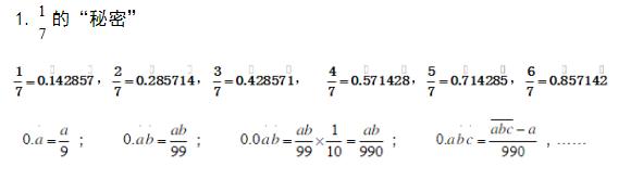
五年级小学数学优化设计循环小数 (小学必背分数化小数)

小学循环小数知识点,小学必背分数化小数

小学循环小数知识点,小学必背分数化小数

小学循环小数知识点,小学必背分数化小数

小学循环小数知识点,小学必背分数化小数

小学循环小数知识点,小学必背分数化小数

小学循环小数知识点,小学必背分数化小数

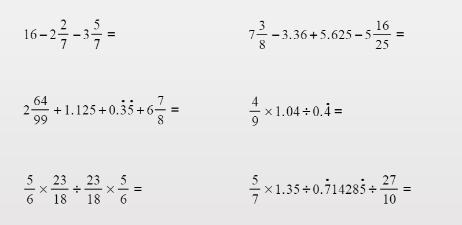
练一练

小学循环小数知识点,小学必背分数化小数

小学循环小数知识点,小学必背分数化小数