| 作者:卢晓同1 常 宏1,2,†
(1 中国科学院国家授时中心 中科院时间频率基准重点实验室)
(2 中国科学院大学天文与空间科学学院)
本文选自《物理》2022年第2期

摘要 基于冷原子气体的时频测量在近20年里快速发展,引起了人们的广泛关注,其典型代表是基于大量中性原子的光晶格原子钟。利用超稳钟激光同时探测囚禁在光晶格里成千上万个冷原子的钟跃迁信号,光晶格原子钟已实现10-18量级的频率准确度和10-17量级的秒级稳定度,大幅度提高了时频测量的精度。文章概述了光晶格原子钟的发展历史、工作原理、性能评估及应用前景。
关键词 光晶格原子钟,时频测量,超冷原子,激光冷却与俘获
1
引言
1985年,朱棣文组利用6束激光形成的“光学黏团”实现了原子的激光冷却与俘获,由此开启了冷原子物理实验的大门[1]。此后,利用激光冷却原子的技术不断更新,基于冷原子的应用领域也不断扩展,其中基于冷原子的光晶格原子钟近年来的发展尤为瞩目。原子的“冷”与“热”反应了在热平衡状态下原子气体平均运动速度的慢与快,而原子运动快慢是影响频率测量精度的重要因素(导致多普勒频移并限制钟信号探测时间)。因此,冷原子技术的一个重要应用领域就是基于原子钟技术的时频测量。
1967年,国际计量局将时间的基本单位“秒”定义为:位于海平面上的133Cs原子基态的两个超精细能级在零磁场中跃迁振荡9192631770次所持续的时间为一个原子时秒。当时,时间的复现装置为基于热原子束的原子微波钟[2],其准确度为10-12(相当于3万年误差1 s),原子与微波场相干耦合的时间在毫秒量级。在冷原子技术诞生后,法国巴黎天文台于1991年实现了铯喷泉微波钟[3],并将原子与微波场相干耦合的时间提高了将近3个数量级。经过多年的发展,铯原子喷泉钟实现了1.1×10-16的时间测量精度(相当于3000万年误差1 s)[4]。
测量精度可以表示为Δ ν / ν 0,其中Δ ν 为频率测量的不确定度, ν 0为原子钟跃迁的频率。因此,减小Δ ν 或提升 ν 0均可以提高时频测量的准确度。光的频率比微波高出5个数量级以上,因此考虑Δ ν 不变的情况下,基于光频跃迁的光钟可以将频率测量的准确度提升5个数量级。这就好比测量长度时,一把最小刻度为1 mm的尺子可以比最小刻度为10 m的尺子测得更准确。光钟可分为基于单个离子的离子光钟和基于中性冷原子气体的光晶格原子钟。前者用离子阱囚禁单个离子,后者则采用激光形成的驻波场(即光晶格)囚禁中性原子。离子光钟的系统频移小,具有很高的频率准确度,经过多年的发展已经实现了9.4×10-19的系统频率准确度(相当于337亿年误差1 s)[5]。然而在探测单个粒子跃迁几率的时候,处于量子叠加态的原子的波函数会随机坍缩到基态或激发态上,最终导致无法准确地探测到单个粒子的跃迁几率——量子投影噪声(QPN)[6]。参与钟跃迁的粒子数越多,则QPN越小。这就意味着基于单个离子的光钟会受到很强烈的QPN的影响而无法获得很高的频率稳定度(秒级稳定度通常在10-15量级)[5]。而稳定度直接决定了钟输出频率的稳定性和有限时间内可获得的频率测量精度。
基于大量中性冷原子气体的光晶格原子钟则直接将QPN降低近2个量级(较单离子光钟),目前已实现10-17量级[7]的秒级稳定度和1.4×10-18的系统不确定度(稳定度经过105 s的积分时间达到了3.2×10-19)[8]。随着超稳钟激光技术和人们对光频移研究的进展,光晶格原子钟在近20年发展迅速,已经成为时频领域最前沿的研究方向并在诸多前沿基础研究和工程技术领域得到应用。
2
光晶格原子钟的发展
2003年,日本东京大学H.Katori教授最早提出了基于禁戒跃迁和“魔术波长”的光晶格原子钟[9],于2005年率先实现世界上第一台光晶格原子钟——87Sr光晶格原子钟,并测量了钟跃迁的绝对频率[10]。2006年,美国天体物理联合实验室(JILA)的叶军组[11]和法国巴黎天文台(LNE-SYRTE)的实验组也分别实现了87Sr光晶格原子钟[12],两个钟跃迁绝对频率测量结果一致。然而,他们对87Sr钟跃迁绝对频率的测量结果却与H. Katori组第一次测量的结果不一致(差异超出了其预估测量误差的5倍),这对光晶格原子钟的复现性带来了挑战。为了解决上述测量结果的不一致性,2006年,H. Katori教授改进了他们的光晶格原子钟[13],包括利用自旋极化提高信噪比并减小密度频移;利用平均对称塞曼子能级钟跃迁频率的方式消除一阶塞曼频移和晶格光张量斯塔克频移;优化了绝对频率测量过程中用到的仪器和溯源国际原子时的技术。装置改进后的87Sr钟跃迁绝对频率测量结果与其他研究组测量结果相符合,其用到的部分技术仍旧是目前光晶格原子钟采用的标准技术。随后越来越多的研究组加入到光晶格原子钟的研究中,光晶格原子钟不断取得突破性进展。
2008年,叶军组将87Sr光晶格原子钟的系统不确定度减小至1.5×10-16,超越了当时准确度最高的微波钟[14]。2013年,美国国家标准局(NIST)的研究组将171Yb光晶格原子钟频率稳定度提升到3.2×10-16

的稳定度,经过7小时的时间平均稳定度达到了1.6×10-18,率先将光晶格原子钟的稳定度提升至10-18量级[15]。2014年,叶军组构建了腔增益的87Sr光晶格原子钟,实现了6.4×10-18系统不确定度,成为当时性能最好的原子钟[16]。次年,他们将87Sr黑体辐射频移动力学修正系数的精度提升了2倍,并更加精细地调节晶格光的波长使其工作在“魔术波长”上,将87Sr光晶格原子钟的系统不确定度降低至2×10-18,并将稳定度提升至2.2×10-16

[17]。2015年,H. Katori组实现了“冷光钟”,他们通过移动光晶格技术将原子移动到温度被控制在95 K的小腔中进行钟跃迁探测[18],将黑体辐射频移导致的不确定度降低至9×10-19。2016年,NIST的研究组利用两团原子交替采样同一种激光的频率噪声,实现了无Dick效应的“零死亡时间”(ZDT)光晶格原子钟[19]。ZDT钟实现了6×10-17

的频率稳定度,非常接近其系统对应的QPN极限。2017年,NIST的研究组提出了基于热模型(模型误差导致的不确定度约为3×10-19)的“运行魔术波长”技术来消除晶格光导致的系统频移[20],其利用高阶斯塔克频移在一定条件下可与一阶斯塔克频移相抵消的特点,将晶格光导致的系统不确定度降低至10-19量级。同年,叶军组实现了费米简并的三维光晶格原子钟,将光晶格原子钟的测量精度提升至5×10-19 [21]。2018年,H. Katori教授提出的“魔术运行条件”技术可以比热模型更精确地评估晶格光导致的系统频移[22],并指出在特定参数下可以将晶格光交流斯塔克频移导致的系统不确定度降低至2×10-19。同年,NIST的研究组构建了辐射屏蔽腔使原子处在一个温度均匀的热辐射环境中[8],将171Yb光晶格原子钟的系统不确定度降低至1.4×10-18,并实现了3.2×10-19@105 s的长期频率稳定度,是当前系统准确度和长期稳定度最高的光晶格原子钟。2019年,叶军组与德国联邦物理技术研究院(PTB)合作实现了基于超低温(124 K)单晶硅超稳光学腔的超稳钟激光,并将87Sr光晶格原子钟的稳定度提升至4.8×10-17

[7]。
国内光晶格原子钟的研究起步相对较晚且研究基础薄弱,但近年来我国的光晶格原子钟得到了快速的发展,并取得了一定的成绩。2015年,中国计量科学研究院在国内首次实现了87Sr光晶格原子钟[23],其系统不确定度为2.3×10-16;2017年,中国科学院武汉物理与数学研究所实现了171Yb光晶格原子钟的闭环运行[24];2017年,中国科学院国家授时中心完成了87Sr光晶格原子钟的闭环运行[25];同年,华东师范大学测量了171Yb光晶格原子钟的绝对频率,该光钟的系统不确定度为1.7×10-16 [26];2020年,中国科学院国家授时中心将87Sr光晶格原子钟的稳定度提升至9×10-18 [27],同年实现的双激发谱锶光钟可将系统的稳定度提升1.4倍[28];2021年,中国计量科学研究院将87Sr光晶格原子钟的系统不确定度提升至2.9×10-17,并将跃迁的绝对频率的测量精度提升至3.1×10-16 [29]。
3
光晶格原子钟的实现
在光晶格原子钟里,为了获得足够窄的钟跃迁谱线并尽可能地减小电磁场对钟跃迁频率的影响,通常选用角动量 J 为0(0—0跃迁)的电偶极禁戒跃迁作为钟跃迁(这类跃迁的上能级自然线宽通常在mHz量级)。这种禁戒跃迁通常存在于碱土金属(如Sr)或类碱土金属(如Yb)中。而87Sr和171Yb光晶格原子钟是目前研究最多的两种光晶格原子钟,本文主要以87Sr光晶格原子钟为例简要说明光晶格原子钟的实现。
光晶格原子钟主要由三个部分构成:基于冷原子气体的量子参考体系,超稳的光学本地振荡器(超稳钟激光)和飞秒光学频率梳。光晶格原子钟的工作原理是:将超稳钟激光的频率锁定在量子参考体系的钟跃迁频率处,使得短期稳定度很好的钟激光具备优异的长期稳定度,并利用飞秒光学频率梳测量超稳钟激光的频率并将光学超稳信号无失真地传递到人们常用的微波(或射频)波段。
3.1 量子参考体系的制备
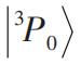
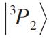
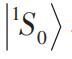
87Sr冷原子量子参考体系的制备过程通常包括锶热原子气体预冷(塞曼减速),基于磁光阱的两级多普勒冷却,光晶格装载和基于光抽运的态制备[30]。87Sr相关的跃迁如图1(a)所示,其中

用于塞曼减速、一级冷却和荧光探测;

用于二级(窄线宽)冷却;

679 nm和

的跃迁用于将布居到

和

态的原子重新抽运到

态上;

为钟跃迁。整个量子参考体系的制备过程均在高真空的装置中进行(内部压强小于10-8 Pa),以减少原子与其他粒子碰撞而发生化学反应,并增加磁光阱俘获的原子数和俘获原子的时间,如图1(b)和(c)所示。

图1 87Sr 光晶格原子钟能级与装置图 (a)87Sr光晶格原子钟常用到的跃迁能级简图;(b)中国科学院国家授时中心87Sr光晶格原子钟装置实物图;(c)用于量子参考体系制备及钟跃迁探测的真空装置原理图
锶原子炉中固体的锶原子通常被加热到约800 K以获得足够的蒸气压,此时原子的最可几速率约500 m/s。由于磁光阱能俘获的最大原子速度一般在50 m/s左右,原子炉喷出的锶热原子气体很难被磁光阱直接俘获。因此在到达磁光阱之前需要利用塞曼减速器对原子进行初级减速,以大幅度增加低速原子的数目。经过塞曼减速后的原子将被由461 nm的光形成的磁光阱(蓝MOT,461 nm的光是蓝色的)俘获并进行进一步的多普勒冷却。蓝MOT只能将原子冷却到1 mK左右,受限于该跃迁上能级自然线宽(约32 MHz),而光晶格的阱深通常为几十μK。因此一级冷却后只有极少的原子可被光晶格俘获,需对原子进行二级冷却以增加光晶格装载的原子数。在蓝MOT结束的瞬间,将蓝MOT的光关断并切换成689 nm的光(红MOT)。该跃迁为自旋量子数变化为1的弱电偶极跃迁,其上能级的自然线宽仅为7.5 kHz。这种基于窄线宽跃迁的磁光阱使得红MOT的冷却极限可以突破多普勒冷却的极限,受限于光子反冲极限(230 nK)。为了增加光晶格俘获的原子数并尽可能减少量子参考体系的制备时间,我们通常将原子冷却到几个 μK。图2给出87Sr光晶格原子钟蓝MOT与红MOT结束时的荧光图像(伪彩色)。红MOT原子团的形状与冷却光相对于跃迁共振频率的负失谐量相关。当失谐变大时,冷却光的散射力变小,重力导致原子团的形状发生改变。

图2 87Sr光晶格原子钟蓝MOT与红MOT结束时的荧光图像 (a)蓝MOT的荧光图像;(b)红MOT的荧光图像。(b)图对应冷却光频率相对于 |1 S 0 , m F = 9/2> → |3 P 1, m F = 11/2> 负失谐约160 kHz的图像,此时散射力比重力高出一个量级,冷原子团呈“椭球型”
光晶格装载即将经过二级冷却的原子囚禁在线偏振晶格光及其反射光形成的驻波场中,如图3(a)所示。当原子吸收光子的反冲频率远远小于晶格的囚禁频率时,光子的反冲动量将被整个光晶格吸收,此时称原子处在Lamb—Dicke区域[31]。处于Lamb—Dicke区域的原子可以实现无反冲频移和无多普勒频移的钟跃迁探测,是光晶格原子钟进行高精度时频测量的基础。对于87Sr原子,晶格光的波长约为813.42 nm,此时钟跃迁上能级

和下能级

将受到相同的光频移[9],即所谓的“魔术波长”,如图3(b)所示。“魔术波长”消除了晶格光一阶斯塔克频移,使光晶格原子钟的准确度具备了进入10-18量级的可能,是光晶格原子钟最为关键的技术。晶格光在整个钟运行过程保持常开且其束腰与红MOT的中心重合,以尽可能多的装载原子,如图3(c)所示。待原子在晶格中稳定后,利用磁场补偿线圈使得晶格附近存在一个沿晶格光偏振方向的磁场(约50 mG)并将其他方向的磁场补偿至零(定义一个沿晶格光偏振方向的磁场量子化轴)。通过一束沿量子化轴入射的左(右)旋圆偏振光可将原子光抽运到mF=-9/2 (mF=+9/2)的态上。由于处于不同塞曼子能级的原子与钟激光的耦合强度不一致,因此原子态制备过程增加了钟跃迁谱线的最大激发率,提高了钟跃迁谱线的信噪比进而提升光晶格原子钟的稳定度。此外,该过程还压制了原子间的相互作用,提高了光晶格原子钟的准确度。

图3 光晶格原理及荧光探测图 (a)一维光晶格原理图。原子被囚禁在一维光晶格“圆饼”状的势阱里面;(b)工作在“魔术波长”的晶格光使钟跃迁上能级与下能级感受到相同的光频移,其中Δ v L表示晶格光导致的光频移;(c)在二级冷却结束25 ms后原子空间分布的荧光成像。上面体积小的部分为被晶格俘获的原子,下面体积大的部分为没有被晶格俘获而做自由落体的原子,下落过程中原子团体积根据其初始温度(速度)向外扩散
3.2 钟跃迁探测和光晶格原子钟闭环运行
实现了量子参考体系的制备后,利用相位稳定在超稳光学腔的钟激光可相干探测晶格中大量原子的钟跃迁信号。钟跃迁几率探测采用“电子搁置”法[32],即在钟激光与原子相互作用后,先利用461 nm的光探测并清空留在基态的原子数 Ng ;然后将激发态的原子重抽运回基态,并再次利用461 nm的光探测激发态的粒子数 Ne ,钟跃迁归一化激发率可表示为 P sr= Ne /( Ng + Ne )。该技术压制了钟运行期间总原子数变化对激发率的影响,极大地提升了光晶格原子钟的性能。通过探测钟激光频率失谐与归一化钟跃迁几率的关系可以获得钟跃迁谱线。图4(a)和(b)展示了边带可分辨的钟跃迁谱线,从中可获得原子温度和晶格阱深等关键信息。钟跃迁谱线的线宽 δ 直接影响光晶格原子钟的稳定度,主要由钟激光与原子的作用时间决定。钟激光的作用时间越长,钟跃迁谱线的线宽便越窄,则钟的稳定度越高。当然,真实的情况下,由钟激光噪声和晶格光拉曼散射等效应导致的退相干限制了钟激光相干操控原子的时间(超出相干时间则无法准确地从钟跃迁探测中提取钟激光与钟跃迁的频率或相位差异)[33, 34]。

图4 钟跃迁谱线探测 (a)原子在Lamb—Dicke区域中的跃迁行为。其中 n 和 n ′分别表示处于基态和激发态的原子的外态量子数, vz 为沿晶格光入射方向的囚禁频率。外态跃迁与内态跃迁可同时发生,但其跃迁频率与载波跃迁相差约 vz ;(b)边带可分辨的钟跃迁谱线。红边带对应外态量子数变化-1的跃迁,蓝边带则对应+1,载波跃迁外态量子数不发生变化。插图为赫兹量级的钟跃迁自旋极化谱
超稳钟激光的频率锁定到量子参考体系的钟跃迁频率的过程即实现光晶格原子钟闭环运行。闭环运行时,超稳钟激光的输出就是光钟的光频输出信号,该信号可通过飞秒光学频率梳下转换到微波频(或射频)段。运行时,钟激光频率与量子参考体系钟跃迁频率的偏差通过方波调制(钟激光的频率)、方波解调的方式获得。通过探测偏离钟跃迁中心频率+ δ /2和- δ /2处的跃迁几率可获得钟激光的频率偏差。其原理是当钟激光的频率与钟跃迁频率一致时,对称的频率失谐处将获得一致的跃迁几率,反之则存在偏差。在实际运行过程中,杂散的电磁场会导致能级劈裂和频移。因此,光晶格原子钟通过平均对称塞曼子能级跃迁频率的方式来消除一阶塞曼频移。以87Sr为例,钟激光的频率被交替锁定到

和

的跃迁频率上,并将它们的平均值作为钟激光的输出频率。该技术虽然将钟反馈时间增加了一倍,降低了光晶格原子钟的稳定度,却极大地提高了光晶格原子钟的准确度,因为它消除了一阶塞曼频移和晶格光矢量斯塔克频移等一切正比于mF的系统频移[13]。
4
光晶格原子钟的稳定度、准确度和复现性
4.1 稳定度
冷原光晶格原子钟性能的描述主要包括稳定度、准确度和复现性。稳定度表征钟输出频率相对于平均值的抖动程度,目前通常用双采样艾伦偏差描述,即[35]

其中

表示积分时间为 τ 的第i次相对频率测量均值,M表示数据段的数量且Mτ 的值不超过总的频率测量时间。影响光晶格原子钟稳定的因素主要包括:Dick噪声、技术噪声和QPN。其中Dick噪声是由于每一个钟周期均需要进行量子参考体系的制备,钟激光的噪声无法被量子参考体系连续采样,最终导致钟激光的高频噪声下转换到低频而恶化钟激光的频率稳定度(如果连续采样白噪声的平均值为零,便不会引起额外的频率波动)。技术噪声包括电子学噪声和光子散粒噪声。通过对探测光进行(功率和频率)稳定并恰当选择探测器的参数等可将该项噪声抑制到远低于其他噪声。QPN在光晶格原子钟里面一般远小于Dick噪声,因此目前绝大部分光晶格原子钟的稳定度主要受限于Dick噪声[36]。

图5 光晶格原子钟稳定度的测量方式与原理 (a)自比对原理,光晶格原子钟在时域上交替运行在“状态1”和“状态2”下,并通过两个独立的伺服系统进行频率反馈;(b)两台87Sr光晶格原子钟频率比对[39];(c)三台光钟 (87Sr、171Yb光晶格原子钟和27Al+离子光钟) 频率比对[40],其中87Sr光晶格原子钟分别通过光纤和自由空间链接与171Yb光晶格原子钟进行频率比对
光晶格原子钟稳定度的测量方式包括自比对[27, 28, 37, 38]、两台钟比对[7, 39]和三台及以上的钟比对[40],如图5所示。自比对即将钟激光交替锁定到同一个钟跃迁谱线的中心频率处,并通过独立的伺服环路进行频率反馈,相当于两台时域上交替运行的光晶格原子钟。两个交替运行钟环的频差可以很好地表征单台光晶格原子钟的短期稳定度(10 s以内的稳定度)。两台光晶格原子钟比对也可获得单台钟的稳定度即两台钟频率比对稳定度除以

,该技术适用于两台比对的光晶格原子钟具有(相近或)一致的稳定度。如果一台钟的性能远高于另一台,则比对结果将直接反映稳定度较差的钟的稳定度[40]。三台或更多独立的光晶格原子钟间的相互频率比对可以准确计算出每一台光晶格原子钟的稳定度。好的稳定度是高系统准确度的重要保证,因为稳定度决定了有限测量时间内可获得的最高测量精度,从而决定环境对钟跃迁频率扰动的测量精度。
4.2 准确度
由于量子参考体系的钟跃迁频率时刻受到环境的扰动,特别是电磁场的扰动,因此我们需要人为测量这些环境因素引起的频移并纠正它们,只有这样才能保证不同地域、不同组研制的同类型光晶格原子钟具有相同的钟跃迁频率。而钟的准确度就是这些频移项测量结果的B类不确定度。系统的不确定度越小即频移修正越准确,则钟的准确度就越高。在当前最准确的光晶格原子钟的系统不确定度评估结果中,黑体辐射频移、密度频移和晶格光交流斯塔克频移是最主要的频移项。
黑体辐射频移本质上是原子周围空间弥漫的黑体辐射光子导致的斯塔克频移,是光晶格原子钟里系统频移量最大的项[8, 16, 17, 40]。而根据普朗克黑体辐射原理,室温(20℃)黑体辐射的中心频率约为10 μm,接近锶原子和镱原子3 P 0→3 D 1的跃迁频率,最终对它们的钟跃迁频率造成了强烈的频移。黑体辐射频移与原子钟跃迁上、下能级的极化率差和环境的温度相关。因此准确测量黑体辐射频移就包括准确地推断原子所处的温度分布和精确地计算钟跃迁上下能级间的极化率差。为了准确地获取原子附近温度的信息,除了利用精密校准的铂电阻温度计对原子团附近的温度进行精密测量外,还需要通过温度控制[41]、搭建辐射屏蔽腔体[42]或冷腔[18,43]等技术保证原子处在温度分布均匀的热环境中。而极化率差的不确定度则依赖于人们对原子结构的认知和相关跃迁速率的测量[44],目前主要受限于动力学修正项引起的误差(室温下将导致10-18量级的不确定度)。
密度频移是由同一个格点中大量原子间的相互作用导致的,其大小正比于原子的平均密度,因而叫密度频移(也称作碰撞频移)。当原子相互靠近时,一个原子的电场会对另一个原子的能级造成频移。基于玻色子的光晶格原子钟存在强烈的s波碰撞,只能采用三维光晶格技术或者光缔合技术保证每个格点只有一个原子来压制密度频移。由于泡利不相容原理,全同费米子之间不存在 s 波碰撞,因此对温度在μK量级的自旋极化的费米气体而言,密度频移主要由 p 波碰撞主导[45]。实际中,也存在少量的 s 波碰撞,主要原因包括非均匀激发导致钟跃迁过程中基态和激发态的原子可分辨[46],以及其他塞曼子能级有少量粒子布居[47]。经过多年的研究,研究人员对费米光晶格原子钟密度频移已经有了足够的了解,并提出了通过控制钟跃迁激发率[48],利用腔增益的光晶格减小原子密度[16, 17],构建费米简并三维光晶格[21]等技术来减小或抑制密度频移,使该项频移引起的系统不确定度可以被控制在10-19量级甚至更低。
晶格光交流斯塔克频移是晶格光的波长偏离“魔术波长”导致的。在光晶格原子钟研制的初期,该项频移的不确定度主要来自使一阶斯塔克频移为零的“魔术波长”的测量精度[10—14]。随着超稳钟激光技术的发展和晶格光斯塔克频移理论研究的深入,“魔术波长”的测量精度已经达到了10-7 nm量级(导致的不确定度在10-19量级)[8, 17]。然而当钟的准确度达到10-18量级[21],仅仅考虑一阶斯塔克频移是不够的,因为与晶格中原子的热分布相关的高阶斯塔克频移(包括电四极/磁偶极跃迁和超极化率)导致无法找到一个“魔术波长”使晶格光交流斯塔克频移为零。最近的研究指出,可以适当地选择晶格的阱深和频率使得这些晶格光高阶斯塔克频移与一阶斯塔克频移抵消[21],即所谓的“运行魔术波长”。当前光晶格原子钟晶格光交流斯塔克频移的测量精度在1×10-18左右,主要受限于“运行魔术波长”相关参数的测量精度[8]。
除了前面三项主要频移项,光晶格原子钟系统不确定度的评估还包括一些频移很小或者可以被精确评估的项,比如直流斯塔克频移、二阶塞曼频移、剩余一阶塞曼频移、伺服误差、探测光斯塔克频移、线牵引频移、背景气体碰撞频移和声光调制器相位啁啾等[8, 17]。这些频移小项通过稳定系统的磁场、光路或精确测量相关频移系数等手段均可以被控制在10-19量级甚至更低,不会限制光晶格原子钟的准确度进入10-19量级。
4.3 复现性
钟的复现性表征了同一台钟在不同时刻、不同地点输出频率的差异,或是多台同类型钟的输出频率的差异。钟的频率复现性是钟能否长期可靠运行的重要标准,在未来利用光钟重新定义时间单位“秒”的规划里就要求光钟频率复现性优于5×10-18 [49]。频率复现性可通过两台同类型光钟的频率比对来获得[39, 50]。而通过测量三种(或更多)不同元素光钟成对的频率比值的闭合结果(成对的频率比值的乘积,最理想的情况应等于1),可以同时验证这几类钟的复现性。最近美国国家标准局进行了27Al+光钟(钟跃迁频率为 f Al),87Sr光晶格原子钟(钟跃迁频率为 f Sr)和171Yb光晶格原子钟(钟跃迁频率为 f Yb)的两两频率比对,并将它们间成对的频率比值的闭合结果 C =( f Al/ f Sr)×( f Al/ f Yb)×( f Yb/ f Sr)的测量结果精确到了6×10-19,是对光晶格原子钟复现性最精确的检验[40]。
5
光晶格原子钟的展望、应用与空间光晶格原子钟
目前,光晶格原子钟的准确度和稳定度均已达到了惊人的高度,其性能的进一步提升依赖于当前遇到的瓶颈问题的解决。在稳定度方面,光晶格原子钟的稳定度当前受限于超稳钟激光的稳定度。基于工作温度为124 K的单晶硅光学参考腔(腔长为21.2 cm)的超稳激光实现了4×10-17的稳定度和8 mHz的线宽[51],已非常接近腔体的热噪声极限。进一步降低腔体温度到4 K并采用砷化镓铝(AlGaAs)晶体膜技术,理论上可实现5×10-18的稳定度,但此时需要进一步抑制光电探测器噪声、电光调制器剩余幅度噪声和振动噪声等技术噪声,具有很高的技术难度。此外,就测量精度(测量导致钟跃迁频率变化的物理现象的精度)而言,光晶格原子钟可通过同步频率比对[52]、关联谱[53]和微分谱[54]等技术共模抑制钟激光噪声,实现超越Dick极限测量精度。最近,基于浅光晶格和关联谱技术,光晶格原子钟实现了7.6×10-21(测量时间为105 s)的测量精度,在亚毫米量级检验了广义相对论预言的引力红移[55]。
准确度方面,黑体辐射动力学修正项是阻碍传统光晶格原子钟(即87Sr和171Yb)系统不确定度进入10-19量级的主要因素[8,17]。而提高动力学修正精度需要更加准确地知道原子内部结构和相关能级自然寿命等信息,这些在短时间内很难有量级上的突破。基于低温腔体的冷光晶格原子钟可以大幅度减小黑体辐射频移的修正量,可将黑体辐射频移的不确定度降低至10-19量级[18]。但冷光晶格原子钟用到的移动光晶格技术增加了晶格光交流斯塔克频移不确定度,是其发展需要解决的技术问题。此外,通过采用对黑体辐射频移不敏感的元素来实现光晶格原子钟有望在短期内解决传统光晶格原子钟面临的瓶颈问题。比如室温下,24Mg[56]、199Hg[57]和169Tm[58]光晶格原子钟的黑体辐射频移分别比87Sr(171Yb)小12.7(6)、30(16)和2391(1174)倍。随着激光技术和理论物理的进步,这些新型的光晶格原子钟正不断取得突破性进展[56—58],为实现10-19甚至更低系统不确定度的光晶格钟提供了新的技术路线。
随着光晶格原子钟准确度与稳定度的提升,光晶格原子钟的应用领域也不断拓展。光晶格原子钟最重要的应用就是时频测量。利用光晶格原子钟重新定义“秒”能够将国际原子时的精度提高2个量级,能在更大程度上满足一些装置对高精度时间的需求,如甚长基干涉望远镜[59]。近些年,可搬运光晶格原子钟技术逐渐成熟,基于光晶格原子钟的相对论测地学——通过精确测量两台光晶格原子钟高度差导致的频差(引力红移不一致)并描绘大地基准面[8, 60],有望实现超高的分辨率(优于1 cm)的地质高度测量并更新国际地质高度系统。
凭借着超高的准确度和稳定度,光晶格原子钟更能用于测量那些引起钟跃迁频率变化的物理现象。根据当前的标准物理模型,原子的精细结构常数是不随时间变化的,然而Kaluza—Klein理论[61]和弦理论等认为精细结构常数可能会随时间变化[62]。通过测量不同元素的光晶格原子钟的频率比值或者同一类光晶格原子钟钟跃迁频率随时间可能的微变[39],可能会寻找到精细结构常数变化的实验证据,进而发现新的物理。此外,利用光晶格原子钟寻找超轻玻色暗物质[40]、探测引力波[63]、验证相对论的等效性原理[64]都已被提出。

图6 中国科学院国家授时中心87Sr空间光晶格原子钟原理样机。整个物理系统的总体积小于0.46 m3
在过去20年里,光晶格原子钟实现了10-17量级的秒级稳定度以及10-18量级的准确度和复现性,成为了时频测量最为精密的仪器。然而想要让光晶格原子钟在各个领域得到应用,则需使体积庞大的实验室光晶格原子钟工作在实验室外甚至是太空中。特别是研制高性能的空间光晶格原子钟并建立稳定且高精度的空间时频体系将克服地球引力场变化导致的时频误差,并为更高精度的全球卫星导航系统、深空导航、基础物理研究等提供强大的保障。目前国际上已经有不少国家提出了空间光晶格原子钟的研究计划。欧盟于2007年提出了空间光学原子钟(SOC)计划,旨在实现系统不确定度优于2×10-17的空间(锶原子)光晶格原子钟并将体积控制在1.56 m3以内[65]。日本于2011年提出“多用途小型有效载荷柜(MSPR)计划”以建立高精度时频体系和进行一系列基础物理研究。MSPR计划要求空间光钟总体积小于0.4 m3,总功耗小于500 W[66]。我国在“十三五”期间提出了“高精密时频”计划,其内容包括建成不确定度优于10-18的空间时频体系(核心为空间光晶格原子钟),并在此基础上进行系列空—地时频传递和基础物理实验[67]。经过多年的研究,空间光晶格原子钟的原理样机相继被实现[66, 68, 69]。图6展示了国家授时中心87Sr空间光晶格原子钟原理样机[69],其自比对稳定度达到了3.2×10-15

,为实现空间光晶格原子钟奠定了技术基础。
参考文献
[1] Chu S,Hollberg L,Bjorkholm J E et al . Phys. Rev. Lett.,1985,55:48
[2] Ramsey N F. Rev. Mod. Phys.,1990,62:541
[3] Clairon A,Salomon C,Guellati S et al . Europhys. Lett.,1991,16:165
[4] Weyers S,Gerginov V,Kazda M et al . Metrologia,2018,55:789
[5] Brewer S M,Chen J S,Hankin A M et al . Phys. Rev. Lett.,2019,123:033201
[6] Itano W M,Bergquist J C,Bollinger J J et al . Phys. Rev. A,1993,47:3554
[7] Oelker E,Hutson R B,Kennedy C J et al . Nat. Photon.,2019,13:714
[8] McGrew W F,Zhang X,Fasano R J et al . Nature,2018,564:87
[9] Courtillot I,Quessada A,Kovacich R P et al . Phys. Rev. A,2003,68:030501(4)
[10] Takamoto M,Hong F L,Higashi R et al . Nature,2005,425:321
[11] Ludlow A D,Boyd M M,Zelevinsky T et al . Phys. Rev. Lett.,2006,96:033003
[12] Targat R L,Baillard X,Fouche M et al . Phys. Rev. Lett.,2006,97:130801
[13] Katori H,Takamoto M,Hong F L et al . J. Phys. Soc. Jpn.,2006,75:104302
[14] Ludlow A D,Zelevinsky T,Campbell G K et al . Science,2008,319:1805
[15] Hinkley N,Sherman J A,Phillips N B et al . Science,2013,341:1215
[16] Bloom B J,Nicholson T L,Williams J R et al . Nature,2014,506:71
[17] Nicholson T L,Campbell S L,Hutson R B et al . Nat. Commun.,2015,6:6896
[18] Ushijima I,Takamoto M,Das M et al . Nat. Photon.,2015,9:185
[19] Schioppo M,Brown R C,McGrew W F et al . Nat. Photon.,2016,12:48
[20] Brown R C,Phillips N B,Beloy K et al . Phys. Rev. Lett.,2017,119:253001
[21] Campbell S L,Hutson R B,Marti G E et al . Science,2017,358:90
[22] Ichiro U,Takamoto M,Katori H. Phys. Rev. Lett.,2018,121:263202
[23] Lin Y G,Wang Q,Li Y et al . Chin. Phys. Lett.,2015,32:090601
[24] Liu H,Zhang X,Jiang K L et al . Chin. Phys. Lett.,2017,34:20601
[25] Wang Y B,Yin M J,Ren J et al . Chin. Phys. B,2018,27:023701
[26] Gao Q,Zhou M,Han C et al . Sci. Rep.,2018,8:8022
[27] Lu X T,Yin M J,Li T et al . Jpn. J. Appl. Phys.,2020,59:070903
[28] Lu X T,Zhou C H,Li T et al . Appl. Phys. Lett.,2020,117:231101
[29] Lin Y G,Wang Q,Meng F et al . Metrologia,2021,58:035010
[30] 王义遒. 原子的激光冷却与陷俘. 北京:北京大学出版社,2007
[31] Dicke R H. Phys. Rev.,1953,89:472
[32] Nagourney W,Sandberg I,Dehmelt H. Phys. Rev. Lett.,1986,56:2797
[33] Marmet L,Madej A A. Can. J. Phys.,2000,78:495
[34] Dörscher S,Schwarz R,Al-Masoudi A et al . Phys. Rev. A,2018,97:063419
[35] Allan D W. Proceedings of the IEEE,1966,54:221
[36] Masoudi A A,Dörscher S,Häfner S et al . Phys. Rev. A,2015,97:130801
[37] Li Y,Lin Y G,Wang Q et al . Chin. Opt. Lett.,2018,16:051402
[38] Lu X T,Yin M J,Li T et al . Appl. Sci.,2020,10:1440
[39] Targat R L,Lorini L,Coq Y L et al . Nat. Commun.,2013,4:2109
[40] Beloy K,Bodine M I,Bothwell T et al . Nature,2021,591:564
[41] Bothwell T,Kedar D,Oelker E et al . Metrologia,2019,56:065004
[42] Beloy K,Hinkley N,Phillips N B et al . Phys. Rev. Lett.,2014,113:260801
[43] Middelmann T,Lisdat C,Falke S et al . IEEE Trans. Instrum. Meas.,2011,60:2550
[44] Safronova M S,Porsev S G,Safronova U I et al . Phys. Rev. A,2013,87:012509
[45] Lemke N D,Stecher J V,Sherman J A et al . Phys. Rev. Lett.,2011,107:103902
[46] Campbell G K,Boyd M M,Thomsen J W et al . Science,2009,324:360
[47] Zhang X,Bishof M,Bromley S L et al . Science,2014,345:1467
[48] SangKyung L,Chang Y P,Won-Kyu L et al . New J. Phys.,2016,18:033030
[49] Fritz R,Patrick G,Felicitas A et al . Metrologia,2018,55:188
[50] Nicholson T L,Martin M J,Williams J R et al . Phys. Rev. Lett.,2012,109:230801
[51] Matei D G,Legero T,Häfner S et al . Phys. Rev. Lett.,2017,118:263202
[52] Takamoto M,Takano T,Katori H. Nat. Photon.,2011,5:288
[53] Clements E R,Kim M E,Cui K F et al . Phys. Rev. Lett.,2020,125:243602
[54] Kim M E,McGrew W F,Nardelli N V et al . 2021,arXiv:2109.09540v1
[55] Bothwell T,Kennedy C J,Aeppli A et al . 2021,arXiv:2109.12238v1
[56] Kulosa A P,Fim D,Zipfel K H et al . Phys. Rev. Lett.,2015,115:240801
[57] Tyumenev R,Favier M,Bilicki S et al . New J. Phys.,2016,18:113002
[58] Golovizin A,Fedorova E,Tregubov D et al . Nat. Commun.,2019,10:1724
[59] Normile D,Clery D. Science,2011,333:1820
[60] Takamoto M,Ushijima I,Ohmae N et al . Nat. Photon.,2020,14:411
[61] Einstein A,Bergmann P. Ann. Math.,1938,39:683
[62] Damour T,Piazza F,Veneziano G. Phys. Rev. Lett.,2002,89:081601
[63] Kolkowitz S,Pikovski I,Langellier N et al . Phys. Rev. D,2016,94:1240431
[64] Christian S,Nils H,Richard L et al . Nature,2019,567:204
[65] Bongs K,Singh Y,Smith L et al . C. R. Physique,2015,16:553
[66] Ohmae N,Takamotov M,Takahashi Y et al . Adv. Quantum Technol.,2021,4:2100015
[67] 吴季,孙丽琳,尤亮 等. 中国科学院院刊,2015,30:707
[68] Origlia S,Pramod M S,Schiller S et al . Phys. Rev. A,2018,98:053443
[69] Guo F,Tan W,Zhou C H et al . AIP Adv.,2021,11:125116