麻烦看官们右上角点击一下“关注”,方便您及时阅读更多文章,感谢您的支持!

文|雾归
编辑|雾归

随着能源需求和热管理的不断增加,热交换器材料的热传导性能成为了关注的焦点。为了满足高效能量传输和散热需求,研究人员一直在寻找新的材料和方法来增强热交换器的性能。在这方面,纳米复合材料因其独特的结构和性能在近年来引起了广泛的兴趣。
石墨烯增强热塑性聚氨酯纳米复合材料的热性能增强机制是一个具有挑战性的任务。为了深入了解材料的热导率和热膨胀系数等热性能参数,分子动力学模拟成为一种有效的工具。
通过模拟原子之间的相互作用和热传导过程,分子动力学模拟能够揭示纳米复合材料的微观结构、热传导路径以及热性能变化。这种研究方法可以帮助我们理解石墨烯与聚氨酯基质之间的相互作用对热传导的影响, 进而为纳米热交换器应用中的热性能优化提供指导。


增强石墨烯聚氨酯纳米复合材料的热性能,用于纳米热交换器应用一项分子动力学研究利用纳米技术进行热交换器的最优设计是一个旨在降低能耗的热门领域。
最近,应用纳米固体、纳米流体和纳米气体在热交换器中以实现节能效果成为了备受关注的有前景的纳米级研究领域。
在MD模拟过程中,研究基于纳米系统内原子的运动。对于目前的测试能力而言,实验研究纳米尺度设备或设备的热传递非常耗时且昂贵。
相关研究人员研究了金属和非金属在室温下的热性能,用于热交换器应用,并发现金属材料更适用于热传递应用。但是,由于腐蚀问题,金属应用存在一定的限制。为了克服这种情况,过去几十年中,聚合物热交换器技术的应用是热交换器材料的一项开创性创新。

聚合物在热交换器应用中的主要限制是其非常低的热导率。为了改善这一性能,在热交换器的蒸发和冷凝应用中,石墨烯增强的聚合物纳米复合材料是一个合适的候选材料。
通过分子动力学模拟确定纳米复合材料的热性质,如热导率和热膨胀系数,是一项非常耗时且具有挑战性的任务。

模拟式子
可以利用分子动力学模拟对石墨烯增强的聚氨酯纳米复合材料的热性质进行表征,如热导率和热膨胀系数,以应用于纳米热交换器材料。

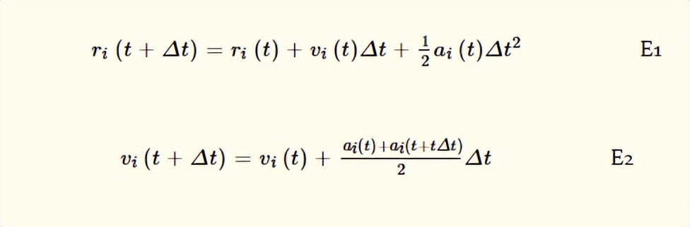
其中(ai)是原子i的加速度,t是当前时间,Δt是时间步长。

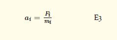
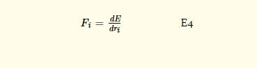
mi是第i个原子的质量,Fi是第i个原子的力向量,该向量是从总势能(E)对第i个原子的梯度获得的。

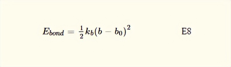
在分子动力学模拟中,一个模型系统以原子尺度建立起来,原子之间存在预设的势能(也称为力场)。势能依赖于施加在系统上的力场。系统的势能由键合能和非键合能确定。总势能将所有能量贡献组合在下面的方程中:

不同类型的键合能和非键合能方程如下所示:

kb是拉伸力常数,b0是平衡键长,b是实际键长。

kθ是角度弯曲力常数,θ0是平衡键角,θ是实际键角。

kφ是扭转势垒,φ是实际扭转角度,n是周期性,φ0是参考扭转角度。

Kω是力常数,ω是轴与平面之间的角度。

Aij和Bij分别是斥力项和引力项的系数,rij是两个原子之间的距离。

q1和q2是相互作用原子上的电荷,ε是介电常数,rij是原子之间的距离。
在所有模拟中,通过Andersen和Berendsen方法来维持温度和压力。非键合相互作用的计算通过应用12.5 Å的截断距离进行模拟。样条曲线和缓冲区宽度分别为1 Å和0.5 Å。
由于纳米尺度的测量困难且成本高昂,用于预测增强热性能的石墨烯增强纳米复合材料的实验方法有限。MD模拟技术是表征热交换器材料中纳米材料和纳米复合材料的经济途径,适用于小尺度和小时间范围内的特性研究。

分子动力学MD模拟的模型和方法用于热性能计算
热量可以通过电子和声子的激发和散射,在纳米复合材料中传输。这些不同的热传输方式有助于理解基于石墨烯的纳米复合材料热性能增强的机制。
为了计算这些参数,使用Materials Studio 2017分子建模软件包构建了不同的模拟模型。在MD模拟研究中,开发了三种类型的模型,即浓缩模型CM、层状模型LM和界面模型IM。不同的模型被用来研究纳米复合材料相对于不同参数的不同性质。

MD模拟运行分为两个部分,即平衡运行和生产运行。平衡运行有助于在所需热力学状态下发展分子结构,而生产运行则有助于计算不同的热参数,包括比热、热膨胀和热导率。在平衡运行中,需要满足两个重要条件。一是在规定温度下实现最小能量稳定状态,另一个是在周期边界条件下具有初始无应力结构。
因此,首先对纳米复合材料模型进行能量最小化、正则系综恒定原子数、体积和温度NVT动力学模拟和温度退火循环。动力*运学**行的持续时间为200皮秒,积分时间步长为1飞秒(femto-second)。在此过程中,石墨烯被视为刚性结构,因此z方向上的晶格尺寸(c)将发生变化。

能量最低的结构模型在300K和1大气压下,使用等温等压NPT系综进行500皮秒的全松弛。等温等压NPT系综有助于松弛晶格参数和角度,以获得最终合理的平衡结构。
经过动态平衡过程后,1% Gr/TPU纳米复合材料的密度为1.38 g/cc,如下图所示。

热容是纳米复合材料系统中的重要热性能之一。在本研究中,采用分子动力学模拟来计算等压热容(Cp),Cp的值可以根据以下方程确定:

其中,KE是动能,PE是势能,P是压力,V是体积,KB是玻尔兹曼常数,T是温度。在常体积下的比热(Cv)可以通过以下方程得到:

其中,δE是能量的波动,kB和T分别是玻尔兹曼常数和绝对温度。
为了研究玻璃转变温度和热膨胀系数CTE,采用了高温退火协议。在每个温度下,系统通过等温等压NPT系综在大气压下进行500皮秒的分子动力学模拟来达到平衡状态。温度被升高到600K,并在大气压下使用NPT系综进行500皮秒的平衡。
然后,温度每次降低20K,直到达到300K。在加热方法之后采用冷却方法,通过相同的设置和模拟时间降低温度。由于每次温度降低仅为20K,因此每次温度降低时结构都会非常快速地重新达到平衡状态。
模拟结果与实验结果非常吻合,并展示了COMPASS力场的准确性。体积热膨胀系数VCTE由α定义:

通过使用Materials Studio(MS)的“原子体积和表面”工具,通过对晶格单元进行球形探测,可以计算纳米复合材料中的自由体积作为温度的函数,在退火过程中如下图所示。

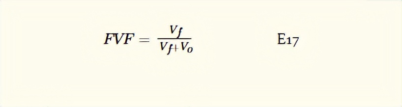
自由体积是未被石墨烯或TPU链占据的体积。自由体积分数(FVF)可以通过以下方程获得:

其中Vf是自由体积,V0是聚合物链的占据体积。
热导率是声子贡献和电子贡献的总和。因此,总热导率(K)

其中Kp和Ke分别表示声子贡献和电子贡献的热导率。尽管在大多数石墨烯增强纳米复合材料中忽略了电子贡献的热导率。热导率是与热管理应用相关的重要热性质。热导率通常使用平衡或非平衡分子动力学方法进行计算。
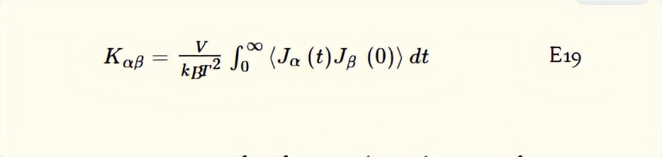
平衡分子动力学EMD利用一次模拟可以预测所有方向上的热导率,而非平衡分子动力学NEMD需要使用热梯度,因此只能计算单一方向上的热导率。间接方法是一种基于Green-Kubo方法]的平衡分子动力学EMD方法,通过涨落-耗散定理使用电流涨落来计算热导率:

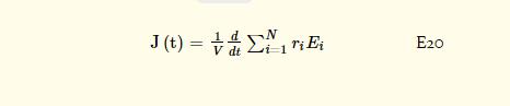
其中kB是玻尔兹曼常数,V和T分别表示系统的体积和温度,Jα表示α方向上的热通量,尖括号表示集合平均。热通量矢量可以写成以下形式:

其中ri和Ei分别表示第i个原子的位置和总能量。EMD对于可以应用周期性边界条件的几何结构特别有用。EMD通常计算成本较高,并且结果对于模拟参数更为敏感。
我们使用自制的PERL脚本来基于非平衡分子动力学NEMD模拟平衡系统以计算其热导率。可以通过在系统的两端施加两个热浴以保持恒定的温度,或者通过在不同区域人为交换原子速度来施加恒定热通量,也被称为反向非平衡分子动力学RNEMD方法,该方法基于Muller-Plathe的方法,来建立非平衡状态。
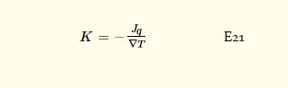
在反向非平衡分子动力学RNEMD方法中,能量交换是通过交换两个粒子的动能来实现的:冷层中最热的粒子和热层中最冷的粒子。RNEMD方法中的动量交换率越大,说明热源和热汇之间的能量交换频率越高。热导率是根据傅里叶定律计算的:

其中∇T表示根据热流方向上的离散温度的最小二乘逼近计算的时间积分温度梯度。每个层板的温度是使用维里定理计算的,Jq是给定的热流,表示为:

其中E是从热汇中减去的能量。Ac是横截面积,Δt是时间步长。
在纳米复合材料中,由于石墨烯和聚合物基体之间的弱相互作用,形成了界面热导率ITC。然而,石墨烯增强的TPU纳米复合材料的热导率远低于石墨烯的热导率。这种低填料效率很可能是由于石墨烯和聚合物之间的界面热导率ITC较低所致。

通过模拟研究,我们得出了以下结论:
石墨烯与聚氨酯基体之间的界面热导率ITC对纳米复合材料的热导率具有重要影响。由于两者之间的相互作用较弱,导致界面热导率较低,从而降低了纳米复合材料的总热导率。
通过模拟计算,我们发现纯聚氨酯的热导率较低,约为0.2 W/mK,而石墨烯/聚氨酯纳米复合材料的热导率为1.5 W/mK,明显提高了热导性能。
本研究采用了NEMD模拟方法,在纳米复合材料中引入热流,计算了其纵向热导率。模拟结果与以往的模拟和实验测量值相吻合,验证了模拟方法的准确性。
未来的研究可以进一步探索改进界面热导率和热导率的方法,以进一步提高纳米复合材料的热性能!
