*资料来源于网络
市面上常见的双频路由器支持同时提供2.4GHz 和 5GHz 两个频段的无线Wi-Fi信号,两者的区别主要如下:
2.4GHz 频段 Wi-Fi ,信号穿墙能力强,无线网覆盖范围大,但频宽较窄,速度较慢,连接无线设备较多时易出现拥挤掉线,且干扰较大。
5GHz 频段 Wi-Fi ,传输速度快,无线环境相对稳定,但波长较短,穿墙性能较差,传输距离较短,仅适用于小范围覆盖。
对比传统2.4Ghz 单频无线路由器,双频无线路由器可以充分利用2.4GHz 和 5GHz 两个频段的优势,在信号范围、传输功率、稳定性及抗干扰性等方面表现更出色,而且很多双频路由器还加入双频合一技术,支持路由器为连网设备智能切换适合的Wi-Fi 频段。
下面按照不同频段具体介绍WiFi的使用频段及信道划分。
2.4GHz:
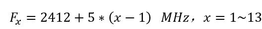
2.4GHz的频率范围为2.4~2.4835GHz,频宽83.5MHz,划分为14个部分重叠的无线载波信道,编号Channel1~14,信道宽度20MHz,中心频率间隔5MHz,信道中心频点始于2.412GHz,各信道中心频率可以用以下公式计算:

需要说明的是,早期的802.11b信道带宽为22MHz,CH14为日本专用信道,中心频点2484MHz,仅用作802.11b。

不同国家使用的信道也不一样,例如美国和加拿大使用CH1~11,欧洲和中国使用CH1~13,日本使用CH1~14。

虽然2.4GHz有14个信道,但是信道之间是有重叠的,实际使用中会存在极大干扰甚至无法通信,因此工作在此频段的无线设备只能使用不重叠信道。2.4G总共有3个不重叠信道,最常用的就是CH1、6、11和CH1、6、13组合。
5GHz:
5GHz的频率范围为5.15~5.85GHz,由4个频段组成:
U-NII-1:5.15~5.25GHz,带宽100MHz
U-NII-2A:5.25~5.35GHz,带 宽100MHz
U-NII-2C:5.470~5.725GHz,带 宽255MHz
U-NII-3:5.725~5.825GHz,带 宽125MHz
U-NII频段划分是美国FCC标准,国内厂商也将上述频段划分称为Band1~4(未找到明确定义出处)。需要说明的是,U-NII-2A和U-NII-2C频段也是气象雷达使用频段,WLAN设备工作于此频段需要支持TPC和DFS功能,后续总结到认证相关知识时细说。
5GHz信道宽度20MHz,中心频率间隔5MHz,信道中心频点始于5180MHz,各信道中心频率可以用以下公式计算:


5G频段不同国家开放的信道也不一样,中国早年仅开放Band1(5.15~5.25GHz)和Band4(5.725~5.825GHz),所以稍早的一些WLAN设备仅支持这两个5G频段,近年来又开放了Band2(5.25~5.35GHz)以便实现160MHz带宽应用。

顺便一说,市面上的双频路由器是指支持2.4GHz和5GHz(可能仅支持Band4,也可能支持Band1/4)频段;三频路由器一般指支持2.4GHz、5.1GHz、5.8GHz频段,5.1GHz和5.8GHz频段支持分别使用一颗WiFi芯片实现,具体做法可以后续聊聊。
6GHz:
6GHz频段在WiFi6E中引入,下一代WiFi7也将支持,频率范围为5.925~7.125GHz,带宽1200MHz,由 4个频段组成:
U-NII-5:5.925~6.425GHz,500MHz
U-NII-6:6.425~6.525GHz,100MHz
U-NII-7:6.525~6.875GHz,350MHz
U-NII-8:6.875~7.125GHz,250MHz
6GHz信道宽度20MHz,中心频率间隔5MHz,信道中心频点始于5955MHz,各信道中心频率可以用以下公式计算:


目前6GHz频段刚开放,美国FCC开放UNII-5~UNII-8使用,欧洲暂时仅开放UNII-5,其余国家和地区暂无明确计划,包括中国。