斯州运输部提出如下的钢筋用量设计标准:
(1)平均裂缝间距为0.9~2.4m;
(2)裂缝宽度小于0.64mm,以避免水进入路基;
(3)钢筋应力小于钢筋的屈服应力。
混凝土面层配筋设计
1、特殊部位配筋
1)混凝土面层自由边缘下基础薄弱或接缝为未设传力杆的平缝时,可在面层边缘的下部配置钢筋。通常选用2根直径为12~16mm的螺纹钢筋,置于面层底面之上l/4厚度处并不小于50mm,间距为100mm,钢筋两端向上弯起。


边缘钢筋布置(mm)
2)对于承受极重、特重或重交通的胀缝、施工缝和自由边的面层角隅以及承受极重交通的缩缝面层角隅,宜配置角隅钢筋。通常选用2根直径为12~16mm的螺纹钢筋,置于面层上部,距顶面不小于50mm,距边缘为100mm。

角隅钢筋布置(mm)
3)混凝土面层下有箱形构造物横向穿越,其顶面至面层底面的距离小于800mm时,在构造物顶宽及两侧各1.5(H+1)且不小于4m的范围内,混凝土面层内应布设双层钢筋网,上下层钢筋网各距面层顶面和底面1/4~1/3厚度处。

构造物顶面至面层底面的距离在800~1600mm时,则在上述长度范围内的混凝土面层中应布设单层钢筋网。钢筋网设在距顶面1/4~1/3厚度处,如图6.1.3-2所示。钢筋直径12mm,纵向钢筋间距100mm,横向钢筋间距200mm。配筋混凝土面层与相邻混凝土面层之间设置传力杆缩缝。

4)混凝土面层下有圆形管状构造物横向穿越,其顶面至面层底面的距离小于1200mm时,在构造物两侧各1.5(H+1),且不小于4m的范围内,混凝土面层内应布设单层钢筋网,钢筋网设在距面层顶面1/4~1/3厚度处。

2、钢筋混凝土面层配筋
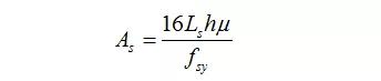
1)钢筋混凝土面层的配筋量

As——每延米混凝土面层宽(或长)所需的钢筋面积(mm2);
Ls——纵向钢筋时,为横缝间距(m);横向钢筋时,为无拉杆的纵缝或自由边之间的距离(m);
h——面层厚度(mm);
u——面层与基层之间的摩阻系数
fsy——钢筋的屈服强度(MPa)
σs为钢筋的容许应力,可取为0.75倍屈服强度 ;
γ取24kN/m3。

2)纵向和横向钢筋宜采用相同或相近的直径,其直径差不应大于4mm。钢筋的最小直径和最大间距,应符合下表的规定。钢筋的最小间距为集料最大粒径的2倍。

3)钢筋布置应符合下列要求:
纵向钢筋设在面层顶面下1/3~1/2厚度范围内,在不影响施工的情况下宜设在接近面层顶面下1/3厚度处;横向钢筋位于纵向钢筋之下;纵向钢筋的搭接长度一般不小于35倍钢筋直径,搭接位置应错开,各搭接端连线与纵向钢筋的夹角应小于60º;边缘钢筋至纵缝或自由边的距离一般为100~150mm。
3、连续配筋混凝土面层配筋
1)连续配筋混凝土面层的纵向配筋量按下述要求确定:
◆ 纵向钢筋埋置深度处的裂缝缝隙平均宽度不大于0.5mm;
◆ 横向裂缝的平均间距不大于1.8m;
◆ 钢筋所承受的拉应力不超过其屈服强度。满足上述要求所需的纵向配筋率,一般为0.6%~0.7%(中等交通)、0.7%~0.8%(重交通)、0.8%~0.9%(特重交通)或0.9%~1.0%(极重交通)。冰冻地区路面的配筋率宜高于一般地区0.1%。横向钢筋的用量应满足施工时能固定并保持纵向钢筋位置的要求。
2)连续配筋混凝土用于复合式面层的下面层时,其纵向配筋率可降低0.1%。
3)连续配筋混凝土面层的纵向和横向钢筋均应采用螺纹钢筋,其直径为12~20mm。当钢筋可能受到较严重腐蚀时,宜在钢筋外涂环氧树脂等防腐材料。
4)钢筋布置应符合下列要求:
纵向钢筋距面层顶面的最小距离为90mm,最大深度为1/2面层厚度,在不影响施工的情况下宜接近90mm;纵向钢筋的间距不大于250mm,不小于集料最大粒径的2.5倍;
纵向钢筋的焊接长度一般不小于10倍(单面焊)或5倍(双面焊)钢筋直径,焊接位置应错开,各焊接端连线与纵向钢筋的夹角应小于60º;边缘钢筋至纵缝或自由边的距离一般为100~150mm;
横向钢筋位于纵向钢筋之下;横向钢筋间距一般为300~600mm,直径大时取大值;横向钢筋宜斜向设置,其与纵向钢筋的夹角可取60°; 相邻车道之间或车道与硬路肩之间的纵向接缝内,必须设置拉杆,该拉杆可用加长的横向钢筋代替。
连续配筋混凝土面层纵向配筋计算
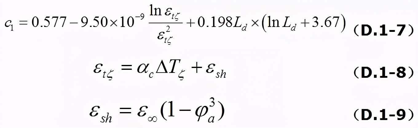
1、横向裂缝平均间距按式(D.1-1)计算确定。









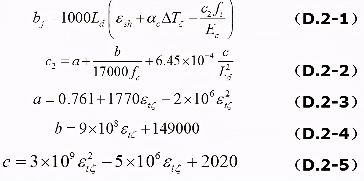
2 纵向钢筋埋置深度处的横向裂缝缝隙平均宽度按式(D.2-1)计算确定。


c2——与混凝土和钢筋之间的粘结-滑移特性有关的系数,按式(D.2-2)计算;其它参数的含义与计算裂缝间距时相同。
3 纵向钢筋应力按式(D.3-1)计算确定。

4 纵向配筋率计算步骤
1)初拟配筋率 ,按式(D.1-1)计算横向裂缝平均间距Ld。当Ld>1.8m时,应增大配筋率,重复上述计算至符合要求。
2)按式(D.2-1)计算裂缝缝隙平均宽度bj。当bj≤0.5mm时,满足要求;否则应增大配筋率,重复上述计算至符合要求。
3)按式(D.3-1)计算钢筋应力 。当 不大于钢筋屈服强度时,满足要求;否则应增大配筋率,重复上述计算至符合要求。
4)综合上述3项计算结果,最终确定配筋率,并进一步确定钢筋根数。在满足纵向钢筋间距要求的条件下,宜选用直径较小的钢筋。
材料设计参数经验参考值
1、路基回弹模量经验参考值


2、路基回弹模量湿度调整系数

注:

3、基层和底基层材料弹性(回弹)模量经验参考值






4、钢筋强度和弹性模量经验参考值

现场施工要点

钢筋网制作:采用钢筋支架垫支法稳定纵横向钢筋网。施工时将横向钢筋点焊在支架上,并摆放到基层上,然后将纵向钢筋安设在横向钢筋之上,从而形成稳固支撑的钢筋网。要求完成的钢筋网纵筋顺直,横筋端正, 平面如水。同时, 支架钢筋不得打入基层, 以避免支架钢筋阻止面板的自由伸缩, 并防止面板伸缩造成支架钢筋破坏基层。
纵向钢筋的搭接不宜采用全部焊接的方式。纵向钢筋的搭接宜采用绑扎形式,并应按100m 的段落提前绑扎,浇注混凝土前再焊接、绑扎成连续网片。绑扎长度为钢筋直径的50~70 倍。也可以每隔30~50 m 采用焊接形式,然后在浇注混凝土前对10~20 m 进行绑扎。
混凝土施工:混凝土施工中应严格保证施工质量的稳定性, 减小由于施工因素引起的参数变异性。必须采用侧向进料方式,因此侧向布料机是必备机械。保证钢筋网上下的混凝土得到充分振捣密实是连续配筋混凝土路面摊铺的关键。插入振捣棒应控制在钢筋网以上至少2 cm,以防止振捣棒与钢筋网接触而造成振捣棒损坏,从而影响混凝土的密实。同时,由于振捣棒无法插入到钢筋网下的混凝土内,振捣棒宜采用高频低幅,以确保钢筋网下混凝土的密实性。
施工期间气温过高或风力过大时,不得进行混凝土的摊铺。气温较高或风力较大时摊铺混凝土必须加以重视,防止混凝土水分蒸发过多。当气温较高时,应采取温度控制措施,控制混凝土不能超过33℃。为降低水泥温度,工地水泥棚用白色反光材料涂刷,棚顶装有喷水设备以冷却外表温度,有些棚内配有空气流动设备。同时,要提前从生产厂家把水泥运来,存放在水泥棚内。蓄水池用锌棚遮挡阳关,避免阳关直射,并安装制冷设备降低拌和用水的温度,可以降低水温13℃左右。集料放在阴凉地方,并安装喷水设备向集料喷水,通过水分蒸发冷却集料。
CRCP路面混凝土浇筑完成后, 表面宜覆盖一定的保温材料(如活动罩棚), 以减小混凝土内外温差, 防止混凝土水份的迅速挥发。掺用减水剂, 可节约水泥, 减少用水量, 增加早期混凝土的塑性, 减少早期裂缝。选用低热高强水泥, 并可考虑掺入一定剂量的粉煤灰。
施工缝处理:横向施工缝采用平缝,在横向施工缝位置必须增设50%的纵向钢筋,每隔一根纵向钢筋布置一根补强钢筋, 补强钢筋插入两侧混凝土面板的深度不得小于1 m。纵向钢筋应在横缝处连续, 不可中断。
端部处理:目前国内外常用的端部处理措施主要有矩形地梁锚固和宽翼缘工字梁接缝2种形式,还有毛勒缝。当CRCP的端部构造采用钢筋混凝土矩形地锚梁形式时, 端部矩形锚固地梁钢筋网可在钢筋制作场地加工成钢筋骨架片。应按设计位置和尺寸开挖地槽, 并应尽量避免扰动和超挖两侧基层、垫层及路基。按设计位置安装钢筋骨架并固定牢固, 然后进行水泥混凝土的浇筑和养生。地锚梁钢筋应与路面钢筋相焊接, 地锚梁混凝土采用振捣棒分层振实, 并应与面板浇筑成整体。
路肩与路面板的连接可以采用将部分横向钢筋伸长的方式或增加传力杆的方式进行。
微观抗滑构造采用粗麻布拖毛,拖毛时间经现场摊铺试验确定,在摊铺机摊铺过后30~45mm为拖毛最佳时间。宏观抗滑构造采用软拉毛处理,减少CRCP裂缝处的局部破损。
连续配筋混凝土路面的养生至关重要, 先喷洒养生剂,然后覆盖保湿膜、土工毡、土工布、麻袋、草袋、草帘等,最后洒水保湿养生。养生一定要及时,养生时间一般14~21d。(最少采用14d)。
文章内容来自网络,如有侵权,请联系删除。
关注“广州君和”微信公众号,免费获得BIM软件7天免费试用和13个BIM软件系列教程,还有精彩案例,BIM解决方案,定期发送!