
不说再见
分享兴趣,传播快乐,增长见闻,留下美好。
亲爱的您,
这里是LearingYard学苑!
今天小编为大家带来《随机需求下生鲜电商供应链物流合作与运营决策》
命题分析。
欢迎您的用心访问!
本期推文阅读时长大约5分钟,请您耐心阅读。
Share interest, spread happiness,
increase knowledge, and leave beautiful.
Dear you,
this is the LearningYard Academy!
Today I bring you the "fresh produce e-commerce supply chain logistics cooperation and operational decisions under random demand
Proposition Analysis.
Welcome your visit!
The reading time of this tweet is about 5 minutes, please read it with patience.
内容摘要
本期推文将通过思维导图,复刻论文内容,知识补充三个板块,复刻来自于中国管理科学期刊的期刊论文《随机需求下生鲜电商供应链物流合作与运营决策》命题分析。
In this issue, we will review the journal paper "Cooperation and Operation Decision of Fresh Food E-Commerce Supply Chain Logistics under Stochastic Demand" proposition analysis from Chinese Journal of Management Science through three panels of mind map, replication of paper content and knowledge supplement.
思维导图
关于独立模式命题分析的思维导图如下:
A mind map on the modeling and analysis of the independent model is as follows.

精读内容
独立模式下的命题分析分为几部分,下面一一进行介绍:
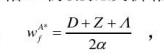
产品批发价格变化分析是根据产品价格的表达式得出的,可以看到下图市场需求对价格的敏感性参数在分母部分,所以随着市场需求对价格的敏感性参数的变大,产品批发价格减小。
The proposition analysis in the independent model is divided into several parts, which are described one by one below.
The analysis of the change in wholesale product price is derived from the expression for the product price, and it can be seen that the sensitivity parameter of market demand to price is in the denominator part of the figure below, so as the sensitivity parameter of market demand to price becomes larger, the wholesale product price decreases.


物流批发价格变化分析是根据物流批发价格的表达式得出的,同样下图市场需求对保鲜努力的敏感性参数在分母部分,所以随着保鲜努力的敏感性的增加,物流批发价格减小。最后对供应商和物流服务商提出建议。
The wholesale logistics price change analysis is based on the expression for the wholesale logistics price, and again the sensitivity parameter of the market demand to the preservation effort is in the denominator part of the figure below, so as the sensitivity to the preservation effort increases, the wholesale logistics price decreases. Finally, recommendations are made to suppliers and logistics service providers.

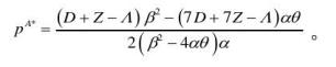
产品零售价格变化分析是根据产品零售价格的表达式得出的,可以看到需求对价格的敏感性参数在分母位置为二次,而在分子部分是一次,因此产品零售价格会随着需求对价格的敏感性增大而减小。
The analysis of the change in the retail price of the product is derived from the expression for the retail price of the product. It can be seen that the demand-to-price sensitivity parameter is quadratic in the denominator position and primary in the numerator part, so that the retail price of the product decreases as the demand-to-price sensitivity increases.


保鲜努力变化分析同样是根据保鲜努力的最优结果表达式。可以看到需求对价格的敏感性参数在分母位,所以也是需求对价格的敏感性越大,保鲜努力越大。随后给出了管理学解释,并物流服务商提出建议。
The analysis of the change in preservation effort is again based on the expression of the optimal result for preservation effort. It can be seen that the sensitivity parameter of demand to price is at the denominator position, so also the greater the sensitivity of demand to price, the greater the preservation effort. A managerial explanation is then given and the logistics service provider makes recommendations.


预测正偏差的影响部分,由于订货量预测正偏差在产品批发价格表达式、保鲜努力表达式、供应商和物流服务商的利润表达式中都在分子位,所以正偏差越大这些参数都会变大。而生鲜电商利润表达式中没有定价参数,因此确定不了定价,确定不了需求,零售商就承受了超量订货的风险。
The impact of positive deviation in forecasts is partially due to the fact that positive deviation in order quantity forecasts is in the numerator position in the wholesale product price expression, the freshness effort expression, and the profit expression for suppliers and logistics service providers, so the larger the positive deviation the larger these parameters will become. The fresh produce e-commerce profit expression has no pricing parameters, so pricing cannot be determined, demand cannot be determined, and the retailer is exposed to the risk of over-ordering.

生鲜供应商与物流服务商利润比较部分,通过计算后,可以看到物流服务商的利润是生鲜供应商利润的半,收益比例固定,又因为物流服务商的风险相对于供应商更大,单方风险更大可能会导致供应链不稳定,引起了下文。后文通过协调物流服务商和供应商合作提升供应链效率。
Fresh food suppliers and logistics service providers profit comparison part, through the calculation, you can see that the logistics service provider's profit is half of the fresh food supplier's profit, the return ratio is fixed, and because the logistics service provider's risk is greater relative to the supplier, the greater risk of a single party may lead to supply chain instability, caused the following. Later on, the supply chain efficiency is improved by coordinating the cooperation between logistics service providers and suppliers.


知识补充
文章中提到物流批发价格会产生双重边际化,那么什么是双重边际效应呢?
双重边际效应由美国经济学家斯宾格勒在早期对产业组织行为的研究中发现,当市场上的产业链存在单个上游卖者如制造商和单个下游买者如分销商,两者都有一定的市场力量,如果两者缺乏协调时的定价决策,就会导致最终价格高于使制造商和分销商总利润水平最大化的水平,可能导致两方利润都降低。
The article mentions that wholesale logistics prices can produce double marginalization, so what is the double marginal effect?
The double marginalization effect was discovered by the American economist Spengler in his early research on industrial organization behavior, when there is a single upstream seller such as a manufacturer and a single downstream buyer such as a distributor in the market chain, both of which have some market power, and if both lack coordination when it comes to pricing decisions, it will lead to a final price higher than the level that maximizes the total profit level of the manufacturer and the distributor, which may result in both lower profits for both parties.
今天的分享就到这里了。
如果您对今天的文章有独特的想法,
欢迎给我们留言,
让我们相约明天。
祝您今天过得开心快乐!
That's it for today's sharing.
If you have a unique idea about today’s article,
welcome to leave us a message,
let us meet tomorrow.
I wish you a happy day today!
参考资料:DeepL翻译,知乎,百度
参考文献:崔鑫,李春发,周驰,米新新,沈瑶.随机需求下生鲜电商供应链物流合作与运营决策[J/OL].中国管理科学:1-15[2023-02-05].
本文由LearningYard学苑整理发出,如有侵权请在后台留言!
LearningYard学苑
文字 | clear
排版| clear
审核| 任务达人