成果简介
基于石墨烯的光电探测器由于其带宽大、占地面积小以及与硅基光子学平台的兼容性而在高速光通信中引起了极大的关注。大带宽硅基光相干接收器是具有先进调制格式的大容量光通信网络的关键元件。 本文,华中科技大学张新亮教授团队等研究人员在《Nat Commun》期刊 发表名“Ultrahigh-speed graphene-based optical coherent receiver”的论文, 研究通过实验证明一种基于90度光学混合和石墨烯上等离子体槽波导光电探测器的集成光学相干接收器,具有紧凑的占地面积和远超过67GHz的大带宽 。结合平衡检测,接收 90 Gbit/s 二进制相移键控信号并提高信噪比。此外,实现了在单极化载波上接收 200 Gbit/s 正交相移键控和 240 Gbit/s 16 正交调幅信号,附加功耗低于 14 fJ/bit。这种基于石墨烯的光相干接收器将有望在 400千兆以太网和800千兆以太网技术中应用,为未来高速相干光通信网络铺平另一条路线。
图文导读

图1:在PSW上使用石墨烯的 OCR。

图2:90度光学混合性能。

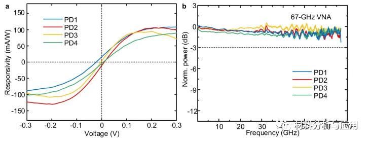
图3:石墨烯-PSW PD 的性能。

图4:平衡检测测试。

图5:相干检测的实验演示。
小结
综上所述,结果表明,我们提出的基于石墨烯的 OCR 对高级调制格式具有超高速和高质量的接收能力,这些格式对光的幅度和相位信息进行编码。经过验证的基于石墨烯的器件为超紧凑和高性能 OCR 提供了一条不同的材料路线,在数据中心和下一代高速光互连中具有竞争力。
文献:
https://www.nature.com/articles/s41467-021-25374-0
