指数函数
根式

方根

根式

运算
分数指数幂

正数的正分数指数幂

正数的负分数指数幂

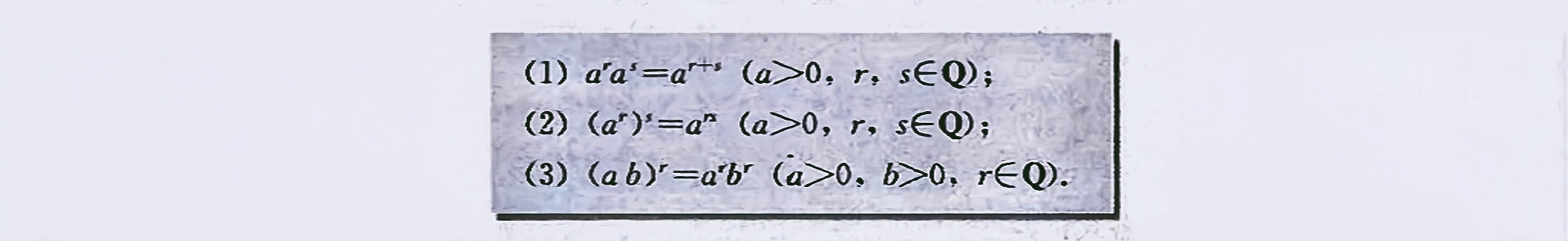
有理数指数幂的运算性质

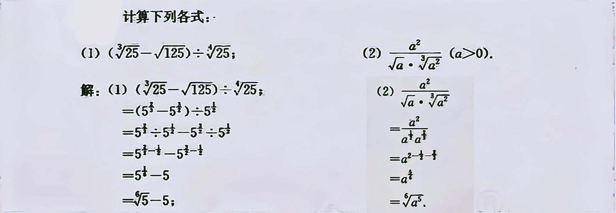
例题(一)

例题(二)

例题(三)
0的正分数指数幂等于0,0的负分数指数幂没有意义。
无理数指数幂


无理数指数幂
指数函数的图象及其性质

指数函数



指数函数的图象及性质

指数函数的性质研究
3.从图中可以发现指数函数的性质:
① 所有的函数图象都过点(0,1)。
③所有的函数的定义域都是(一∞,十∞),值域都是 (0,+∞) 。
③ 在图1中,当0<a<1时,函数递减;在图2中,当a>1时,函数递增。
对数函数
对数

对数

常用对数和自然对数

例题(一)

例题(二)
对数的运算


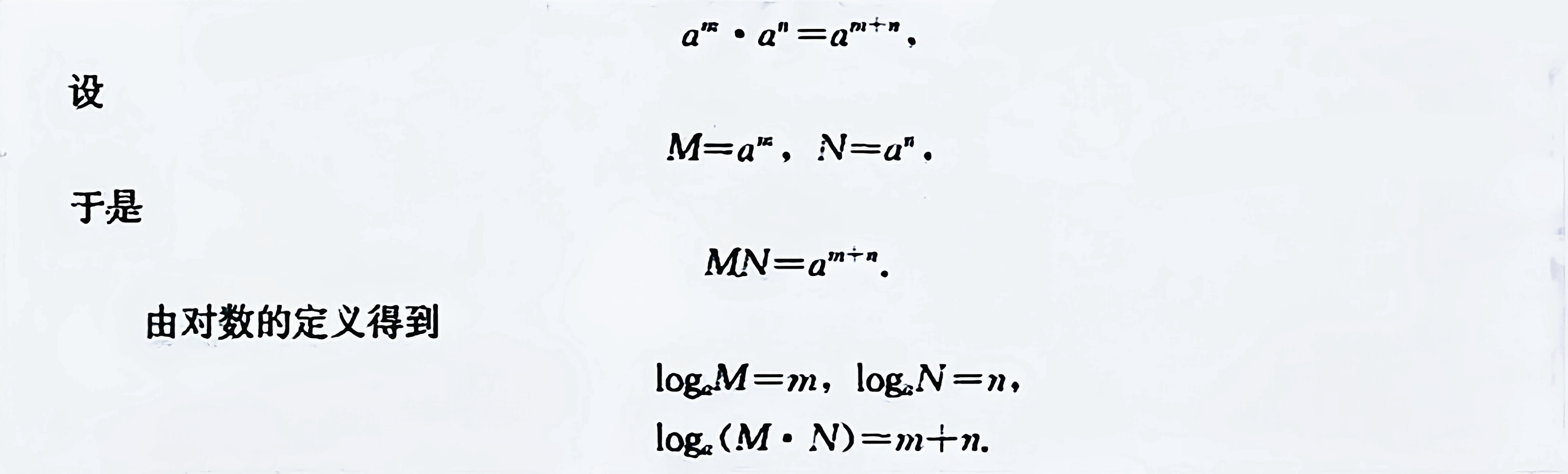
对数运算性质

例题(一)

例题(二)
对数函数及其性质

对数函数

对数函数图象

对数函数图象性质

对数函数的图象和性质

例题

反函数


研究思考
幂函数

幂函数及图象

幂函数的性质

例题

回顾