《空压机培训100课》连载,以问答的形式将空压机行业需要用到的知识归纳总结,呈现给大家。本课程文章均为原创创作或整理。如需转载请注明来源本号,谢谢!
本课程首发《空压机头条》公众号,感兴趣的朋友可以关注一下。
上一课: 空压机100课之008:你不一定都知道的空压机相关专业术语(二)
作为空压机的销售工程师来说,除了必须了解自己公司的产品性能外,本文涉及的一些计算也是必不可少的,否则,你的专业背景将非常苍白。
本文本着“知其然,并知其所以然”的原则进行讲解...
“标方”和“立方”的单位转换推导
1Nm³/min(标方)≈1.07m³/min
那么,这个换算是怎么得来的呢?
关于标方和立方的定义:空压机培训100课之001:与之相关的空气基础理论知识(一)
这两种状态只有温度的区别:标方0℃(273K),立方20℃(293K)
再有,我们要用到“理想气体状态方程”:空压机培训100课之007:空压机相关专业术语及名词解释(一)

两种状态下压力、物质的量、常数均相同,不同的只是温度(热力学温度K)
推导出:V₁/T₁=V₂/T₂(也就是盖·吕萨克定律)。
设:V₁、T₁是标方,V₂、T₂是立方
则:V₁:V₂=T₁:T₂
即:V₁:V₂=273:293
故:V₁≈1.07V₂
结果:1Nm³/min≈1.07m³/min
计算空压机的耗油量
250kW,8公斤,排气量为40m³/min的空压机,含油量为3PPM,则机组运行1000小时理论上耗油多少升?
解答:
▪ 每立方每分钟耗油:
——3×1.2=3.6mg/m3
▪ 40立方每分钟耗油:
——40×3.6/1000=0.144g
▪ 运行1000小时耗油:
——1000×60×0.144=8640g=8.64kg
▪ 换算成体积 8.64/0.8=10.8L
(润滑油的密度约0.8)
以上只是理论耗油,实际当中要大于此值(油分芯过滤持续下降),如按4000小时计算,40立方的空压机则至少跑油40升(两桶)。通常40方空压机每次保养加油约10~12桶(18升/桶),耗油量约20%。
高原气量计算
空压机从平原到高原,计算其排气量:
引用公式:
V₁/V₂=R₂/R₁
V₁=平原地区气量,V₂=高原地区气量
R₁=平原的压缩比,R₂=高原的压缩比
关于“压缩比”参见:空压机培训100课之007:空压机相关专业术语及名词解释(一)
例:空压机110kW,排气压力8bar,容积流量20m³/min,该机型在海拔2000米的高度的排气量为多少?(2000米时的大气压假定为0.85bar,真实计算时可查阅海拔对应的大气压表)
解:根据公式 V₁/V₂=R₂/R₁
(标号1为平原,2为高原)
V₂=V₁R₁/R₂
R₁=9/1=9
R₂=(8+0.85)/0.85=10.4
V₂=20×9/10.4=17.3m³/min
则:该机型在海拔2000米的高度的排气量为17.3m³/min,意味着这台空压机在高原地区使用的话,排气量有明显衰减。
所以,如高原地区客户需求某一定量的压缩空气,需要注意我们的空压机排气量高海拔衰减后是否能满足要求。
与此同时,很多提出需求的客户,尤其经设计院设计的,还总喜欢使用Nm³/min的单位,需注意转换后再计算。
空压机充罐时间的计算
空压机充满一个储气罐要多长时间?虽然这样计算并没有什么太大的用,相当不准确,最多只能算一个近似值。但很多用户出于对空压机实际排气量的怀疑,还是愿意尝试这种方法,所以这种计算的场景也还是挺多的。
首先是这种计算的原理:实际也就是两种气体状态的体积转换。
其次是这种计算误差大的原因:一是某些必要的数据现场根本没有条件测量,例如温度,所以只能忽略;二是测量的实际操作性无法精确,如空压机需满载时切换到充罐状态。
但是,即便如此,有需求的话我们还是要知道是怎么个计算法:
例:10m³/min,8bar的空压机多长时间可以将一个2m³的储气罐充满?
说明:什么叫充满?就是说空压机后接2立方的储气罐,储气罐的排气端阀门关闭,直到空压机打到8bar卸载,储气罐表压也为8公斤。这段时间需要多长?
注意:这个时间需要从空压机开始加载算起,不能包括前面星三角转换,或者变频机升频的过程。这就是为什么说现场实际操作无法精确的原因。如果空压机后接管道有旁通,在空压机满载状态快速切换到充储气罐的管路,误差将小一些。
首先是最简单的方法(估算):
在不考虑温度的情况下:
p₁V₁=p₂V₂(波义耳-马略特定律)
通过这个式子发现,气体体积变化的大小实际就是压缩比。
则:t=V₁/(V₂/R)min
(标号1为储气罐容积,2为空压机容积流量)
t=2m³/(10m³/9)min=1.8min
充满约需1.8分钟,即约1分48秒。
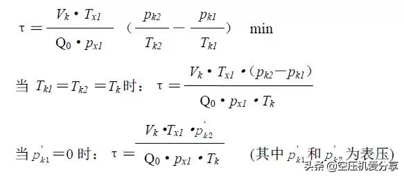
其次是稍微复杂的方法:

其中:
Q0-未计及冷凝水的压缩机容积流量m3/min;
Vk-储气罐容积m3;
τ-充气时间min;
px1-压缩机吸气压力MPa;
Tx1-压缩机吸气温度K;
pk1-充气开始时储气罐内气体压力MPa;
pk2-充气终止,热平衡后储气罐内气体压力MPa;
Tk1-充气开始时储气罐内气体温度K;
Tk2-充气终止,热平衡后储气罐内气体温度K;
Tk -储气罐内气体温度K。
气动工具耗气量计算
各气动装置在断续工作时(即时用时停)的气源系统耗气量计算方法:
Q=0.5ψ×K1×K2×K3×Qmax m³/min
其中:
Qmax-实际需要的最大耗气量。
ψ-利用系数。
它考虑到全部气动设备不会同时使用的系数,经验值0.95~0.65,一般情况下气动设备数目越多,则同时使用的情况愈少,其值就小,反之其值就大。2台设备取0.95,4台设备取0.9,6台设备取0.85,8台设备取0.8,10台以上设备取0.65。
K1-漏损系数,值在1.2~1.5范围内选取。
K2-备用系数,值在1.2~1.6范围内选取。
K3-不平均系数
它考虑气源系统中按平均耗气量计算中有不平均的因素存在,为保证其最大使用量而设,其值在1.2~1.4范围内选取。
气量不足时,计算气量差额
由于用气设备增加导致供气量不足,欲维持额定的工作压力需增加多大的空压机才可以满足。
公式:

其中:
Q实-实际状态下系统所需的空压机流量;
Q原-原使用的空压机容积流量;
P实-实际状况下所能达到的压力MPa;
P原-原使用所能达到的工作压力MPa;
ΔQ-需增加的容积流量(m3/min)。
例:原有空压机为10立方8公斤,用户增加设备目前空压机压力只能打到5公斤,问,需要增加至少多大的空压机才能满足8公斤的用气需求。

△Q=10*(0.8-0.5)/(0.5+0.1013)
≈4.99m³/min
故:需要至少排气量为4.99立方8公斤的空压机。
实际上此一公式的原理是:通过计算距目标压力的差额,占当前压力的比例。此比例套用到当前所用空压机的流量,即得出距目标流量的值。
来源:空压机头条
《009课》完
如果你喜欢,请关注我,以便接收最新课程更新!