
提起陀螺仪,相信很多人都不陌生,几乎每一款智能手机都装有陀螺仪.手机导航、AR扫描、手机游戏(例如:VR实景、都市赛车、现代战争等)等都离不开它, 它已经和人们的生活、工作密不可分. 利用陀螺仪人们可以精准的分析判断出物体在三维空间中的运动情况(包括位移和旋转),而这些功能的实现离不开数学上的一种代数结构--四元数体.

我们知道,一个质点在一维空间中的移动包括左平移和右平移,它可以用实数的加减运算完美地表示. 但是我们无法用实数来描述质点在二维空间中的运动,因为在二维空间中,质点的运动方式除了平移之外还有旋转. 然而,如果我们将实数域扩大到复数域,复数乘、除恰好可以用来描述质点的旋转,从而建立了复数运算与二维空间中质点运动完美匹配. 那么复数是否可以描述三维空间中的质点运动呢?按照前面的思路, 我们自然想到将复数域扩大,得到一个“三维复数”来描述质点在三维空间中的运动. 然而事实证明“三维复数”只能描述质点在三维空间中的平移而不能实现旋转. 因此,这种做法是行不通的.
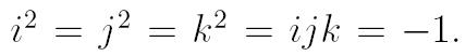
经过不懈地努力, 数学家也发现表示三维空间向量的三维复数域是不存在的. 但是,英国数学家Hamilton在1843年10月16日找到了“四维复数”,它可以精确描述质点在三维空间中的运动. 原来,就在他与自己的妻子散步时,突然得到了解决问题的灵感. 他是如此的兴奋,以至于把四元数的公式刻在了都柏林的一座桥上,桥上刻着的规则为

但是那个桥已经不在那里了,不过现在那里有一块牌子来纪念他发现四元数法则,每年都柏林附近的数学家都会来此朝圣.




复数是实数的推广,并且包含了实数所具备的所有代数性质. 而四元数可以看作复数的推广,但是四元数却损失了复数的一个代数性质----乘法交换律. 基于上述思路,四元数也可以推广到八元数,即``八维的复数",并建立相应的代数结构.但是人们发现,随着维数的增加,运算走向抽象化,使得复数系的推广损失了一些最基本的代数性质.因此运算的层层深入反而可能适得其反,八元数所发挥的作用并不如四元数那样尽如人意,而十六元数更是如此.
Hamilton根据四元数及其性质在代数学上首次提出了非交换代数的概念,这一工作对于代数学产生的冲击丝毫不亚于非欧几何出现时对欧式几何学的巨大冲击.在这一思想的影响下,向量代数和向量分析的理论出现了,各种非交换代数,非结合代数的理论也相继出现. 人们高度赞誉Hamilton的工作,把他创立的四元数称为“代数学的独立宣言”.