紧固件摩擦系数的重要性是目前大家都比较关注的,摩擦系数的大小和散差会严重影响紧固件的拧紧后预紧力。
同样的拧紧扭矩拧紧后,不同的摩擦系数范围,会得到差别非常大的预紧力。
大家都比较熟知的50-40-10的螺栓扭矩分配原则,也就是说摩擦系数变化小,但是预紧力会变化非常大。
因为螺栓头支撑面和螺纹副的扭矩占比非常大,即使很小的摩擦系数变化,对螺栓头支撑面和螺纹副扭矩影响看似不是非常大,但是会影响产生预紧力的扭矩占比,可能产生预紧力的占比因为摩擦系数的变化,产生了5%的增减,最终就会较大的影响预紧力的占比。

既然摩擦系数对于螺栓连接是这么重要,那么,摩擦系数跟哪些因素有关系呢?
我们从以前物理学等了解到摩擦系数跟接触面积等没有关系,但是,在实际工作过程中又隐隐约约感觉到摩擦系数好像跟接触面积还是有一定关系,到底实际情况是怎么样呢?
我们通过前人的理论研究,并通过试验来确定。
螺栓扭矩系数的稳定性,对于预紧力控制和连接点的可靠性至关重要。
螺栓扭矩系数由摩擦因数和螺纹尺寸参数共同决定,对于特定的螺纹联接副而言,螺栓的螺纹常数是固定的,当摩擦因数确定之后,扭矩系数也就唯一确定了。
对于螺纹尺寸参数对扭矩的影响有大量研究成果,而且螺纹尺寸参数对于扭矩系数的影响是规律性的,但是对于摩擦因数影响的关键因素却鲜有研究。
本文,螺丝君从理论上找出了可能影响电镀锌螺栓摩擦因数的因素,然后通过螺栓的拧紧实验对这些关键因素进行了实验研究;找出了影响螺栓摩擦因数的关键因素;最后根据影响因素对摩擦因数影响的显著性程度,选择性地对这些关键因素进行了控制,有效控制了摩擦因数的散差。
01
影响摩擦因数的因素分析
前人经过系统的实验研究,建立了较完整的黏着摩擦理论,对于摩擦磨损研究具有重要的意义。黏着摩擦理论认为整个摩擦分为3个过程:
① 摩擦表面处于塑性接触状态,实际接触面都是以接触峰点的形式存在,接触点应力达到屈服极限就会产生塑性形变, 接触点就只能依靠增加接触面来承受继续增加的载荷。

② 接触点摩擦过程中还可能产生瞬时高温, 接触点会产生黏着,在随后摩擦的剪切力作用下,黏着点会被剪切产生滑动。
③ 摩擦力是黏着效应和犁沟效应产生阻力的总和,接触面中硬表面的粗糙峰在法向载荷作用下嵌入软表面中,接触面分两部分组成:
- 发生黏着效应的面积,滑动发生剪切;
- 犁沟效应作用的面积,滑动时硬峰推挤软材料。

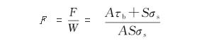
金属黏着摩擦理论中,摩擦系数f的计算公式如下:

式中:
F 为接触面的剪切力;
W 为接触面的正压力;
A 为摩擦面实际接触面积;
τ b为剪切强度极限;
S 为粗糙峰在垂直面上的投影面积;
σ s为屈服强度极限。
从以上摩擦过程分析可知,微观上摩擦跟接触面积是存在一定的关系,这与我们实际生活中的感觉有点接近。
例如,我们穿着一个带凸点的鞋子,如果突然某个时候,只有很小的一个凸点着地,这时候会一下子感觉被晃了一下,感觉这时候的摩擦力非常低。不知道大家是否也有这种感觉?
螺栓在拧紧过程中,接触表面会产生相对滑动,必然会引起接触表面产生摩擦,导致接触面磨损,螺栓拧紧转速的不同会导致摩擦面的温度的变化。
支撑面硬度、螺栓强度等级会影响接触点的屈服强度和剪切强度。
螺栓表面膜的摩擦副滑动时,黏着点的剪切发生在膜内,其剪切强度会改变,又由于表面膜很薄,实际接触面积由基体材料的屈服极限决定。
所以拧紧速度、螺栓强度等级、镀层厚度、钝化层、支撑面硬度可能会改变螺栓的摩擦因数。
02
影响螺栓摩擦因数关键因素的实验研究
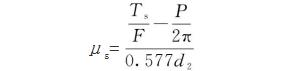
实验采用德国先进的多功能螺栓紧固分析系统,拧紧机自带一个测定总扭矩 T f的扭矩传感器,同时在螺纹装配夹具内安装了测定螺纹扭矩 T s的传感器和测定夹紧力 F 的力传感器。

端面摩擦扭矩: T w= T f- T s
根据紧固扭矩与夹紧力的比值,总摩擦因数 μ tot,螺纹摩擦因数 μ s,支撑面的摩擦因数 μ w用如下公式计算确定:



拧紧速度对螺栓摩擦因数的影响是必然的,前人也进行了大量的研究,本文中不作为研究对象。


以螺栓强度等级、镀层厚度、钝化层、支撑面硬度为研究对象进行实验,实验螺栓统一为六角头螺栓,螺母为六角法兰螺母,两者表面处理方式相同,处理后螺栓与螺母采用6H/6g配合。垫块板厚为3 mm,机械加工后表面粗糙度为3.2 μm,锐角倒钝。
对不同螺栓强度等级、镀层厚度、钝化层、支撑面硬度的螺栓进行拧紧实验,螺栓的扭矩系数分布如下表。

将扭矩系数实验数据制成分图。

不同转速螺栓扭矩系数分布图

不同强度等级螺栓扭矩系数分布图

不同硬度垫块的扭矩系数分布图

不同表面处理螺栓扭矩系数分布图
在实际中,许多问题都涉及多个因素的作用,但是这些因素对所考察的指标影响“是否大”的主要方法是方差分析法。
它的实质是通过分析数据的误差来源,进而检验多个总体的均值是否相同,把实验数据的波动分解为由研究对象的变差和随机因素引起的波动,通过分析比较这些变差来推断这些因素对所考察指标的影响是否显著。
利用MATLAB的ANOVA1函数可以进行各影响因素的F检验。
将螺栓摩擦因数的实验数据进行ANOVA1函数求解,得到计算结果下表所示。

从计算结果可以看出螺栓强度、镀层厚度和钝化层对螺栓摩擦因数影响很大,但是支撑面硬度对螺栓摩擦因数影响不大,不同支撑面硬度进行拧紧实验,摩擦因数均值有24.9%的概率是相等的。
在紧固实验过程中,发现D级钝化层螺栓屈服紧固轴向力要远大于C级钝化层,D级钝化层螺栓与C级钝化层紧固屈服轴向力实验数据均值对比如图所示。

拧紧过程是一个拉扭复合受力的过程,螺栓所受拉应力由转化的紧固轴向力产生,所受扭转剪切应力由螺纹间和支撑面的摩擦扭矩产生。
D级钝化层的螺栓由于表层有一层较软的薄膜层,可以起到薄膜润滑的作用,所以摩擦因数小,对螺栓产生的扭转剪切应力相应小很多,扭矩更多地转化为轴向预紧力。
03
影响摩擦因数的关键因素的控制
从上表的计算数据可以看出,螺栓强度等级、镀层厚度、铬酸盐处理、支撑面硬度对摩擦因数的影响程度是不同的,钝化层处理对螺栓摩擦因数影响最大,支撑面的硬度对摩擦因数的影响最小。
对支撑面的硬度控制是非常困难的,最终对于摩擦因数控制的贡献也不大,是没有意义的,对摩擦因数的控制要抓住重点。
不同场合需要不同特性的螺栓,对于不同强度等级,不同钝化层的螺栓,关系到连接点的受力和防腐性能的要求,不能从螺栓本体特征来进行控制,只需要根据强度等级和钝化层的不同区别对待,通过实验数据测定,使用不同的摩擦因数,对于镀层厚度需要从螺栓本体控制。
传统的紧固件生产并没有考虑镀层和钝化层对扭矩系数的影响,镀层厚度只要大于最低要求就认为是合格的,没有严格控制镀层上限。
实验准备两批螺栓,镀层厚度都要求为5μm,钝化层为c2C,一批要求对镀层厚度进行控制,控制范围为5~7μm,另外一批不进行控制,只要镀层厚度大于5μm就行。
重新进行对比实验,控制前后扭矩系数正态分布密度函数如图8所示。

可以看出,控制螺栓镀层厚度对螺栓扭矩系数的影响不大,控制前扭矩系数均值为0.3785,控制之后扭矩系数均值为0.3612,螺栓扭矩系数略有减小。
但是控制前后扭矩系数的标准差显著减少,控制前扭矩系数的标准差为0.03416,控制后扭矩系数标准差为0.01531,扭矩系数的标准差降低55.18%。
这说明控制镀层厚度可以显著地控制螺栓摩擦因数,这对提高螺栓连接点的可靠性意义重大。
04
知识延伸-表面处理代号
对于电镀的表面处理代号标识一般按照GB/T 5267.1标准,该标准等同于ISO 4042标准。
按照标准要求,电镀表面处理代号分为A类代号和B类代号标记方法。
- A类代号标记如下:

E.2 标记
标记示例:
- 六角头螺栓GB/T 5782 M10X60 8.8
- 电镀锌层(表E.1的A)
- 最小镀层厚度5 μm(表E.2的2)
- 光饰状态为“光亮”并经铭酸盐处理成黄彩虹色(表E.3的L)的标记:六角头螺栓 GB/T 5782 M10X60 8.8 A2L
注1: 如未明确要求最小镀层厚度,则按表E.2,该镀层厚度的标记代号为“0”,例如“AOP”,以便该代号包括在完整的技术要求中。
代号“0”适用于小于M1.6的螺纹零件或其他小零件。
注2: 如要求其他处理,如涂抹油脂或油,则需协议,并在标记中规定。
A类电镀标记代号记为A2L,具体的电镀层厚度等要求需要查找GB/T 5267.1标准中的相应表格,不便于记忆。
- B类似标记代号:
B类标记示例:
- Fe/Zn8c2C (或Fe/Zn8. c2C)
- 其中Fe-金属基体
- Zn-镀层金属
- 8-最小镀层厚度
- c- 铭酸盐处理
- 2-铭酸盐处理等级
- C-铭酸盐处理类型
同样该标识也需要按照标准查找相应的代号对应的中性盐雾试验要求,直接从标识中无法判断出具体的技术要求。

常见标识
以上是标准中的标识要求,还有一种大家比较常见的标识,特别是日韩系主机厂比较常用,例如Fe/Ep.Zn5.c2C,该标识与标准中的B类标识基本一致。
主要是增加了一个Ep的代号,该Ep就是电镀Electro Plating的英文缩写。
其他代号的意思都与标准中的电镀代号一致,不再赘述。
05
螺丝君的总结
一
对摩擦因数进行理论分析,得出拧紧过程中能量的分配比例。
螺栓紧固轴向力对摩擦因数的变化极为敏感,必须进行摩擦因数的控制来提高连接点的可靠性。
二
对不同螺栓强度等级、镀层厚度、铬酸盐处理、支撑面硬度的螺栓进行了拧紧实验,利用单因素分析法进行F检验发现螺栓强度等级、镀层厚度、铬酸盐处理对螺栓扭矩系数影响较大,支撑面硬度对螺栓扭矩系数影响不大。
同时发现D级钝化层镀锌螺栓可以有效提高螺栓紧固轴向力,对于充分发挥螺栓使用效能是很有意义的。
三
不同场合需要不同特性的螺栓,对于影响螺栓摩擦因数的关键因素不能全部从本体特征来进行控制。
对于不同强度等级,不同钝化层的螺栓,只需要根据强度等级和钝化层的不同来区别对待通过实验测定,使用不同的摩擦因数。
对于镀层厚度需要从螺栓本体控制,研究表明控制后螺栓摩擦因数散差显著减小。
今天的话题,就分享到这里;更多详情,请关注微信公众号:GAF螺丝君(GAF-luosijun)