五次方程是否有根式解,一个难倒欧拉、高斯的百年难题
从我们上小学开始,我们就已经接触方程,什么是方程呢?方程是指含有未知数的等式。是表示两个数学式(如两个数、函数、量、运算)之间相等关系的一种等式,如x+9=7,这个就属于方程,方程这个词来源于中国清代大数学家李善兰,他将“Equation”翻译为“方程”。
而使等式成立的未知数的值称为“解”或“根”,上面这个方程x=-2使得等式成立,这就是这个方程的“解”。求方程的解的过程称为“解方程”。
方程在研究过程当中,也出现了许多的问题,比如最为著名的五次方程难题。
五次方程难题是什么?
一次方程的求解十分简单,一元一次方程指只含有一个未知数、未知数的最高次数为1且两边都为整式的等式,例如ax+b=c。约公元前1650年,古埃及的莱因德纸草书中记载了第24题,题目为:“一个量,加上它的1/7等于19,求这个量。”就解决了形为ax+b=c的一次方程,即单假设法解决问题。

莱因德纸草书
而公元820年左右,数学家花拉子米在《对消与还原》一书中提出了“合并同类项”、“移项”的一元一次方程思想。16世纪,数学家韦达创立符号代数之后,提出了方程的移项与同除命题 。

而一元二次方程同样是花拉子米它在出版的《代数学》中讨论到方程的解法,除了给出二次方程的几种特殊解法外,还第一次给出了一元二次方程的一般解法,承认方程有两个根。而韦达除推出一元方程在复数范围内恒有解外,还给出了根与系数的关系。
然而直到 16 世纪,人们对于三次方程的研究才取得了突破,在十六世纪早期,意大利数学家费罗找到了能解一种三次方程的方法,也就是形如x^3+ax=b的方程。事实上,如果我们允许a、b是复数,所有的三次方程都能变成这种形式,但在那个时候人们不知道复数。

1553 年尼科洛·塔尔塔利亚在一场数学竞赛中解出所有三次方程式的问题,最早得出三次方程式一般解。后来塔尔塔利亚将这个方程式告诉了卡尔达诺,卡尔达诺提出了著名的关于一次三次方程的解法公式。当时卡尔达诺只给出了一个解。但其实有三个解。
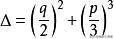
而在另外两个解中,两个两次根号下面却可能得到一个负值。因为它的三个解如下:

它得出的判别式是:

判别式的给定范围不同,得出的结果也就不同。其中当△>0时,就会得到一个实根,而另外两个利用长除法得到的解则需要对负数开根号。然而在那个时候,对负数开根号对数学家来说是不可能的,所以他们就认为当它大于 0 的时候,其实就只有一个解,当时卡尔达诺既承认负数有平方根,又怀疑它的合法性,因此称它为诡变量,虚数就此从卡尔达诺这里诞生,纠缠了数学界数百年。。
直到 1572 年,意大利工程师邦贝利首次尝试去解释卡尔丹公式里面出现的负数开根号的问题,他在自己出版的《代数学》中,他列举了一个方程:x^3-15x+4=0
将它带入卡尔达诺公式之中,就会得到:

邦贝利巧妙地利用待定系数的办法,把上面等式化解成:

最终,卡尔达诺公式给出了不可约情况下的正确解:x=4。对负数开根号,居然可以加入运算,并且最还可以得到一个正确结果,这对当时的数学家起到了巨大的启发作用。
而三次方程成功地解出之后,卡尔达诺的学生费拉里受到启发,很快解出了四次方程,解法也发表在卡尔达诺《大术》中:

二次、三次、四次方程的根都可以用它的系数的代数式(即只含有限项的加、减、乘、除和开方五种代数运算的表达式)来表示,那么五次以上方程呢?
一开始聚焦在大家面前的主要是两个问题:第一个问题是,对五次以上方程,至少都有一个解吗?第二个问题则更进一步:五次以上方程如果有解,那么它会有多少个解呢?
五次方程难题的破解之路
这个问题吸引了众多的著名数学家,一开始大家信心满满地向五次方程发起冲击,但是却遇到了各种挫折。
1770 年,拉格朗日详细考察了人们求解 2、3、4 次方程的方法,他将前人方法总结,将各种解法归纳于一种原理下,这个时候拉格朗日已经间接使用到了置换群的概念,拉格朗日使用的这种方法叫预解方程。

拉格朗日使用这样的方法成功解决了一次方程、二次方程甚至四次方程。当时他将这个方法运用到五次方程的时候。
然而他在研究了五次方程预解函数之后,发现五次方程的辅助方程居然会变成六次,五次都没解出来,居然还冒出个六次来,一点都不像三次,四次方程那样逐级降次,这个时候,拉格朗日首次意识到 5 次及其以上方程求根公式可能不存在,他将自己的思考发表在了《关于代数方程解的思考》。
虽然他并没有解决这个问题,但他提出的根的置换理论揭示了问题的本质,也是这个问题解决所出现的曙光。

之后,欧拉为寻找五次方程的求解提供了一种新思路。他通过一个巧妙的变换把任何一个全系数的五次方程转化为具有“x^5+ax+b=0”的形式。这一优美的表达反应出欧拉倾向于可以找出五次方程的通解表达式,虽然欧拉的方法很巧妙,但是这样的方式却是错误的,最终,欧拉也没有征服五次方程。

到了 1801 年,高斯,成功解决了这两大问题,证明了分圆多项式-1+xp(p为素数)可以用根式求解,分圆多项式是指某个n次本原单位根满足的最小次数的首1的整系数多项式(它必定是不可约多项式)。但这个时候另外一个问题又出现在眼前,那就是五次方程是否可以用根式求解的难题。(根式解是指由方程的系数通过有限次的四则运算及根号组合而成的公式解)

这个时候,数学史上的天才少年阿贝尔出现了,阿贝尔13岁就展露数学才华,他学习如牛顿、欧拉等数学大家的理论,甚至能从中找出他们的小漏洞。
阿尔贝和伽罗瓦两位天才少年的攻克难题之路
1824年,阿贝尔的工作揭示了高次方程与低次方程的根本不同,寻找一般的系数根号表达式的解的努力成为幻影,然而仍然存在一些特殊的高次多项式能够用根式求解,如何区分能够求解的和不能求解的多项式仍然是一个未决的问题。简单来说,阿贝尔只是证明了高于四次方程的一般代数方程不可能有一般形式的代数解,没有指出哪些特殊的方程存在代数解。
阿贝尔将自己的研究成果寄给高斯,然而高斯并不相信这位如此年轻的少年可以做出如此的成果,将信弃之一旁。

阿贝尔后来还没有来得及彻底解决这个问题,就去世了,年仅 27 岁。而这剩下的工作就交由另外一位天才少年伽罗瓦来完成了。
伽罗瓦也是一位天才少年,可惜他一直时运不济,1832年,他为了情人与军官决斗,遗憾身死,而他留下了的手稿,意义却并不仅限于解决了五次方程难题。

伽罗瓦遗稿
“伽罗瓦理论”天才性地利用了“群论”这个概念来证明了如何区分五次方程能够求解的和不能求解的多项式。
一般说来,群指的是满足以下四个条件的一组元素的集合:(1)封闭性 (2)结合律成立 (3)单位元存在 (4)逆元存在。具体解释如下:

什么是“伽罗瓦群”呢?某个数域上一元n次多项式方程,它的根之间的某些置换所构成的置换群被定义作该方程的伽罗瓦群,一元 n次多项式方程能用根式求解的一个充分必要条件是该方程的伽罗瓦群为“可解群”。

置换群的解释
设(x)是域F上一个不可约多项式,假定它是可分的。作为(x)的分裂域E,E对于F的伽罗瓦群实际上就是(x)=0的根集上的置换群,而E在F的中间域就对应于解方程(x)=0的一些必要的中间方程。
方程(x)=0可用根式解的充分必要条件是E对于F的伽罗瓦群是可解群。由于伽罗瓦证明了当n≥5时n次交错群An是非交换的单群,当然是不可解的,而且一般的n次方程的伽罗瓦群是n次对称群,因而一般5次和5次以上的方程不可能用根式解。

总结来说,就是一般性的一元多项式方程能否根式解等价于这个多项式对应的对称群 Sn是否为可解群,而n=1,2,3,4时这个群是可解群,n大于等于5时这个群不是可解群。
可以说伽罗瓦不仅证明一般高于四次的代数方程不能用根式求解,而且还建立了具体数字代数方程可用根式解的判别准则。伽罗瓦理论提出了解决这一类问题的系统理论和方法,后来,可以说,伽罗瓦理论中的群论是近世抽象代数的基础,它是许多实际问题的数学模型,群论完全影响了后来数学、物理、化学等多门学科的发展。

这是解决五次方程难题中所开出的最丰硕的成果!
点击右上角【关注】我,每天实时更新!欢迎各位家长及时阅读、收藏、转发,评论交流心得.