一个由变量x1 ,x2,…xn组成的方程组, 如果所有常数项都是零,也就是说,如果系统的每个方程都有这样的形式:

则称这样的方程为齐次方程。
显然x1 = 0, x2 = 0, . . . , xn = 0是方程的零解。但我们的目标是要找到方程组的非零解。

齐次方程的非零解
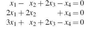
例题:求出下列方程组的非零解。

解:将系数矩阵和常数项所形成的增广矩阵做行变换,成为阶梯矩阵。

主变量是x1, x2和x4,所以x3被指定为一个参数——比如x3 = t
通解是
x1 =−t,
x2 = t,
x3 = t,
x4 = 0。
因此,让t = 1,我们得到一个非零解:
x1 =−1,
x2 = 1,
x3 = 1,
x4 = 0。
本例中的非零解的存在是通过参数的存在来保证的。因为这里有四个变量,只有三个方程(因此最多三个主要的变量)这是由于有一个非主变量(在本例中为x3)。因而这里一定会有一个非主变量,这一结论推广到下列基本定理的证明。
定理:如果一个齐次线性方程组的变量比方程多,那么它就有无穷个非零解。
证明:设m个方程中有n个变量,其中n>m,设R表示行最简阶梯形增广矩阵。如果有r个主变量,则有n - r个非主变量,也就是有n−r参数。因此,只要证明r < n,但是r≤m,因为R有r个开头的主元1和m行,而根据前提m < n, 所以r ≤ m < n, 因此r < n。
线性组合与基本解
设x和y是有相同数量元素的列。对于初等行运算,它们的和x+y是通过相加相应的元素得到的,如果k是一个数,就是标量乘积kx的定义是x的每一项都乘以k。更精确地说:

例如:

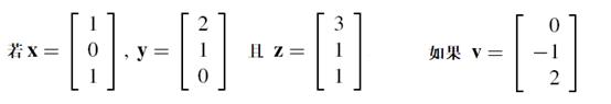
例题:

确定v是x ,y, z的线性组合。
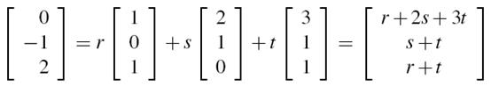
解:对于v,我们必须确定数字r, s和t是否存在,使v = rx+sy+tz,也就是说,是否

使相应的项相等,得到线性方程组
r+2s+3t = 0,
s+t =−1,
r+t = 2,
通过高斯消去法,

解是:
r = 2−k,
s =−1−k,
t = k
其中k是一个参数。取k = 0,我们可以看到v = 2x−y是x, y和z的线性组合。