曾经的我,跟大多数同学一样,对未来有着美好的憧憬,在学习过程当中慢慢迷失了方向,可能是自己还不够努力,没有积极向上的心态,才导致成绩下滑很快。不过最终彻底醒悟,发现自身问题并进行解决,在奋战期间,有过孤独,有过绝望,不过最终坚持了下来,才成就了今天的自己。
今天就给大家分享一下我高考的成功逆袭之路。
我16年以665分的成绩,考上了我理想的大学,高三那年,从300+到665分,只有我自己知道我自己都经历了什么。
我是来自四川的一位农村的女孩,上初中的时候成绩还是很不错的,考上了一所很不错的高中学校,到了新的环境,也认识了很多不同地方的同学,就这样开始了我的高中生活。

可是到了高二的时候,出现了学习上问题。我觉得我很多课程拉不走了,上课也听不懂老师讲,就这样我的成绩一度下滑到300+,特别是数学。我是比较腼腆的女孩,有什么不会的,我也不好意思去问老师,导致我常常出错,还被老师叫去单独讲解过一些题。老师问我懂了吗,我说懂了,其实我还是听不懂,当时是那种害怕老师说,心里也有那么一点点的自卑。你们可能也有这样的情况吧,就这样每天都在上课,在听不懂的过程中煎熬一直持续到高三,而且还不敢跟爸爸妈妈讲。
爸爸之前做生意失败了,家里搞养殖业,由于经验不足,也亏损了很大一笔钱,就这样家里欠了不少钱。记得大年30的下午,一个村上的人,要债的来了,当时爸爸妈妈的那种无助,那种无奈,我到现在都历历在目。当时就觉得我成绩现在也不好,就不读了吧还能省点钱,还可以给家里挣钱,就这样我告诉了爸爸我的决定。爸爸说怎么不读书呢?我就是砸锅卖铁也要让你读,叫我不要管家里的事儿,他会想办法,说只有读书才是唯一的出路,还给我说了很多很多,爸爸的话触动了我的心,那天晚上我整整一晚没睡。第二天一早起来,我决定给自己制定复习计划,分三轮来复习。
第一轮:我把每科的基础知识、重点知识都复习了一遍。背诵、做题、做笔记,尽量覆盖所有知识点。
第二轮:把第一轮梳理出来的一些重要知识点,高中的真题刷题都做了一遍,把不会的整理好,做好标注重点突出,把做错的整理到错题本。
第三轮:把不会的和错题本上的题进行反复推敲研究,把会的都过一遍,把确实不会的题标注重点。
这期间每天只睡四五个小时,吃饭只用十几分钟,每天睁开眼都是背诵、学习、整理、刷题,有时候都觉得自己快坚持不下来了,想放弃了心都有过,想起爸爸的说过的话,家里发生了事儿,就给自己灌输思想、加油、鼓励,对自己说我必须坚持下去,我给你死磕到底,我就不信这个邪啦!
在学校期间我就跟着老师的节奏走,把寒假不懂得不会的,就找同学寻求帮助,还是理解不了的就请教老师,反正要把这道题整对才算行。
平时我会利用好碎片时间,背一些文科知识点,记一些理科公式。
在完成校内任务的基础上,我会适当地去刷一些真题,限时限量地刷,自己批改纠正错误,不懂得及时问。还找一些旧题做,找错误率高的知识点,反复练习反复总结,查缺补漏。就这样在一模的时候我从300+考到了485分,二模的时候从485分到572分,在这紧张的漫长的复习中度过了我的整个高三,最终高考以665分成功逆袭。

现在距离高考还剩下不到一年,想要改变自己还来得及,在学习的过程中一定要自律起来,坚持学习下去,相信你也可以逆袭的。在这里祝还在拼搏的学弟学妹们,能有更好的前程。
乾坤未定,你我皆是黑马。

高能预警!!!
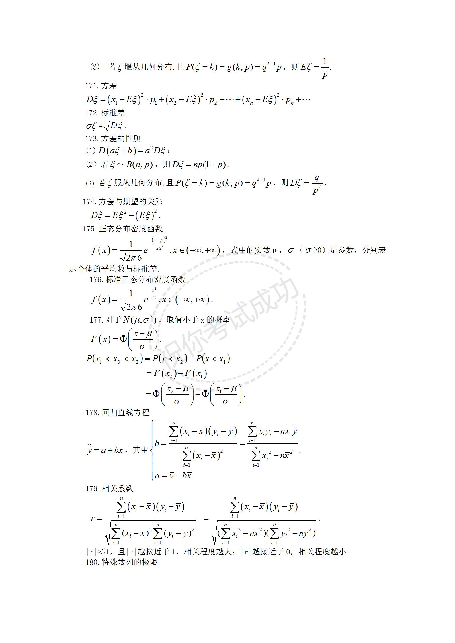
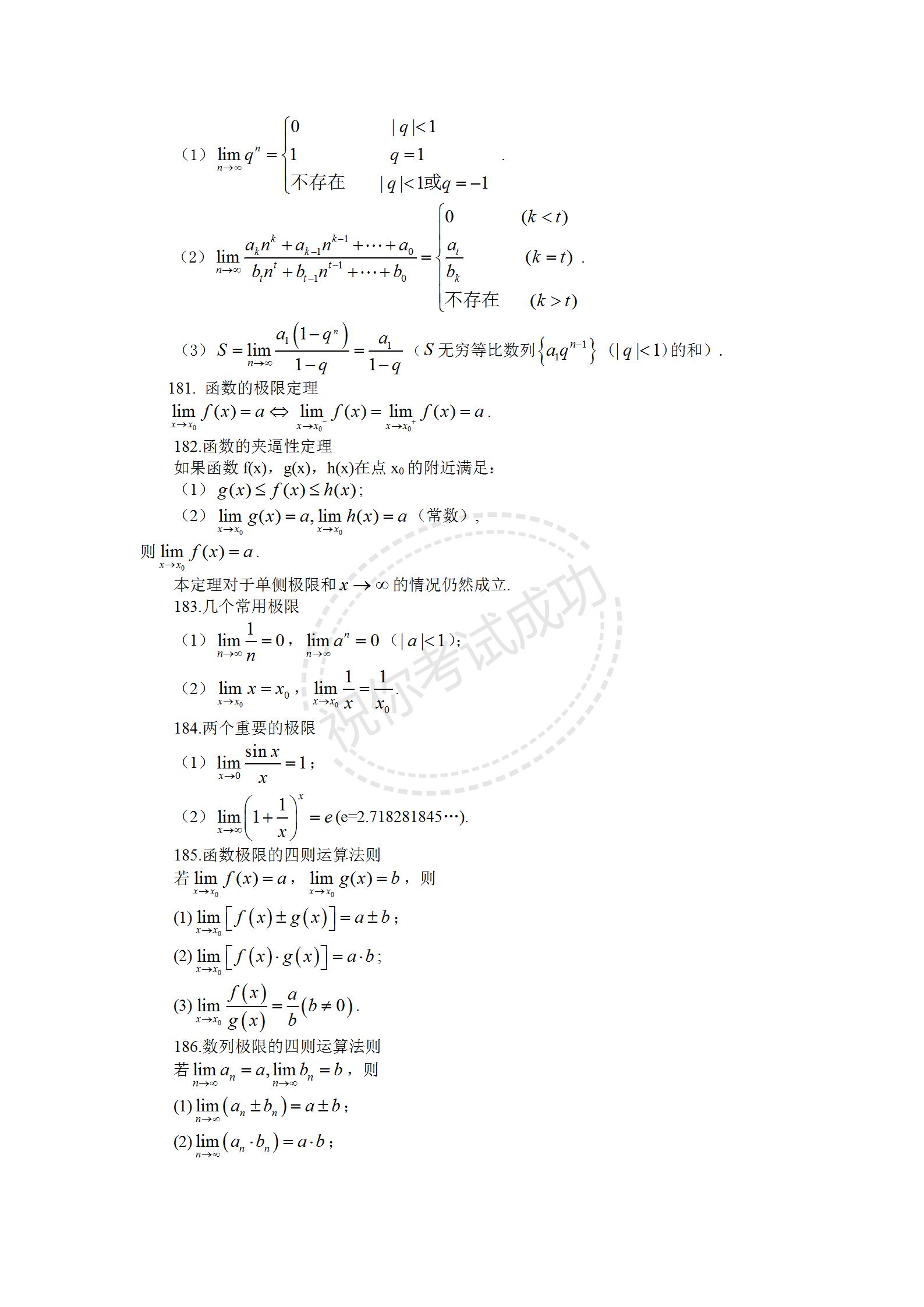
高考数学140+必背笔记(可打印)


























