我们在中学时都学习过用“度数”来刻画角的大小,比如用360°表示周角的大小,180° 表示平角的大小,90° 表示直角的大小等等。

而到了高中,我们把角的单位由“度”换成了“弧度”,这时前面提到的角度都有了如下转化:

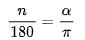
实际上,对于任意度数n° 的角,转化为ɑ 弧度可以通过如下公式:

这对每一个学过高中数学的人都不陌生,可是同学们往往只记住了这种转化的方法,却并不明白为什么非要将180度换成一个无理数 ,或者我们可以更直白地发出灵魂拷问:初中使用角度制对角的大小进行刻画似乎已经十分完美,为什么还要引入和学习弧度制,其意义何在?
今天大小吴就来和大家探讨一下这个问题。
1.角度制的起源
这一切要从角度制与弧度制的历史说起。
在富饶的美索不达米亚平原上,公元前的古巴比伦人就开创性地将圆周进行360等分,并取其中一份称1“度”,记为1° ,度下面又设有“分”和“秒”的单位,60分为1度,60秒为1分,这即为最早的角度制。

但是由于年代过于久远,我们已经无从得知古巴比伦人何时灵光一现想出这种度量方式,也不清楚他们为什么要将圆周等分成360等份,后世对其的解释主要有以下几种:
-
古巴比伦人熟悉用60进制进行计算。
-
360是一个接近一年中天数的较为整齐的数据。
-
360能被8整除,因此在以360度为周角大小的情况下,平角、直角、以及半个直角这些典型的角的度数都是整数。
-
360有多个因数,这使得各种正多边形的内角大小也恰为整数度数(正n 边形的内角大小为[180°(n-2)]/n)。
也许正是因为上述多种原因,聪明的古巴比伦人最终选择了360这个神奇的数字作为角度制的肇始,无疑,这是一种完美的制度,它深刻影响了后世的数学,并在天文、航海、测绘等诸多领域有着广泛的应用,直至每一个现代社会的学生都要对其进行学习。
2.弧度的雏形
古巴比伦人对圆周的划分,在一定程度上影响了后来的古希腊天文学。在古希腊时期“地心说”十分流行,人们认为太阳绕着地球做圆周运动,因此产生了许多圆形轨道的计算问题,进一步地,人们就想知道已知弧长如何求对应弦长这类三角学问题,为此古希腊人希帕科斯(公元前190-120)首次绘制了弦表,又如托勒密的著作《大成》中也有类似弦表,这使得弦表的思想为人所熟知,这也即为三角学的开端。

“地心说”的代表人物——托勒密
什么是弦表呢?制作弦表的目的是在一个半径固定的圆中,求给定弧所对的弦长。希帕科斯对各种不同的弧长l ,列出了对应的弦长chord(l) (以单位圆为例,弦长已转化为十进制数):


实际的弦表还有很多其他数据,利用这个表格就可以解决一系列天文学问题。
古希腊人通过弦表也发现了弧长与弦长的一一对应关系,这即是最早的三角函数。只不过古希腊人还没有形成“函数”的概念,他们在不知不觉中使用弧长作为三角函数的自变量,并且为了单位的统一,他们沿用了古巴比伦人的60进制,将弧长的度量也用60进制表示。
实际上,这也就是弧度的雏形,“弧长与弦长的对应关系”可以进一步转化为“角的大小与弦长的对应关系”,由于用弧长作为自变量时需要给定圆的半径,而用弧度(角的大小)作为自变量则无需给定半径,避免了换算的繁复,这就不难理解后人发明并引入弧度制这件事是十分自然与必要的。
3.半弦表
公元6世纪,印度数学家阿耶波多沿用了希帕科斯弦表的思想,进一步制作了半弦表。在其中他把弦所对的弧的一半与半弦对应。观察下图,你是否觉得有些熟悉?没错,我们知道在单位圆中,这里的半弦也即为正弦。因此印度数学家发明的半弦表非常接近现代数学中正弦的定义。随后几百年,文明的交流使得半弦表在阿拉伯、印度、中国等地区广为流传,同时还首次出现了余弦、正切等三角学概念。

但是在这一段时期,各种三角函数表仍然是给定半径情况下(半)弧长与(半)弦长的对应关系,且在形式上大都以表格为主,角的范围也仅仅局限在[0°,180°]内,没有真正形成抽象的“三角函数”。
4.弧度制的出现与确立
时间来到了14世纪,随着文艺复兴在欧洲兴起,数学与三角学也重新蓬勃发展起来。
哥白尼的学生,印度数学家利提克斯在学习古希腊数学时发现在给定半径的圆中角和弧长实际上是可以一一对应的。因此他突破性地改变了正弦的定义,在他之前,正弦的定义是:

利提克斯将其改成了:


这真是一个非常伟大的突破!因为这样一来三角学中的各种(三角比)定义就不再依赖于圆而可以仅在一个直角三角形中进行讨论了。也正是因为如此,角成为了三角函数的自变量,之后弧度制便逐渐登上了历史舞台。

时间又过去了好几百年,直到那个被苹果砸中的神一样男人的出现,微积分终于成为了数学的主流,进一步地,人们开始研究包括三角函数在内的各种抽象的函数,而且人们早已习惯用10进制,这当然也包括对弦长的计算。
然而这样就会造成一个问题:10进制下的弦长与60进制下的角并不统一,人们在查阅三角函数表时感到无比的繁琐。在这种情况下,角度制终于不再适宜人们对于数学研究的需要。
于是乎,人们开始考虑使用新的单位制来度量角的大小,弧度制终于应运而生!弧度大约是在1714年由英国数学家罗杰·柯特斯提出的,这位伟大的数学家深刻地意识到这种度量角度的方式的优越性与必要性。
5.弧度制与数学公式的相容性
在弧度制下,许多微分、积分公式和级数公式在形式上都得到了简化,这也是为什么后世的数学家更青睐弧度制的原因。
以数学分析中最为重要和基本的极限为例:

这个公式正是基于弧度制才显得如此漂亮简洁。若这里的角x 是在角度制下进行讨论的话,由于角度制下数据是弧度制下数据的180/Π倍,所以这时重要极限就变成了:

这样公式就显得非常不美观。
再如正弦函数的导数公式:

这种简洁的形式仍然是在弧度制下才能够出现,在角度制下就会变成:

你会选择学习哪种公式呢?毫无疑问是前者。
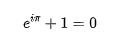
还有包括最为经典的“上帝公式”

它将数学中最为重要的常数 以及两个最为重要的实数 完美结合在一起,而这么优美的形式必须在弧度制下才能够产生。
现在你知道为什么我们要学习弧度制了吗?
参考文献 [1]江灼豪,何小亚.弧度制发展的历史溯源[J].数学通报,2016,55(07):14-17. [2]李忠.为什么要使用弧度制[J].数学通报,2009,48(11):1-3+7.
转载内容仅代表作者观点
不代表中科院物理所立场
来源:大小吴的数学课堂
编辑:乐子超人