R22制冷剂:
R22制冷剂也属于氟里昂制冷剂,化学名称是二氟一氯甲烷,化学分子式为CHF2Cl 。
R22制冷剂也是中压中温制冷剂,沸点温度为-40.8℃,凝固点为-160℃,临界温度为96℃,临界压力为4.974MPa 。R22不燃烧不爆炸,毒性小,但参透能力很强,并且泄漏难以发现。
R22的单位容积和氨制冷剂差不多。能制取的最低温度可达-80℃,但不经济。
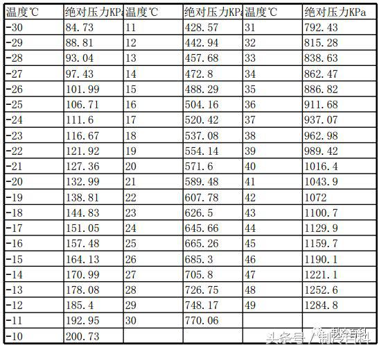
R22制冷剂的温度压力对照表

R410a制冷剂:
R410a是由R32和R125两种工质按50%和50%的质量分数混合而成的HFCs类制冷剂。R410a制冷剂不可燃,ODP为 0,全球变暖系数值GWP为2340,所以R410a并不是真正的环保制冷剂。
R410A的标准压力的泡点温度为-51.6°C,相变温度滑移小于0.2°C,属近共沸混合物,其热力学性能十分接近单工质。R410a制冷剂的容量和压力高于R22,运行压力高出50%-60%。R410a的运行噪声比R22压缩机明显地低2-4个分贝。
由于R401A的高压、高密度允许制冷剂管径减小许多,压缩机尺寸及排量也可大大降低;同时R410A液相的热导率高,粘度低使其具有明显优于R22的传输特性。
R410a制冷剂的温度压力对照表

R32制冷剂:
中文名称:二氟甲烷;分子式:CH2F2,R32无色、无味、轻微燃烧(A2级别),沸点为(ºC,常压):-51.6。在空气中燃烧极限为14%~31%(体积比),常温下HFC-32结构稳定,不易分解,但遇明火、高温时分解为HF、碳酰氟等,引燃温度为647.8 ℃。在这里,制冷百科在啰嗦一句,R32制冷剂设备一定要抽真空,一定要禁明火!
R32制冷剂易溶于油,难溶于水。破坏臭氧潜能值ODP为 0,全球变暖系数值GWP为670。压力比R22约高60%。产品需耐高压,用于维修的工具与设备也需耐高压。压力与R410A相当,R32与R410A热力性能非常接近。
其实,关于R32制冷剂的培训我们制冷百科平台发布过多次,很多朋友都在问我,R32制冷剂易燃易爆,为什么还有很多厂家用R32制冷剂?因为R32制冷剂与R22相比,CO2(二氧化碳)减排比例可达77.6%,而R410A减排CO2(二氧化碳)为2.5%。
R32制冷剂的温度压力对照表

R717(氨)制冷剂:
R717(氨)制冷剂,氨是中温制冷剂,化学分子式为NH3,沸点温度-33.4℃,凝固点为-77.7℃,临界温度133℃,临界压力11.417MPa 。纯氨对润滑油无不良影响,但有水分时,会降低冷冻油的润滑作用,在氨制冷系统中对管道及阀件均不采用铜和铜合金。
R717(氨)合成工艺成熟,制取容易,价格低廉,不破坏臭氧层,无温室效应。氨制冷剂在冷凝器和蒸发器中的压力适中(冷凝压力一般为0.981MPa,蒸发压力一般为0.098-0.49MPa);单位容积制冷量较比R22大;汽化潜热大,制冷和放热系数高。氨制冷剂在大型冷库、超市食品陈列柜中有广泛应用。
氨的蒸气无色,有强烈的刺激臭味。氨对人体有较大的毒性,当氨液飞溅到皮肤上时会引起冻伤。当空气中氨蒸气的容积达到0.5-0.6%时可引起爆炸。故机房内空气中氨的浓度不得超过0.02mg/L。氨在常温下不易燃烧,但加热至350℃时,则分解为氮和氢气,氢气于空气中的氧气混合后会发生爆炸。
R717(氨)制冷剂的温度压力对照表

R134a制冷剂:
制冷剂R134a,主要作为R12的替代品,广泛用于汽车空调、冰箱、中央空调、商业制冷等制冷空调系统。R134a标准沸点为-26.5°C。R134a气化潜热大、比定压热容大、具有较好制冷能力;饱和气体积大,相同排气量压缩机的制冷剂的质量流量小,ODP臭氧层没有破坏作用,但是R134a的GWP全球变暖潜能值为1600。
R134a的容量比R22小,压力比R22低。R134a的吸水性很强,是R22的20倍,因此对机组系统中干燥器的要求更高,以避免发生冰堵现象。
R134a系统需要专用的压缩机及专用的脂类润滑油,脂类润滑油由于具有高吸水性、高起泡性及高扩散性,在系统性能的稳定性上劣于R22系统所使用的矿物油。
R134a制冷剂的温度压力对照表

R404a制冷剂:
制冷剂R404a是一种混合制冷剂,它由44%的R125、4%的R134A、52%的R143A组成。两种制冷剂不能混用,R22是一次冷媒,R404a是混合二次冷媒,共沸与非共沸,沸点压力不同。制冷剂的ODP为0,GWP为4540。
R404A制冷剂的排气压力约为R22的1.2倍,质量流量是R22的1.5倍左右,排气流速增加,阻力增大。一般来讲,冷凝器的换热容量要比R22增大20%~30%。
R404A是非共沸混合工质,非共沸混合物的成分浓度随温度、压力变化而变化,这对制冷系统的生产、调试及维修都带来一定的困难,对系统热传导性能也会产生一定的影响, 特别是当制冷剂泄漏时,系统制冷剂建议全部排空置换,这样才能保证各混合组分的比例,也才能达到设计制冷效果。
R404a制冷剂的温度压力对照表

R407C制冷剂:
R407C制冷剂的容量和压力都和R22比较接近。因此,调整系统设计,才能使原R22系统也适用于R407C系统。当然,要将原系统内的矿物冷冻油更换成能与R407C互溶的润滑油(POE油) 。
较R22系统能效比会较原系统降低约5%。这是由于相对于其他制冷剂,R407C会有高达6度的温度漂移。因此R407C系统在同等标准冷凝器和蒸发器时均会减少热传递,影响系统能效比。
由于 R407C 是混合非共沸工质,为了保证其混合成分不发生改变,所以 R407C 必须液态充注。如果 R407C 的系统发生制冷剂泄漏,且系统的性能发生明显的改变,其系统内剩余的 R407C 不能回收循环使用,必须放空系统内的剩余 R407C 制冷剂,重新充注新的 R407C 制冷剂。
R407c制冷剂的温度压力对照表

R290制冷剂:
R290(丙烷)又称冷煤,是一种新型环保制冷剂,主要用于中央空调、热泵空调、家用空调和其它小型制冷设备。但是R290由于其易燃易爆的特性,灌注量受到了限制,安全等级为A3级。

高纯级R290 用作感温工质;优级和一级R290 可用作制冷剂替代R22、R502,与原系统和润滑油兼容,用于中央空调、热泵空调、家用空调和其它小型制冷设备,也可以用于金属氧割气。
R290作为一种碳氢制冷剂,ODP值为0、GWP值小于20,且与R600a、R134a&R404A相比,在制冷性能上有着突出的优势。R290符合当前国际、国内的环保要求,性能适用于大冷量制冷设备,随着后续政策的放开,将会有更加广阔的发展前景。
R290制冷剂的温度压力对照表

附17种制冷剂的温度压力对照表(以下压力都是bar):




制冷百科微信公众号已经开通制冷技术群30多个,需要进制冷技术群的小伙伴,请关注制冷百科微信公众号hvacrbk。
制冷百科公众号2015年05月16日开始发布制冷暖通技术文章,到现在已经累计发布约4730余篇制冷暖通行业文章,欢迎大家关注 !