中空玻璃占据门窗幕墙面积70%以上,是门窗幕墙节能的最重要构件,对中空玻璃光热性能的准确评价对建筑节能工作具有重要意义。那么常见中空玻璃光热参数是什么样呢?我们该如何快速计算中空玻璃光热参数呢?中空玻璃光热参数计算标准有哪些,原理和方法是什么?笔者一一介绍,也请诸位批评指正。
0.前言
门窗是建筑围护结构节能最薄弱部位,通过外门窗造成的能耗约占全社会能耗的十分之一(相关测算数据见:这才是门窗幕墙节能性能测评的正确姿势)。门窗幕墙节能性能的准确评价对我国建筑节能工作,甚至对我国全社会节能减排具有重要意义。作为占据门窗幕墙总面积70%以上的玻璃构件,其光热性能准确评价的重要性不言而喻。
那么常见中空玻璃光热性能参数是什么样呢?我们该如何快速计算中空玻璃光热性能参数呢?中空玻璃光热性能参数计算标准有哪些,原理和方法是什么?
1.常见中空玻璃光热性能参数
说起中空玻璃光热性能,相信大家最关注的还是常见的各类中空玻璃光热参数到底是多少。笔者曾以国内某建筑玻璃领军企业主流的系列产品为例进行过系统计算整理,现分享如下。

从大量计算及上述表格中可得到几个结论:
(1)玻璃的传热系数K值主要受表面辐射率的影响。相同玻璃配置(如5Low-E+12A+5)下,不同Low-E玻璃辐射率相同或接近时,传热系数K值几乎一致;
(2)单银、双银、三银对传热系数K值影响有限,多数情况下单银到三银传热系数K值降低不到0.2W/(m2·K);单银、双银、三银主要影响太阳得热系数SHGC值,采用单银和三银时,太阳得热系数SHGC值相差可达到0.15~0.20;
(3)膜层位置主要影响太阳得热系数SHGC值,膜层位置不同时,太阳得热系数SHGC值差值在0.09~0.14之间。
关于空气层厚度和层数、低辐射膜层及位置、填充气体种类和比例、真空层及暖边等因素对中空玻璃光热性能影响可详见笔者多年前的一篇论文:中空玻璃热工性能影响因素模拟研究.建设科技,2014,No.01。


2.如何快速计算中空玻璃光热参数
上面虽然给出了典型中空玻璃的光热参数,但我们如果想自己计算,有没有快速准确的方法呢?
答案是有,可采用相关热工软件快速计算。这里推荐美国劳伦斯伯克利实验室开发的WINDOW软件,可免费使用,相关界面如下。

该软件操作非常简单。首先按国内标准要求设定好边界条件,然后设置玻璃层数,按要求进行玻璃和气体组合,然后点击计算就得到该玻璃系统的光热性能。
由于该软件计算成本低、快速、准确,因此特别适合于玻璃系统光热性能设计优化。
3.中空玻璃光热参数计算原理是什么?
软件虽然操作简单,但其背后的原理却不那么简单。目前计算中空玻璃光热参数的相关标准主要有:GB/T 2680-94(ISO 9050)、GB/T 22476-2008(ISO 10291、ISO 10292、ISO 10293)、JGJ 113-2015、JGJ/T 151-2008(ISO 15099)。
GB/T 2680-94(ISO 9050)更多地用于测试计算单片玻璃的光谱数据,通过光谱数据计算该单片玻璃的光热参数。
GB/T 22476-2008(ISO 10291、ISO 10292、ISO 10293)和JGJ 113-2015中给出了简化计算方法,笔者曾尝试按照该标准上的公式计算,结果表明这种方法无法得到准确结果。
原因在于玻璃中间空腔热工参数与其两侧壁面温度密切相关。在不知道空腔两侧温度时,无法对空腔热工参数准确计算;空腔热工参数无法准确计算时,又难以准确计算两侧温度。
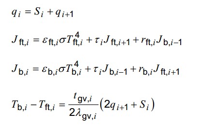
JGJ/T 151-2008(ISO 15099)中给出了更为科学的计算模型,见下图。

并给出了热平衡方程,见下式。


根据该热平衡方程,可采用先假定各表面温度时,求解各表面温度和各热流结果,经过多次迭代的计算方法,从而求得各个参数。
4.中空玻璃光热参数计算方法
笔者曾就中空玻璃传热系数K值迭代计算过程中的方法进行研究,提出了区别于传统的基于热流进行再次温度分配的方法,称为基于热阻分配温度的中空玻璃传热系数迭代计算方法,详见论文:基于热阻分配温度的中空玻璃传热系数迭代计算方法研究.建筑科学.2019(10),35。

研究表明,该方法可快速收敛得到结果。当冷热侧温度分别为-20℃和20℃时,采用基于热阻分配温度的中空玻璃传热系数迭代计算的5+12A+5中空玻璃(表面辐射率均取为0.84时)传热系数为2.627W/(m2·K),第二次热流计算结果与第四次计算结果偏差已在0.5%左右,就是说第二次迭代计算结果与最终结果的偏差已在0.5%左右。
基于此方法笔者编写了相关计算新程序,并用同一玻璃配置采用MQMC、EXCEL表格、新程序进行了计算对比。以MQMC计算结果为基准,其结果如下。

EXCEL表格计算结果如下。

新程序计算结果如下。

MQMC、EXCEL表格和新程序计算结果比较见下图。

可以看出,该方法计算结果与MQMC相比,仅有部分参数有绝对值不到0.01的误差,应该说新算法与MQMC计算结果基本是一致的。
5.小结
中空玻璃占据门窗幕墙面积的70%以上,是门窗幕墙节能的最重要构件,因此中空玻璃光热性能的准确计算具有重要意义。
笔者系统给出了常见玻璃系统光热性能参数及主要结论;以劳伦斯伯克利实验室的WINDOW软件为例给出了中空玻璃光热性能的快速计算方法。笔者结合国内外相关标准对中空玻璃光热性能参数计算原理和方法进行了简单介绍。
本团队提出了基于热阻分配温度的中空玻璃传热系数迭代计算方法,并编写了EXCEL表格和新计算程序。采用同一玻璃配置,将其计算结果与MQMC计算结果进行了比较。结果表明,该方法计算结果与MQMC计算偏差绝对值在0.01以内,具有较高一致性。