
计算题是中考化学的压轴大题,而图表型计算题又是试卷中最常出现的类型之一。因此本文将根据中考题,选择不同类型的经典题目进行解题分析,希望能够为未来面向中考的莘莘学子指点迷津。
一、函数图像计算题
函数图像计算题是图表型计算题经常出现的一种。这种题目在解答时需要做到“五看”,即看坐标、看比例、看起点、看终点、看特点。除此之外还需要根据函数图像表示的意义与所学习到的化学知识点紧密联系起来,找到图像转化成化学反应相关的量的关系,然后运用方程式列出变量与函数之间的关系然后进行解答。

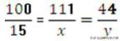
(2017.广西南宁)取碳酸钡和硫酸钡的混合物23.0g于烧杯中,将150.0g的稀盐酸平均份三次加入烧杯中,加入稀盐酸的质量与烧杯中固体的质量关系如图所示,计算:
(1)该混合物中硫酸钡的质量为_____g。
(2)恰好完全反应时所得溶液中溶质的质量分数(精确到0.1%)。

这道题一共有两问,第一问是需要观察图像来进行解答。通过观察图像的坐标、起点、终点,可以看出横线的位置属于剩余物质,而混合物中的硫酸钡不参加化学反应,同时也不溶于盐酸,因此可以推断出横线位置对应的坐标3.3是问题的答案。第一问只是小试牛刀,考查学生的基本读图能力,而在第二问就需要考查学生化学反应方程式的计算。这需要学生了解溶质质量分数的基本运算,酸的化学性质,以及复分解反应的基本原理。根据第一问我们知道了硫酸钡的质量,那么通过读图,总质量是23g,那么碳酸钡的质量就是19.7g。这时候可以根据题意列方程式,假设恰好完全反应时生成氯化钡的质量为x,生成二氧化碳的质量为y,由此可得:

由此便可以计算出这道题的正确答案。

二、流程图像计算题
在化学图表型计算题中,还有一类题目,是用流程图的方式展现的。由于流程图简明扼要,因此在实际解题中并不会给学生带来太大的困扰。只要学生细心,明白流程图的起始过程,注意化学反应条件,那么一般题目很容易迎刃而解。
(2017.广西桂林)小甜利用石灰石和稀盐酸进行如下实验,操作过程和数据如图所示(样品中的杂志不与酸反应也不容易水)。求:(1)20g石灰石样品中的CaCO3的质量为______g。
(2)列式计算不饱和溶液A的溶质质量分数(结果精确到0.1%)。

由图示可以看出,关键条件在于“恰好完全反应”,碳酸钙和盐酸感反应可以生成氯化钙、水和二氧化碳。根据题目条件可以得知杂质不溶于水,不和算反应,所以剩余固体为杂质,那么CaCO3的质量为15g。第二问需要考查学生化学反应方程式的计算,这需要学生了解溶质质量分数的基本运算,学生可以根据化学反应列出相应的方程式:


三、数据图表计算题
在化学图表型计算题中,有数据图表类型的计算题,一般是以表格的形式呈现。这些表格通过几组数据可以呈现一定的数学关系。这就需要学生可以将图表中的数字转化成函数,从而探求出它们之间存在的逻辑关系。
(2017.广西河池)向100g氯化钡溶液中加入硫酸钠直至完全反应,反应过程中生成沉淀的质量与滴入硫酸钠溶液的质量关系,如下图所示。求:
(1)硫酸钠的相对分子质量;(2)恰好反应时生成硫酸钡的质量;(3)氯化钡溶液中溶质的质量分数。

这道题的第一问考查学生的化学基础,硫酸钠的相对分子质量只要用心计算都可以得分。第二问是考查学生的化学反应原理与基本读图能力。当氯化钡与硫酸钠反应时,生成的沉淀物质是硫酸钡,而30分钟与40分钟沉淀质量保持不变说明已经完全反应,那么硫酸钡的质量就是6.99g。而第三问求氯化钡溶液中溶质的质量分数,这一问实则与本文前面两道例题的求法相同,在这里就不再赘述。

综上所述,其实中考化学图表型计算题看似复杂,其实经过整理和归纳有一定的规律可循。只有掌握规律,把握重点,才能让解题变得更加容易。

本文由初中化学大师原创,欢迎关注,一起涨知识!
允许非盈利性引用,并请注明出处:“转载自初中化学大师”字样,以尊重作者的劳动成果。版权归原作/译者所有。未经允许,对非法转载者,保留采用法律手段追究的权利