文:屠夫1868
欢迎关注:基业长红
转载需获本人授权,并注明作者和出处
历史是判断未来的唯一方法。
金钱永不眠,屠夫问候各位早安。
上周屠夫以《数据之美 · 屠夫的数据可视化三节课之一:可视化的意义 》开启了数据可视化系列,解答了3个问题:
「数据」可以用来做什么?
「分析」能解决哪些问题?
「可视化」的意义是什么?
今天,我们将推进到「可视化的使用」,帮大家更好地理解这个工具。
01 可视化方案该怎么选?
上一节课里,屠夫总结过:
可视化可以辅助分析过程的推理
可视化可以辅助分析结果的表达
一方面是过程,一方面是结果,看似泾渭分明的两部分,在实际的数据分析工作中是相辅相成的。
许多时候,我们做数据分析是带有探索和挖掘性质的,上一阶段的分析结果可能会成为下一阶段分析的方向。
选出合适的可视化方案,不但有助于表达当前阶段的分析结果 (承前),还有助于开启下一阶段的分析思路 (启后)。
想在数据分析中选出合适的可视化方案,得先了解我们的“选项”都有哪些。
可视化的图表数量繁多,再加上可以使用的元素组合 (比如色彩),可谓千变万化,逐一列举自然是不可能的。
但是,可视化方案其实可以归纳为「D·R·C·C·T」5大类。
只要熟知这5大类,就能做到对数据可视化应用自如。
02 Distribution · 分布
第一大类是D · Distribution,分布。
如果要选出自己最常用的可视化类型,屠夫的答案一定是「分布」。
分布之于可视化,就如清蒸之于烹调 ——
方法不复杂,但最大限度地保留了食材的本来味道。
它以最原汁原味的方式展现数据特征,让我们对分析对象有初步认知。
「分布」类可视化的典型代表包括散点图、直方图和 箱 线图。
这3种分布类可视化,其实我们在中学课程里都学过,但大部分人都低估了其作用。
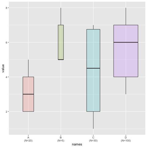
比如这一张简单的箱线图,其实把4类数据的最小值、25%分位数、中位数、75%分位数、最大值和样本量 (箱子的宽度) 全部展现在我们眼前:

来源:r-graph-gallery.com
考虑样本量的多寡:D类最多,B类最少……
考虑value值的离散:B类最集中,C类最分散……
考虑value值的大小:A类最大者小于B类最小者……
「分布」类可视化方案中也有一些不常见的图表,比如屠夫曾在《给我3枚硬币》用过的平行坐标系:

来源:columbia.edu
上面的平行坐标系展现的是上世纪70、80年代的32款汽车在每加仑汽油行驶的里程 (mpg) 、气缸数 (cylinders) 、引擎大小 (displacement) 等维度下的分布情况。
可以看出,当时的汽车气缸数分布比较集中 (4、6、8),但是车身重量 (weight) 的分布却非常分散。
又比如上半年大家经常看的地理热力图 —— 结合地图和颜色后,以简单清晰的方式把数据分布展现出来:

来源:北京大学可视化与可视化分析实验室
「分布」类可视化,是解决数据分析问题的良好开端。
屠夫并不指望这类可视化能获得最终答案,但却是迈向最终答案的第一步。
一份数据集到手,无论分析的目标是什么,先看看分布,准没错。
03 Relationship · 关系
第二大类是R · Relationship,关系。
「关系」类的可视化方案,侧重展示的是数据的相关性和关联关系。
从广义上说,任何一类可视化都可以通过添加“系列”实现展示数据的关系 (如果有的话)。
比如上面的例子,将多类数据的箱线图放在一起,可以展示「分布」方面的「关系」;
又比如,将多类数据的饼图放在一起,可以展示「构成」方面的「关系」;
再比如,将多类数据的折线图放在一起,可以展示「趋势」方面的「关系」。
在实际应用中,屠夫还是习惯将“「关系」类可视化方案”定义缩小一点,归纳为“基于坐标系”和“基于图”两种。
基于坐标系的「关系」类可视化方案,包括散点图、气泡图、六边形分箱图、热力图和平行坐标系等。
六边形分箱图和平行坐标系的使用比较少,热力图在上一节已经提过,这里介绍一下气泡图。
气泡图可以理解为散点图的加强版 —— 将点换成圆,以圆的面积 (注意,不是半径) 多展现一个维度的信息。
下面是一个气泡图的例子,作者加上了趋势线来表达气泡数据的相关性:

来源:instagram.com
基于图的「关系」类可视化方案,包括力导向图和弦图。
力导向图的名字比较拗口,如果屠夫说“关系链”,许多人应该会“哦”地一下恍然大悟。
力导向图用节点代表对象,用连线代表对象之间的关系。
比如下图表达了抽象派艺术家们的社交关系,不难看出关系网中最有影响力的关键节点是毕加索:

来源:moma.org
弦图则显得更优雅一些 —— 将圆的每一段表示一个对象 (相当于力导向图中的节点),再用贝塞尔曲线表示对象之间的关系 (相当于力导向图中的直线)。
下面的例子是以弦图展现海外一些期刊之间的引用关系,屠夫选择观察《Science》的引用/被引用关系:

来源:well-formed.eigenfactor.org
04 Comparison · 比较
第三大类是C · Comparison,比较。
「比较」类的可视化方案,重点在于不同数据之间的对比、突出差异点,和「关系」类的可视化方案正好是不同的出发角度。
这类可视化方案一定绕不开的典型代表,是柱状图。
屠夫在考察候选人的可视化功底时,必问的一道题是:
请解释柱状图和直方图的区别?
我说的当然不是名称上的区别 (Bar Chart V.S. Histogram) ——
从应用角度,直方图常用于「分布」,而柱状图常用于「比较」
从数据角度,直方图适用于连续型变量,而柱状图更适合离散型变量
从制图角度,直方图的直方无间隔,而柱状图的柱形有间隔

来源:图之典
柱状图的应用很广泛,看起来似乎很枯燥。
其实只要做简单变化,柱状图的视觉效果也可以很惊艳,比如下面这张将柱状图和极坐标系结合的图表:

来源:behance.net
适合「比较」的图表还有很多,包括上面提到过的热力图、气泡图等等,这里屠夫还想再举的一例是“雷达图”。
雷达图在许多游戏中出现,常表示人物的多维度属性或者能力值。既可以对比同一人物的不同维度,也可以对比不同人物的同一维度,看起来简洁而直观。
下图是基于2013年NBA全明星球员绘制的雷达图:

来源:fastcompany.net
05 Composition · 构成
第四大类是C · Composition,构成。
「构成」类的可视化方案,重在展现整体里的构成比例,最简单的「构成」例子非饼图莫属。
或许有同学会问,饼图也展现了不同部分的大小比例,是不是也可以和柱状图一样,作为「比较」类的可视化方案呢?
理论上可以,但屠夫不建议这么做。
人眼对于面积和角度的感知远低于长度,而饼图恰恰是运用面积和角度进行可视化表达,在「比较」方面不够显著。
举个例子,下面3种情形属于“比较对象的数值接近”,我们从上面饼图里获得的对比效果,远不及下面的柱状图
—— 虽然上下两张图,是基于相同数据绘制的。

来源:图之典
实际分析里我们也会遇上“带层级结构的数据”,这时我们需要饼图的加强版 —— 旭日图。
旭日图又叫“多层饼图”,以同心圆的多层来表示层级关系,内层是外层的“父”,本质上也是一种树状结构。
比如下面这张图展示了不同咖啡风味的层级关系:

来源:jasondavies.com
较真的同学会发现,饼图运用了圆的“圆心角”,旭日图以此为基础套上“同心圆”,却没有发挥“半径”。
如果把圆的半径也用于数据表达,就会形成“南丁格尔玫瑰图”。
顾名思义,这是由著名的医疗改革家南丁格尔护士发明的一种图表,用扇形的半径来表达数据。
下面的例子是Facebook在2016年的用户画像,每一块扇形表示一种数据维度,而人口统计学属性 (性别、收入、年龄、学历) 还使用了层叠:

来源:excelhowto.com
06 Trend · 趋势
第五大类是T · Trend,趋势。
「趋势」类的可视化方案,重在描述数据随某一维度变化而变化的情况。
“某一维度”往往是「时间」,这样的图表就是我们经常见到的折线图了:

来源:澎湃新闻
注意了,屠夫只是说“往往是「时间」”,总会有例外。
如果“某一维度”是「流程节点」,那么可以用桑基图来表达:

来源:经济学人
上图是经济学人对“难民流向”问题的可视化,其中蓝色表示难民来源国家,黄色表示迁移目的地,绿色表示成功入境,红色表示拒绝入境。
桑基图在互联网行业常用于用户路径分析,每一个节点可以表示一个功能页面,而节点间的条状带表示有多少用户沿着这个方向跳转或流动 —— 这也是一种“趋势”。
把桑基图顺时针旋转90度,再挑选其中一种路径进行展示,就成了另一种图表 —— 漏斗图。
依然是来自经济学人的可视化案例,这次是有关职场性别歧视 (薪资差距) 的分析,对比同类型工作中男女薪资差异。
漏斗从上至下分别是:
所有工作
同级别的工作
同级别且同公司的工作
同级别、同公司且同部门的工作

来源:经济学人
07 可视化方案5大类的总结
无论是在分析过程中辅助推理,还是在分析结果上辅助表达,选取合适的可视化方案十分重要。
让我们重新回顾一下5大类可视化方案及其作用吧~
Distribution · 分布:展现数据的分布情况,是洞察的基础
Relationship · 关系:表达数据之间的关系,突出的是关联
Comparison · 比较:对比数据的不同表现,重点的是差异
Composition · 构成:呈现数据内部的成分,关注的是比例
Trend · 趋势:考虑数据随时间、流程等维度变化的情况
在第二节课的最后,屠夫整理了一些常见图表的可视化功能,大家不妨保存下来随手查询哦~
