三角形中的诱导公式

正弦定理

余弦定理

面积公式

解三角形常见题型
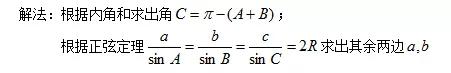
已知角A,B和边c

已知边a,b与角C

已知边a,b,c

已知边b,c与角C

这种题型可能出现解的个数不定的情况,可结合图形进行判断,也可根据b,c的大小进行判断。
归纳:在解决解三角形问题时,根据已知条件来选择公式,一般边多用余弦定理,角多用正弦定理。
三角形中的诱导公式

正弦定理

余弦定理

面积公式

解三角形常见题型
已知角A,B和边c

已知边a,b与角C

已知边a,b,c

已知边b,c与角C

这种题型可能出现解的个数不定的情况,可结合图形进行判断,也可根据b,c的大小进行判断。
归纳:在解决解三角形问题时,根据已知条件来选择公式,一般边多用余弦定理,角多用正弦定理。