大家好!感谢阅读本鸡的拙作。欢迎关注!
如果您发现本文有任何错误,文字或者叙述错误,请务必教我。
本鸡的理念是,学数学必须理解,理解只能考类比。
本文将从最容易的匀速圆周运动开始,用初等的几何和物理,辅以一条熟知的导数公式,推出虚指数表达式,并且理解虚指数的性质。先把答案撂这里:虚指数就是匀速圆周运动轨迹的表达式。强调一下,本文不是证明;本文的套路也不是本鸡发明的,是在读书的过程中获得的体会和实操经验。---希望你能模仿着写一下,画一画
没有晦涩的证明和推导,只说人话,没有废话,来啊。
现在,你肯定能写出一条三角恒等式:

菜鸡制作,欢迎关注
现在,再轻松画一个圆周:

菜鸡手绘,欢迎关注
插句废话(其实不是),角theta,单位弧度----其实没有物理意义上的单位。你想,圆周长公式不就是s=2πr吗?但是,左边s是长度,右边半径也是长度,所以π还敢有单位,两边就不平衡了。弧度角是纯几何的,其意义是弧长与直径的比率,所以π叫圆周率。
再插句废话,你心里要永远想着一件事,这个平面是复平面:描述复数,可以用箭头,直角坐标,极坐标。先写个直角算了:

菜鸡制作,欢迎关注
用直角坐标或者极坐标记法,圆周上的每个点就是

菜鸡制作,欢迎关注
刚才画的那个圆,圆周半径是1,也就是极坐标里面的极径r=1。不管怎么样,圆周可以说成是它上面的点的集合。圆周代表运动轨迹,就是让点沿着圆周走,当然,方便的就是极坐标(角被强调了)。实际上,复数用极坐标做乘除法是非常方便的,这其实说明了为什么物理和工科喜欢极坐标写法。
现在,必须也只需让角随着时间均匀变化,装模作样画几个时刻的点(位置),就是

菜鸡手绘,欢迎关注
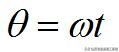
现在注意匀速应该有

菜鸡制作,欢迎关注
既然角严格与时间成比例,所以omiga的单位是(角)频率--时间的倒数--代表角增加的速度的大小,就是运动的快慢。这样一来,咱圆方程和坐标记法就是

菜鸡制作,欢迎关注
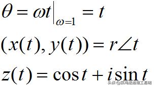
现在明摆着,如果用复数的直角坐标记法,就可以这样写

菜鸡制作,欢迎关注
如果令w=1,这件事没有任何的改变,所以,你可以看懂

菜鸡制作,欢迎关注
现在,重点来了。务必弄清楚一件事:速度方向是运动轨迹的切线方向,永远垂直于半径--半径的角+π/2。牢牢记住这一点。好,现在装模作样的,又画了几笔

菜鸡手绘,欢迎关注
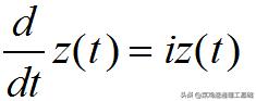
还有一件事,就是圆周运动速度的大小肯定是不变的。也牢牢记住这一点。再回忆一下,导数可以理解为速度。因此这两件事合起来,想法就是,如果用复值函数来描述圆周运动,
理解了----下面一小段读不懂本文就对你没用了-----
函数自变量是时间(因为你要描述运动),函数值是复数(圆周轨迹上的动点)。函数的导数(速度)恰好是函数自己乘以虚数单位i(因为速度垂直于半径,而半径就是特定时刻表示位置的复数--就那个箭头;因为要匀速,所以大小不变)。------看一眼直角就知道,虚数单位i的角是π/2,所以一个复数乘以i,i就是保持其大小不变,角增加π/2
现在指定初速度是i-----话句话,1和i垂直------就是最开始的位置的速度,那么t时刻的速度,也就是导数可以写成

菜鸡制作,欢迎关注
(如果你取初速度为iw或者任意其他值,过程都是类似的,指定初值是解微分方程的必要)
现在如果i是实数的话,那么上面的式子完全类似于

菜鸡制作,欢迎关注
现在形式上(事实上也的确如此),就应该

菜鸡制作,欢迎关注
因此必须有

菜鸡制作,欢迎关注
回忆一下z的直角坐标,就有

菜鸡制作,欢迎关注
常见的写法是

菜鸡制作,欢迎关注
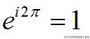
你立刻可以写出传说中最美公式,

菜鸡制作,欢迎关注
虚指数函数的2π-周期性是明摆着的;虚指数几乎遍及所有的物理和工科。当年被卡的欲哭无泪啊。
再次感谢阅读!希望帮到你了