1.0.1 为了贯彻执行国家的技术经济政策,坚持墙材革新、因地制宜、就地取材,合理选用结构方案和砌体材料,做到技术先进、安全适用、经济合理、确保质量,制定本规范。
1.0.2 本规范适用于建筑工程的下列砌体结构设计,特殊条件下或有特殊要求的应按专门规定进行设计: 1 砖砌体:包括烧结普通砖、烧结多孔砖、蒸压灰砂普通砖、蒸压粉煤灰普通砖、混凝土普通砖、混凝土多孔砖的无筋和配筋砌体; 2 砌块砌体:包括混凝土砌块、轻集料混凝土砌块的无筋和配筋砌体; 3 石砌体:包括各种料石和毛石的砌体。
1.0.3 本规范根据现行国家标准《建筑结构可靠度设计统一标准》GB 50068规定的原则制订。设计术语和符号按照现行国家标准《建筑结构设计术语和符号标准》GB/T 50083的规定采用。
1.0.4 按本规范设计时,荷载应按现行国家标准《建筑结构荷载规范》GB 50009的规定执行;墙体材料的选择与应用应按现行国家标准《墙体材料应用统一技术规范》GB 50574的规定执行;混凝土材料的选择应符合现行国家标准《混凝土结构设计规范》GB 50010的要求;施工质量控制应符合现行国家标准《砌体结构工程施工质量验收规范》GB 50203、《混凝土结构工程施工质量验收规范》GB 50204的要求;结构抗震设计应符合现行国家标准《建筑抗震设计规范》GB 50011的有关规定。
1.0.5 砌体结构设计除应符合本规范规定外,尚应符合国家现行有关标准的规定。
2 术语和符号
2.1 术语
2.1.1 砌体结构 masonry structure 由块体和砂浆砌筑而成的墙、柱作为建筑物主要受力构件的结构。是砖砌体、砌块砌体和石砌体结构的统称。
2. 1. 2 配筋砌体结构 reinforced masonry structure 由配置钢筋的砌体作为建筑物主要受力构件的结构。是网状配筋砌体柱、水平配筋砌体墙、砖砌体和钢筋混凝土面层或钢筋砂浆面层组合砌体柱(墙)、砖砌体和钢筋混凝土构造柱组合墙和配筋砌块砌体剪力墙结构的统称。
2.1.3 配筋砌块砌体剪力墙结构 reinforced concrete masonry shear wall structure 由承受竖向和水平作用的配筋砌块砌体剪力墙和混凝土楼、屋盖所组成的房屋建筑结构。
2.1.4 烧结普通砖 fired common brick 由煤矸石、页岩、粉煤灰或黏土为主要原料,经过焙烧而成的实心砖。分烧结煤矸石砖、烧结页岩砖、烧结粉煤灰砖、烧结黏土砖等。
2.1.5 烧结多孔砖 fired perforated brick 以煤矸石、页岩、粉煤灰或黏土为主要原料,经焙烧而成、孔洞率不大于35%,孔的尺寸小而数量多,主要用于承重部位的砖。
2.1.6 蒸压灰砂普通砖 autoclaved sand—lime brick 以石灰等钙质材料和砂等硅质材料为主要原料,经坯料制备、压制排气成型、高压蒸汽养护而成的实心砖。
2.1.7 蒸压粉煤灰普通砖 autoclaved flyash—lime brick 以石灰、消石灰(如电石渣)或水泥等钙质材料与粉煤灰等硅质材料及集料(砂等)为主要原料,掺加适量石膏,经坯料制备、压制排气成型、高压蒸汽养护而成的实心砖。
2.1.8 混凝土小型空心砌块 concrete small hollow block 由普通混凝土或轻集料混凝土制成,主规格尺寸为390mm×190mm×190mm、空心率为25%~50%的空心砌块。简称混凝土砌块或砌块。
2.1.9 混凝土砖 concrete brick 以水泥为胶结材料,以砂、石等为主要集料,加水搅拌、成型、养护制成的一种多孔的混凝土半盲孔砖或实心砖。多孔砖的主规格尺寸为240mm×115mm×90mm、240mm×190mm×90mm、190mm×190mm×90mm等;实心砖的主规格尺寸为240mm×115mm×53mm、240mmx×115mm×90mm等。
2.1.10 混凝土砌块(砖)专用砌筑砂浆 mortar for concrete small hollow block 由水泥、砂、水以及根据需要掺入的掺和料和外加剂等组分,按一定比例,采用机械拌和制成,专门用于砌筑混凝土砌块的砌筑砂浆。简称砌块专用砂浆。
2.1.11 混凝土砌块灌孔混凝土 grout for concrete small hollow block 由水泥、集料、水以及根据需要掺入的掺和料和外加剂等组分,按一定比例,采用机械搅拌后,用于浇注混凝土砌块砌体芯柱或其他需要填实部位孔洞的混凝土。简称砌块灌孔混凝土。
2.1.12 蒸压灰砂普通砖、蒸压粉煤灰普通砖专用砌筑砂浆 mortar for autoclaved silicate brick 由水泥、砂、水以及根据需要掺入的掺和料和外加剂等组分,按一定比例,采用机械拌和制成,专门用于砌筑蒸压灰砂砖或蒸压粉煤灰砖砌体,且砌体抗剪强度应不低于烧结普通砖砌体的取值的砂浆。
2.1.13 带壁柱墙 pilastered wall 沿墙长度方向隔一定距离将墙体局部加厚,形成的带垛墙体。
2.1.14 混凝土构造柱 structural concrete column 在砌体房屋墙体的规定部位,按构造配筋,并按先砌墙后浇灌混凝土柱的施工顺序制成的混凝土柱。通常称为混凝土构造柱,简称构造柱。
2.1.15 圈梁 ring beam 在房屋的檐口、窗顶、楼层、吊车梁顶或基础顶面标高处,沿砌体墙水平方向设置封闭状的按构造配筋的混凝土梁式构件。
2.1.16 墙梁 wall beam 由钢筋混凝土托梁和梁上计算高度范围内的砌体墙组成的组合构件。包括简支墙梁、连续墙梁和框支墙梁。
2.1.17 挑梁 cantilever beam 嵌固在砌体中的悬挑式钢筋混凝土梁。一般指房屋中的阳台挑梁、雨篷挑梁或外廊挑梁。
2.1.18 设计使用年限 design working life 设计规定的时期。在此期间结构或结构构件只需进行正常的维护便可按其预定的目的使用,而不需进行大修加固。
2.1.19 房屋静力计算方案 static analysis scheme of building 根据房屋的空间工作性能确定的结构静力计算简图。房屋的静力计算方案包括刚性方案、刚弹性方案和弹性方案。
2.1.20 刚性方案 rigid analysis scheme 按楼盖、屋盖作为水平不动铰支座对墙、柱进行静力计算的方案。
2.1.21 刚弹性方案 rigid—elastic analysis scheme 按楼盖、屋盖与墙、柱为铰接,考虑空间工作的排架或框架对墙、柱进行静力计算的方案。
2.1.22 弹性方案 elastic analysis scheme 按楼盖、屋盖与墙、柱为铰接,不考虑空间工作的平面排架或框架对墙、柱进行静力计算的方案。
2.1.23 上柔下刚多层房屋 upper flexible and lower rigid complex multistorey building 在结构计算中,顶层不符合刚性方案要求,而下面各层符合刚性方案要求的多层房屋。
2.1.24 屋盖、楼盖类别 types of roof or floor structure 根据屋盖、楼盖的结构构造及其相应的刚度对屋盖、楼盖的分类。根据常用结构,可把屋盖、楼盖划分为三类,而认为每一类屋盖和楼盖中的水平刚度大致相同。
2.1.25 砌体墙、柱高厚比 ratio of height to sectional thickness of wall or column 砌体墙、柱的计算高度与规定厚度的比值。规定厚度对墙取墙厚,对柱取对应的边长,对带壁柱墙取截面的折算厚度。
2.1.26 梁端有效支承长度 effective support length of beam end 梁端在砌体或刚性垫块界面上压应力沿梁跨方向的分布长度。
2.1.27 计算倾覆点 calculating overturning point 验算挑梁抗倾覆时,根据规定所取的转动中心。
2.1.28 伸缩缝 expansion and contraction joint 将建筑物分割成两个或若干个独立单元,彼此能自由伸缩的竖向缝。通常有双墙伸缩缝、双柱伸缩缝等。
2.1.29 控制缝 control joint 将墙体分割成若干个独立墙肢的缝,允许墙肢在其平面内自由变形,并对外力有足够的抵抗能力。
2.1.30 施工质量控制等级 category of construction quality control 根据施工现场的质保体系、砂浆和混凝土的强度、砌筑工人技术等级综合水平划分的砌体施工质量控制级别。
2.1.31 约束砌体构件 confined masonry member 通过在无筋砌体墙片的两侧、上下分别设置钢筋混凝土构造柱、圈梁形成的约束作用提高无筋砌体墙片延性和抗力的砌体构件。
2.1.32 框架填充墙 infilled wall in concrete frame structure 在框架结构中砌筑的墙体。
2.1.33 夹心墙 cavity wall with insulation 墙体中预留的连续空腔内填充保温或隔热材料,并在墙的内叶和外叶之间用防锈的金属拉结件连接形成的墙体。
2.1.34 可调节拉结件 adjustable tie 预埋在夹心墙内、外叶墙的灰缝内,利用可调节特性,消除内外叶墙因竖向变形不一致而产生的不利影响的拉结件。
2.2 符号
2.2.1 材料性能MU——块体的强度等级;M——普通砂浆的强度等级;Mb——混凝土块体(砖)专用砌筑砂浆的强度等级;Ms——蒸压灰砂普通砖、蒸压粉煤灰普通砖专用砌筑砂浆的强度等级;C——混凝土的强度等级;Cb——混凝土砌块灌孔混凝土的强度等级;f1——块体的抗压强度等级值或平均值;f2——砂浆的抗压强度平均值;f、fk——砌体的抗压强度设计值、标准值;fg——单排孔且对穿孔的混凝土砌块灌孔砌体抗压强度设计值(简称灌孔砌体抗压强度设计值);fvg——单排孔且对穿孔的混凝土砌块灌孔砌体抗剪强度设计值(简称灌孔砌体抗剪强度设计值);ft、ft,k——砌体的轴心抗拉强度设计值、标准值;ftm、ftm,k——砌体的弯曲抗拉强度设计值、标准值;fv、fv,k——砌体的抗剪强度设计值、标准值;fVE——砌体沿阶梯形截面破坏的抗震抗剪强度设计值;fn——网状配筋砖砌体的抗压强度设计值;fy、f'y——钢筋的抗拉、抗压强度设计值;fc——混凝土的轴心抗压强度设计值;E ——砌体的弹性模量;Ec——混凝土的弹性模量;G——砌体的剪变模量。
2.2.2 作用和作用效应N ——轴向力设计值;Nl——局部受压面积上的轴向力设计值、梁端支承压力;N0——上部轴向力设计值;Nt——轴心拉力设计值;M——弯矩设计值;Mr——挑梁的抗倾覆力矩设计值;Mov——挑梁的倾覆力矩设计值;V ——剪力设计值;F1——托梁顶面上的集中荷载设计值;Q1——托梁顶面上的均布荷载设计值;Q2——墙梁顶面上的均布荷载设计值;σ0——水平截面平均压应力。
2.2.3 几何参数A——截面面积;A b——垫块面积;A c——混凝土构造柱的截面面积;A l——局部受压面积;A n——墙体净截面面积;A 0——影响局部抗压强度的计算面积;A s、A′ s——受拉、受压钢筋的截面面积;a ——边长、梁端实际支承长度距离;a i——洞口边至墙梁最近支座中心的距离;a 0——梁端有效支承长度;a s、a′ s——纵向受拉、受压钢筋重心至截面近边的距离;b ——截面宽度、边长;b c——混凝土构造柱沿墙长方向的宽度;b f——带壁柱墙的计算截面翼缘宽度、翼墙计算宽度;b′ f——T形、倒L形截面受压区的翼缘计算宽度;b s——在相邻横墙、窗间墙之间或壁柱间的距离范围内的门窗洞口宽度;c、d——距离;e——轴向力的偏心距;H——墙体高度、构件高度;H i——层高;H 0——构件的计算高度、墙梁跨中截面的计算高度;h ——墙厚、矩形截面较小边长、矩形截面的轴向力偏心方向的边长、截面高度;h b——托梁高度;h 0——截面有效高度、垫梁折算高度;h T——T形截面的折算厚度;h w——墙体高度、墙梁墙体计算截面高度;l ——构造柱的间距;l 0——梁的计算跨度;l n——梁的净跨度;I——截面惯性矩;i——截面的回转半径;s ——间距、截面面积矩;x 0——计算倾覆点到墙外边缘的距离;u max——最大水平位移;W——截面抵抗矩;y——截面重心到轴向力所在偏心方向截面边缘的距离;z——内力臂。
2.2.4 计算系数
α——砌块砌体中灌孔混凝土面积和砌体毛面积比值、修正系数、系数;
αM——考虑墙梁组合作用的托梁弯矩系数;
β——构件的高厚比;
[β]——墙、柱的允许高厚比;
βV——考虑墙组合作用的托梁剪力系数;
γ——砌体局部抗压强度提高系数;
γa——调整系数;
γf——结构构件材料性能分项系数;
γ 0——结构重要性数;
γRE——承载力抗震调整系数;
γG——永久荷载分项系数;
δ——混凝土砌块的孔洞率、系数;
ζ——托梁支座上部砌体局压系数;
ζc——芯信参与工作系数;
ζs---钢筋参与工作系数;
ηi——房屋空间性能影响系数;
ηc——墙约束修正系数;
ηN——考虑墙梁组合作用的托梁跨中轴力系数;
λ——计算截面的剪跨比;
µ——修正系数、剪压复合受力影响系数;
µ1——自承重墙允许高厚比的修正系数;
µ2——有门窗洞口墙允许高厚比的修正系数;
µc——设构造柱墙体允许高厚比提高系数;
ε——截面受压区相对高度、系数;
εb——受压区相对高度的界限值;
ε1——翼墙或构造柱对墙梁墙体受剪承载力影响系数;
ε2——洞口对墙梁墙体受剪承载力影响系数;
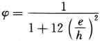
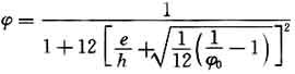
ρ——混凝土砌块砌体的灌孔率、配筋率;ρs ——按层间墙体竖向截面计算的水平钢筋面积率;φ——承载力的影响系数、系数;φn ——网状配筋砖砌体构件的承载力的影响系数;φ0 ——轴心受压构件的稳定系数;φcom ——组合砖砌体构件的稳定系数;ψ——折减系数;ψM——洞口对托梁弯矩的影响系数。
3 材料
3.1 材料强度等级
3.1.1 承重结构的块体的强度等级,应按下列规定采用: 1 烧结普通砖、烧结多孔砖的强度等级:MU30、MU25、MU20、MU15和MU10; 2 蒸压灰砂普通砖、蒸压粉煤灰普通砖的强度等级:MU25、MU20和MU15; 3 混凝土普通砖、混凝土多孔砖的强度等级:MU30、MU25、MU20和MU15; 4 混凝土砌块、轻集料混凝土砌块的强度等级:MU20、MU15、MU10、MU7.5和MU5; 5 石材的强度等级:MU100、MU80、MU60、MU50、MU40、MU30和MU20。 注:1 用于承重的双排孔或多排孔轻集料混凝土砌块砌体的孔洞率不应大于35%; 2 对用于承重的多孔砖及蒸压硅酸盐砖的折压比限值和用于承重的非烧结材料多孔砖的孔洞率、壁及肋尺寸限值及碳化、软化性能要求应符合现行国家标准《墙体材料应用统一技术规范》GB 50574的有关规定; 3 石材的规格、尺寸及其强度等级可按本规范附录A的方法确定。
3.1.2 自承重墙的空心砖、轻集料混凝土砌块的强度等级,应按下列规定采用: 1 空心砖的强度等级:MU10、MU7.5、MU5和MU3.5; 2 轻集料混凝土砌块的强度等级:MU10、MU7.5、MU5和MU3.5。
3.1.3 砂浆的强度等级应按下列规定采用: 1 烧结普通砖、烧结多孔砖、蒸压灰砂普通砖和蒸压粉煤灰普通砖砌体采用的普通砂浆强度等级:M15、M10、M7.5、M5和M2.5;蒸压灰砂普通砖和蒸压粉煤灰普通砖砌体采用的专用砌筑砂浆强度等级:Ms15、Ms10、Ms7.5、Ms5.0; 2 混凝土普通砖、混凝土多孔砖、单排孔混凝土砌块和煤矸石混凝土砌块砌体采用的砂浆强度等级:Mb20、Mb15、Mb10、Mb7.5和Mb5; 3 双排孔或多排孔轻集料混凝土砌块砌体采用的砂浆强度等级:Mb10、Mb7.5和Mb5; 4 毛料石、毛石砌体采用的砂浆强度等级:M7.5、M5和M2.5。 注:确定砂浆强度等级时应采用同类块体为砂浆强度试块底模。
3.2 砌体的计算指标
3.2.1 龄期为28d的以毛截面计算的砌体抗压强度设计值,当施工质量控制等级为B级时,应根据块体和砂浆的强度等级分别按下列规定采用: 1 烧结普通砖、烧结多孔砖砌体的抗压强度设计值,应按表3.2.1—1采用。
表3.2.1—1 烧结普通砖和烧结多孔砖砌体的抗压强度设计值(MPa)
|
砖强度等级 |
砂浆强度等级 |
砂浆强度 |
||||
|
M15 |
M10 |
M7.5 |
M5 |
M2.5 |
0 |
|
|
MU30 |
3.94 |
3.27 |
2.93 |
2.59 |
2.26 |
1.15 |
|
MU25 |
3.60 |
2.98 |
2.68 |
2.37 |
2.06 |
1.05 |
|
MU20 |
3.22 |
2.67 |
2.39 |
2.12 |
1.84 |
0.94 |
|
MU15 |
2.79 |
2.31 |
2.07 |
1.83 |
1.60 |
0.82 |
|
MU10 |
— |
1.89 |
1.69 |
1.50 |
1.30 |
0.67 |
注:当烧结多孔砖的孔洞率大于30%时,表中数值应乘以0.9。
2 混凝土普通砖和混凝土多孔砖砌体的抗压强度设计值,应按表3.2.1—2采用。
表3.2.1—2 混凝土普通砖和混凝土多孔砖砌体的抗压强度设计值(MPa)
|
砖强度等级 |
砂浆强度等级 |
砂浆强度 |
||||
|
Mb20 |
Mb15 |
Mb10 |
Mb7.5 |
Mb5 |
0 |
|
|
MU30 |
4.61 |
3.94 |
3.27 |
2.93 |
2.59 |
1.15 |
|
MU25 |
4.21 |
3.60 |
2.98 |
2.68 |
2.37 |
1.05 |
|
MU20 |
3.77 |
3.22 |
2.67 |
2.39 |
2.12 |
0.94 |
|
MU15 |
— |
2.79 |
2.31 |
2.07 |
1.83 |
0.82 |
3 蒸压灰砂普通砖和蒸压粉煤灰普通砖砌体的抗压强度设计值,应按表3.2.1—3采用。
表3.2.1—3 蒸压灰砂普通砖和蒸压粉煤灰普通砖砌体的抗压强度设计值(MPa)
|
砖强度等级 |
砂浆强度等级 |
砂浆强度 |
|||
|
M15 |
M10 |
M7.5 |
M5 |
0 |
|
|
MU25 |
3.60 |
2.98 |
2.68 |
2.37 |
1.05 |
|
MU20 |
3.22 |
2.67 |
2.39 |
2.12 |
0.94 |
|
MU15 |
2.79 |
2.31 |
2.07 |
1.83 |
0.82 |
注:当采用专用砂浆砌筑时,其抗压强度设计值按表中数值采用。
4 单排孔混凝土砌块和轻集料混凝土砌块对孔砌筑砌体的抗压强度设计值,应按表3.2.1—4采用。
表3.2.1—4 单排孔混凝土砌块和轻集料混凝土砌块对孔砌筑砌体的抗压强度设计值(MPa)
|
砌块强度 等级 |
砂浆强度等级 |
砂浆强度 |
||||
|
Mb20 |
Mb15 |
Mb10 |
Mb7.5 |
Mb5 |
0 |
|
|
MU20 |
6.30 |
5.68 |
4.95 |
4.44 |
3.94 |
2.33 |
|
MU15 |
— |
4.61 |
4.02 |
3.61 |
3.20 |
1.89 |
|
MU10 |
— |
— |
2.79 |
2.50 |
2.22 |
1.31 |
|
MU7.5 |
— |
— |
— |
1.93 |
1.71 |
1.01 |
|
MU5 |
— |
— |
— |
— |
1.19 |
0.70 |
注:1 对独立柱或厚度为双排组砌的砌块砌体,应按表中数值乘以0.7; 2 对T形截面墙体、柱,应按表中数值乘以0.85。 5 单排孔混凝土砌块对孔砌筑时,灌孔砌体的抗压强度设计值fg应按下列方法确定: 1) 混凝土砌块砌体的灌孔混凝土强度等级不应低于Cb20,且不应低于1.5倍的块体强度等级。灌孔混凝土强度指标取同强度等级的混凝土强度指标。 2) 灌孔混凝土砌块砌体的抗压强度设计值fg,应按下列公式计算:
fg=f+0.6afc [3.2.1-1]a=δρ (3.2.1-2)
式中:fg——灌孔混凝土砌块砌体的抗压强度设计值,该值不应大于未灌孔砌体抗压强度设计值的2倍; f——未灌孔混凝土砌块砌体的抗压强度设计值,应按表3.2.1—4采用; fc——灌孔混凝土的轴心抗压强度设计值; α——混凝土砌块砌体中灌孔混凝土面积与砌体毛面积的比值; δ——混凝土砌块的孔洞率; ρ——混凝土砌块砌体的灌孔率,系截面灌孔混凝土面积与截面孔洞面积的比值,灌孔率应根据受力或施工条件确定,且不应小于33%。 6 双排孔或多排孔轻集料混凝土砌块砌体的抗压强度设计值,应按表3.2.1—5采用。
表3.2.1—5 双排孔或多排孔轻集料混凝土砌块砌体的抗压强度设计值(MPa)
|
砌块强度等级 |
砂浆强度等级 |
砂浆强度 |
||
|
Mb10 |
Mb7.5 |
Mb5 |
0 |
|
|
MU10 |
3.08 |
2.76 |
2.45 |
1.44 |
|
MU7.5 |
— |
2.13 |
1.88 |
1.12 |
|
MU5 |
— |
— |
1.31 |
0.78 |
|
MU3.5 |
— |
— |
0.95 |
0.56 |
注:1 表中的砌块为火山渣、浮石和陶粒轻集料混凝土砌块; 2 对厚度方向为双排组砌的轻集料混凝土砌块砌体的抗压强度设计值,应按表中数值乘以0.8。
7 块体高度为180mm~350mm的毛料石砌体的抗压强度设计值,应按表3.2.1—6采用。表3.2.1—6 毛料石砌体的抗压强度设计值(MPa)
|
毛料石强度等级 |
砂浆强度等级 |
砂浆强度 |
||
|
M7.5 |
M5 |
M2.5 |
0 |
|
|
MU100 |
5.42 |
4.80 |
4.18 |
2.13 |
|
MU80 |
4.85 |
4.29 |
3.73 |
1.91 |
|
MU60 |
4.20 |
3.71 |
3.23 |
1.65 |
|
MU50 |
3.83 |
3.39 |
2.95 |
1.51 |
|
MU40 |
3.43 |
3.04 |
2.64 |
1.35 |
|
MU30 |
2.97 |
2.63 |
2.29 |
1.17 |
|
MU20 |
2.42 |
2.15 |
1.87 |
0.95 |
注:对细料石砌体、粗料石砌体和干砌勾缝石砌体,表中数值应分别乘以调整系数1.4、1.2和0.8。
8 毛石砌体的抗压强度设计值,应按表3.2.1—7采用。
表3.2.1—7 毛石砌体的抗压强度设计值(MPa)
|
毛石强度等级 |
砂浆强度等级 |
砂浆强度 |
||
|
M7.5 |
M5 |
M2.5 |
0 |
|
|
MU100 |
1.27 |
1.12 |
0.98 |
0.34 |
|
MU80 |
1.13 |
1.00 |
0.87 |
0.30 |
|
MU60 |
0.98 |
0.87 |
0.76 |
0.26 |
|
MU50 |
0.90 |
0.80 |
0.69 |
0.23 |
|
MU40 |
0.80 |
0.71 |
0.62 |
0.21 |
|
MU30 |
0.69 |
0.61 |
0.53 |
0.18 |
|
MU20 |
0.56 |
0.51 |
0.44 |
0.15 |
3.2.2 龄期为28d的以毛截面计算的各类砌体的轴心抗拉强度设计值、弯曲抗拉强度设计值和抗剪强度设计值,应符合下列规定: 1 当施工质量控制等级为B级时,强度设计值应按表3.2.2采用:
表3.2.2 沿砌体灰缝截面破坏时砌体的轴心抗拉强度设计值、弯曲抗拉强度设计值和抗剪强度设计值(MPa)

注:1 对于用形状规则的块体砌筑的砌体,当搭接长度与块体高度的比值小于1时,其轴心抗拉强度设计值ft和弯曲抗拉强度设计值ftm应按表中数值乘以搭接长度与块体高度比值后采用; 2 表中数值是依据普通砂浆砌筑的砌体确定,采用经研究性试验且通过技术鉴定的专用砂浆砌筑的蒸压灰砂普通砖、蒸压粉煤灰普通砖砌体,其抗剪强度设计值按相应普通砂浆强度等级砌筑的烧结普通砖砌体采用; 3 对混凝土普通砖、混凝土多孔砖、混凝土和轻集料混凝土砌块砌体,表中的砂浆强度等级分别为:≥Mb10、Mb7.5及Mb5。 2 单排孔混凝土砌块对孔砌筑时,灌孔砌体的抗剪强度设计值fvg,应按下式计算:

[3.2.2]
式中:fg——灌孔砌体的抗压强度设计值(MPa)。
3.2.3 下列情况的各类砌体,其砌体强度设计值应乘以调整系数γa: 1 对无筋砌体构件,其截面面积小于0.3m2时,γa为其截面面积加0.7;对配筋砌体构件,当其中砌体截面面积小于0.2m2时,γa为其截面面积加0.8;构件截面面积“m2”计; 2 当砌体用强度等级小于M5.0的水泥砂浆砌筑时,对第3.2.1条各表中的数值,γa为0.9;对第3.2.2条表3.2.2中数值,γa为0.8; 3 当验算施工中房屋的构件时,γa为1.1。
3.2.4 施工阶段砂浆尚未硬化的新砌砌体的强度和稳定性,可按砂浆强度为零进行验算。对于冬期施工采用掺盐砂浆法施工的砌体,砂浆强度等级按常温施工的强度等级提高一级时,砌体强度和稳定性可不验算。配筋砌体不得用掺盐砂浆施工。
3.2.5 砌体的弹性模量、线膨胀系数和收缩系数、摩擦系数分别按下列规定采用。砌体的剪变模量按砌体弹性模量的0.4倍采用。烧结普通砖砌体的泊松比可取0.15。 1 砌体的弹性模量,按表3.2.5—1采用:
表3.2.5—1 砌体的弹性模量(MPa)
|
砌体种类 |
砂浆强度等级 |
|||
|
≥M10 |
M7.5 |
M5 |
M2.5 |
|
|
烧结普通砖、烧结多孔砖砌体 |
1600f |
1600f |
1600f |
1390f |
|
混凝土普通砖、混凝土多孔砖砌体 |
1600f |
1600f |
1600f |
— |
|
蒸压灰砂普通砖、蒸压粉煤灰普通砖砌体 |
1060f |
1060f |
1060f |
— |
|
非灌孔混凝土砌块砌体 |
1700f |
1600f |
1500f |
— |
|
粗料石、毛料石、毛石砌体 |
— |
5650 |
4000 |
2250 |
|
细料石砌体 |
— |
17000 |
12000 |
6750 |
注:1 轻集料混凝土砌块砌体的弹性模量,可按表中混凝土砌块砌体的弹性模量采用; 2 表中砌体抗压强度设计值不按3. 2.3条进行调整; 3 表中砂浆为普通砂浆,采用专用砂浆砌筑的砌体的弹性模量也按此表取值; 4 对混凝土普通砖、混凝土多孔砖、混凝土和轻集料混凝土砌块砌体,表中的砂浆强度等级分别为:≥Mb10、Mb7.5及Mb5; 5 对蒸压灰砂普通砖和蒸压粉煤灰普通砖砌体,当采用专用砂浆砌筑时,其强度设计值按表中数值采用。 2 单排孔且对孔砌筑的混凝土砌块灌孔砌体的弹性模量,应按下列公式计算:
E = 2000fg [3.2.5]
式中:fg——灌孔砌体的抗压强度设计值。 3 砌体的线膨胀系数和收缩率,可按表3.2.5—2采用。
表3.2.5—2 砌体的线膨胀系数和收缩率
|
砌体类别 |
线膨胀系数(10—6/℃) |
收缩率(mm/m) |
|
烧结普通砖、烧结多孔砖砌体 |
5 |
—0.1 |
|
蒸压灰砂普通砖、蒸压粉煤灰普通砖砌体 |
8 |
—0.2 |
|
混凝土普通砖、混凝土多孔砖、混凝土砌块砌体 |
10 |
—0.2 |
|
轻集料混凝土砌块砌体 |
10 |
—0.3 |
|
料石和毛石砌体 |
8 |
— |
注:表中的收缩率系由达到的收缩允许标准的块体砌筑28d的砌体收缩系数。当地方有可靠的砌体收缩试验数据时,亦可采用当地的试验数据。
4 砌体的摩擦系数,可按表3. 2. 5—3采用。
表3.2.5—3 砌体的摩擦系数
|
材料类别 |
摩擦面情况 |
|
|
干 燥 |
潮 湿 |
|
|
砌体沿砌体或混凝土滑动 |
0.70 |
0.60 |
|
砌体沿木材滑动 |
0.60 |
0.50 |
|
砌体沿钢滑动 |
0.45 |
0.35 |
|
砌体沿砂或卵石滑动 |
0.60 |
0.50 |
|
砌体沿粉土滑动 |
0.55 |
0.40 |
|
砌体沿黏性土滑动 |
0.50 |
0.30 |
4 基本设计规定
4.1 设计原则
4.1.1 本规范采用以概率理论为基础的极限状态设计方法,以可靠指标度量结构构件的可靠度,采用分项系数的设计表达式进行计算。
4.1.2 砌体结构应按承载能力极限状态设计,并满足正常使用极限状态的要求。
4.1.3 砌体结构和结构构件在设计使用年限内及正常维护条件下,必须保持满足使用要求,而不需大修或加固。设计使用年限可按现行国家标准《建筑结构可靠度设计统一标准》GB 50068的有关规定确定。
4.1.4 根据建筑结构破坏可能产生的后果(危及人的生命、造成经济损失、产生社会影响等)的严重性。建筑结构应按表4.1.4划分为三个安全等级,设计时应根据具体情况适当选用。
表4.1.4 建筑结构的安全等级
|
安全等级 |
破坏后果 |
建筑物类型 |
|
一级 |
很严重 |
重要的房屋 |
|
二级 |
严重 |
一般的房屋 |
|
三级 |
不严重 |
次要的房屋 |
注:1 对于特殊的建筑物,其安全等级可根据具体情况另行确定; 2 对抗震设防区的砌体结构设计,应按现行国家标准《建筑抗震设防分类标准》GB 50223根据建筑物重要性区分建筑物类别。
4.1.5 砌体结构按承载能力极限状态设计时,应按下列公式中最不利组合进行计算:

(4.1.5—1)

(4.1.5—2)
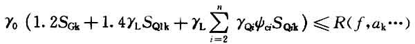
式中:γ0——结构重要性系数。对安全等级为一级或设计使用年限为50a以上的结构构件,不应小于1.1;对安全等级为二级或设计使用年限为50a的结构构件,不应小于1.0;对安全等级为三级或设计使用年限为1a~5a的结构构件,不应小于0.9; γL——结构构件的抗力模型不定性系数。对静力设计,考虑结构设计使用年限的荷载调整系数,设计使用年限为50a,取1.0;设计使用年限为100a,取1.1; SGK——永久荷载标准值的效应; SQ1K——在基本组合中起控制作用的一个可变荷载标准值的效应; SQiK——第i个可变荷载标准值的效应; R(·)——结构构件的抗力函数; γQi——第i个可变荷载的分项系数; ψci——第i个可变荷载的组合值系数。一般情况下应取0.7;对书库、档案库、储藏室或通风机房、电梯机房应取0.9; f——砌体的强度设计值,f=fk/γf; fk——砌体的强度标准值,fk=fm — 1.645σf; γf——砌体结构的材料性能分项系数,一般情况下,宜按施工质量控制等级为B级考虑,取γf=1.6;当为C级时,取γf=1.8;当为*级A**时,取γf=1.5; fm——砌体的强度平均值,可按本规范附录B的方法确定; σf——砌体强度的标准差; ak——几何参数标准值。 注:1 当工业建筑楼面活荷载标准值大于4kN/m2时,式中系数1.4应为1.3; 2 施工质量控制等级划分要求,应符合现行国家标准《砌体结构工程施工质量验收规范》GB 50203的有关规定。
4.1.6 当砌体结构作为一个刚体,需验算整体稳定性时,应按下列公式中最不利组合进行验算:

(4.1.6—1)

(4.1.6—2)
式中:SG1K——起有利作用的永久荷载标准值的效应; SG2K——起不利作用的永久荷载标准值的效应。
4.1.7 设计应明确建筑结构的用途,在设计使用年限内未经技术鉴定或设计许可,不得改变结构用途、构件布置和使用环境。
4.2 房屋的静力计算规定
4.2.1 房屋的静力计算,根据房屋的空间工作性能分为刚性方案、刚弹性方案和弹性方案。设计时,可按表4.2.1确定静力计算方案。
表4.2.1 房屋的静力计算方案
|
屋盖或楼盖类别 |
刚性方案 |
刚弹性方案 |
弹性方案 |
|
|
1 |
整体式、装配整体和装配式无檩体系钢筋混凝上屋盖或钢筋混凝土楼盖 |
s<32 |
32≤s≤72 |
s>72 |
|
2 |
装配式有檩体系钢筋混凝土屋盖、轻钢屋盖和有密铺望板的木屋盖或木楼盖 |
s<20 |
20≤s≤48 |
s>48 |
|
3 |
瓦材屋面的木屋盖和轻钢屋盖 |
s<16 |
16≤s≤36 |
s>36 |
注:1 表中s为房屋横墙间距,其长度单位为“m”; 2 当屋盖、楼盖类别不同或横墙间距不同时,可按本规范第4. 2.7条的规定确定房屋的静力计算方案; 3 对无山墙或伸缩缝处无横墙的房屋,应按弹性方案考虑。
4.2.2 刚性和刚弹性方案房屋的横墙,应符合下列规定: 1 横墙中开有洞口时,洞口的水平截面面积不应超过横墙截面面积的50%; 2 横墙的厚度不宜小于180mm; 3 单层房屋的横墙长度不宜小于其高度,多层房屋的横墙长度不宜小于H/2(H为横墙总高度)。 注:1 当横墙不能同时符合上述要求时,应对横墙的刚度进行验算。如其最大水平位移值umax≤H/4000时,仍可视作刚性或刚弹性方案房屋的横墙; 2 凡符合注1刚度要求的一段横墙或其他结构构件(如框架等),也可视作刚性或刚弹性方案房屋的横墙。
4.2.3 弹性方案房屋的静力计算,可按屋架或大梁与墙(柱)为铰接的、不考虑空间工作的平面排架或框架计算。
4.2.4 刚弹性方案房屋的静力计算,可按屋架、大梁与墙(柱)铰接并考虑空间工作的平面排架或框架计算。房屋各层的空间性能影响系数,可按表4.2.4采用,其计算方法应按本规范附录C的规定采用。
表4.2.4 房屋各层的空间性能影响系数ηi

注:i取1~n,n为房屋的层数。
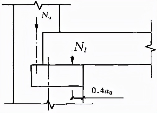
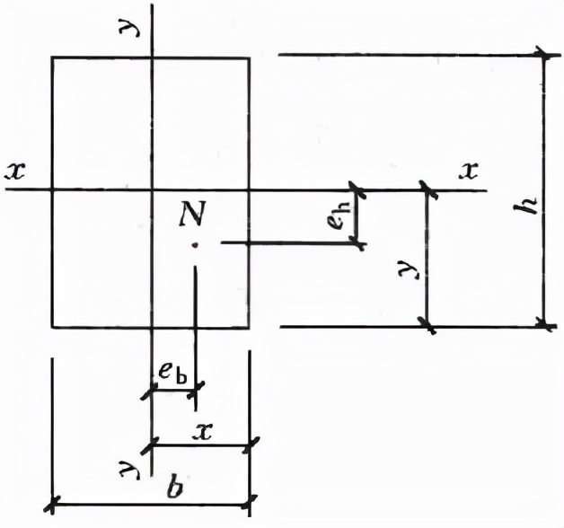
4.2.5 刚性方案房屋的静力计算,应按下列规定进行: 1 单层房屋:在荷载作用下,墙、柱可视为上端不动铰支承于屋盖,下端嵌固于基础的竖向构件; 2 多层房屋:在竖向荷载作用下,墙、柱在每层高度范围内,可近似地视作两端铰支的竖向构件;在水平荷载作用下,墙、柱可视作竖向连续梁; 3 对本层的竖向荷载,应考虑对墙、柱的实际偏心影响,梁端支承压力Nl到墙内边的距离,应取梁端有效支承长度a0的0.4倍(图4. 2.5)。由上面楼层传来的荷载Nu,可视作作用于上一楼层的墙、柱的截面重心处;

图4. 2.5 梁端支承压力位置
注:当板支撑于墙上时,板端支承压力Nl到墙内边的距离可取板的实际支承长度a的0.4倍。 4 对于梁跨度大于9m的墙承重的多层房屋,按上述方法计算时,应考虑梁端约束弯矩的影响。可按梁两端固结计算梁端弯矩,再将其乘以修正系数γ后,按墙体线性刚度分到上层墙底部和下层墙顶部,修正系数γ可按下式计算:

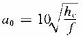
[4.2.5]
式中:a——梁端实际支承长度; h——支承墙体的墙厚,当上下墙厚不同时取下部墙厚,当有壁柱时取hT。
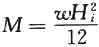
4.2.6 刚性方案多层房屋的外墙,计算风荷载时应符合下列要求: 1 风荷载引起的弯矩,可按下式计算:

[4.2.6]
式中:ω——沿楼层高均布风荷载设计值(kN/m); Hi——层高(m)。 2 当外墙符合下列要求时,静力计算可不考虑风荷载的影响: 1) 洞口水平截面面积不超过全截面面积的2/3; 2) 层高和总高不超过表4.2.6的规定; 3) 屋面自重不小于0.8kN/m2。
表4.2.6 外墙不考虑风荷载影响时的最大高度
|
基本风压值(kN/m2) |
层高(m) |
总高(m) |
|
0.4 |
4.0 |
28 |
|
0.5 |
4.0 |
24 |
|
0.6 |
4.0 |
18 |
|
0.7 |
3.5 |
18 |
注:对于多层混凝土砌块房屋,当外墙厚度不小于190mm、层高不大于2.8m、总高不大于19.6m、基本风压不大于0.7kN/m2,时,可不考虑风荷载的影响。
4.2.7 计算上柔下刚多层房屋时,顶层可按单层房屋计算,其空间性能影响系数可根据屋盖类别按本规范表4.2.4采用。
4.2.8 带壁柱墙的计算截面翼缘宽度bf,可按下列规定采用: 1 多层房屋,当有门窗洞口时,可取窗间墙宽度;当无门窗洞口时,每侧翼墙宽度可取壁柱高度(层高)的1/3,但不应大于相邻壁柱间的距离; 2 单层房屋,可取壁柱宽加2/3墙高,但不应大于窗间墙宽度和相邻壁柱间的距离; 3 计算带壁柱墙的条形基础时,可取相邻壁柱间的距离。
4.2.9 当转角墙段角部受竖向集中荷载时,计算截面的长度可从角点算起,每侧宜取层高的1/3。当上述墙体范围内有门窗洞口时,则计算截面取至洞边,但不宜大于层高的1/3。当上层的竖向集中荷载传至本层时,可按均布荷载计算,此时转角墙段可按角形截面偏心受压构件进行承载力验算。
4.3 耐久性规定
4.3.1 砌体结构的耐久性应根据表4.3.1的环境类别和设计使用年限进行设计。
表4.3.1 砌体结构的环境类别
|
环境类别 |
条 件 |
|
1 |
正常居住及办公建筑的内部干燥环境 |
|
2 |
潮湿的室内或室外环境,包括与无侵蚀性土和水接触的环境 |
|
3 |
严寒和使用化冰盐的潮湿环境(室内或室外) |
|
4 |
与海水直接接触的环境,或处于滨海地区的盐饱和的气体环境 |
|
5 |
有化学侵蚀的气体、液体或固态形式的环境,包括有侵蚀性土壤的环境 |
4.3.2 设计使用年限为50a时,砌体中钢筋的耐久性选择应符合表4. 3. 2规定。
表4.3.2 砌体中钢筋耐久性选择
|
环境类别 |
钢筋种类和最低保护要求 |
|
|
位于砂浆中的钢筋 |
位于灌孔混凝土中的钢筋 |
|
|
1 |
普通钢筋 |
普通钢筋 |
|
2 |
重镀锌或有等效保护的钢筋 |
当采用混凝土灌孔时,可为普通钢筋;当采用砂浆灌孔时应为重镀锌或有等效保护的钢筋 |
|
3 |
不锈钢或有等效保护的钢筋 |
重镀锌或有等效保护的钢筋 |
|
4和5 |
不锈钢或等效保护的钢筋 |
不锈钢或等效保护的钢筋 |
注:1 对夹心墙的外叶墙,应采用重镀锌或有等效保护的钢筋; 2 表中的钢筋即为国家现行标准《混凝土结构设计规范》GB 50010和《冷轧带肋钢筋混凝土结构技术规程》JGJ 95等标准规定的普通钢筋或非预应力钢筋。
4.3.3 设计使用年限为50a时,砌体中钢筋的保护层厚度,应符合下列规定: 1 配筋砌体中钢筋的最小混凝土保护层应符合表4.3.3的规定; 2 灰缝中钢筋外露砂浆保护层的厚度不应小于15mm; 3 所有钢筋端部均应有与对应钢筋的环境类别条件相同的保护层厚度; 4 对填实的夹心墙或特别的墙体构造,钢筋的最小保护层厚度,应符合下列规定: 1)用于环境类别1时,应取20mm厚砂浆或灌孔混凝土与钢筋直径较大者; 2)用于环境类别2时,应取20mm厚灌孔混凝土与钢筋直径较大者; 3)采用重镀锌钢筋时,应取20mm厚砂浆或灌孔混凝土与钢筋直径较大者; 4)采用不锈钢筋时,应取钢筋的直径。
表4.3.3 钢筋的最小保护层厚度
|
环境类别 |
混凝土强度等级 |
|||
|
C20 |
C25 |
C30 |
C35 |
|
|
最低水泥含量(kg/m3) |
||||
|
260 |
280 |
300 |
320 |
|
|
1 |
20 |
20 |
20 |
20 |
|
2 |
— |
25 |
25 |
25 |
|
3 |
— |
40 |
40 |
30 |
|
4 |
— |
— |
40 |
40 |
|
5 |
— |
— |
— |
40 |
注:1 材料中最大氯离子含量和最大碱含量应符合现行国家标准《混凝土结构设计规范》GB 50010的规定; 2 当采用防渗砌体块体和防渗砂浆时,可以考虑部分砌体(含抹灰层)的厚度作为保护层,但对环境类别1、2、3,其混凝土保护层的厚度相应不应小于10mm、15mm和20mm; 3 钢筋砂浆面层的组合砌体构件的钢筋保护层厚度宜比表4.3. 3规定的混凝土保护层厚度数值增加5mm~10mm; 4 对安全等级为一级或设计使用年限为50a以上的砌体结构,钢筋保护层的厚度应至少增加10mm。
4.3.4 设计使用年限为50a时,夹心墙的钢筋连接件或钢筋网片、连接钢板、锚固螺栓或钢筋,应采用重镀锌或等效的防护涂层,镀锌层的厚度不应小于290g/m2;当采用环氯涂层时,灰缝钢筋涂层厚度不应小于290μm,其余部件涂层厚度不应小于450μm。
4.3.5 设计使用年限为50a时,砌体材料的耐久性应符合下列规定: 1 地面以下或防潮层以下的砌体、潮湿房间的墙或环境类别2的砌体,所用材料的最低强度等级应符合表4.3.5的规定:
表4.3.5 地面以下或防潮层以下的砌体、潮湿房间的墙所用材料的最低强度等级
|
潮湿程度 |
烧结普通砖 |
混凝土普通砖、 蒸压普通砖 |
混凝土砌块 |
石材 |
水泥砂浆 |
|
稍潮湿的 |
MU15 |
MU20 |
MU7.5 |
MU30 |
M5 |
|
很潮湿的 |
MU20 |
MU20 |
MU10 |
MU30 |
M7.5 |
|
含水饱和的 |
MU20 |
MU25 |
MU15 |
MU40 |
M10 |
注:1 在冻胀地区,地面以下或防潮层以下的砌体,不宜采用多孔砖,如采用时,其孔洞应用不低于M10的水泥砂浆预先灌实。当采用混凝土空心砌块时,其孔洞应采用强度等级不低于Cb20的混凝土预先灌实; 2 对安全等级为一级或设计使用年限大于50a的房屋,表中材料强度等级应至少提高一级。 2 处于环境类别3~5等有侵蚀性介质的砌体材料应符合下列规定: 1) 不应采用蒸压灰砂普通砖、蒸压粉煤灰普通砖; 2) 应采用实心砖,砖的强度等级不应低于MU20,水泥砂浆的强度等级不应低于M10; 3) 混凝土砌块的强度等级不应低于MU15,灌孔混凝土的强度等级不应低于Cb30,砂浆的强度等级不应低于Mb10; 4) 应根据环境条件对砌体材料的抗冻指标、耐酸、碱性能提出要求,或符合有关规范的规定。
5 无筋砌体构件
5.1 受压构件
5.1.1 受压构件的承载力,应符合下式的要求:
N ≤φfA [5.1.1]
式中:N——轴向力设计值; φ——高厚比β和轴向力的偏心距e对受压构件承载力的影响系数; f——砌体的抗压强度设计值; A——截面面积。 注:1 对矩形截面构件,当轴向力偏心方向的截面边长大于另一方向的边长时,除按偏心受压计算外,还应对较小边长方向,按轴心受压进行验算; 2 受压构件承载力的影响系数φ,可按本规范附录D的规定采用; 3 对带壁柱墙,当考虑翼缘宽度时,可按本规范第4.2.8条采用。
5.1.2 确定影响系数φ时,构件高厚比β应按下列公式计算:
对矩形截面 β=γβ(H0/h) [5.1.2-1]对T形截面β=γβ(H0/hT) [5.1.2-2]
式中:γβ——不同材料砌体构件的高厚比修正系数,按表5.1.2采用; H0——受压构件的计算高度,按本规范表5.1.3确定; h——矩形截面轴向力偏心方向的边长,当轴心受压时为截面较小边长; hT——T形截面的折算厚度,可近似按3.5i计算,i为截面回转半径。
表5.1.2 高厚比修正系数γβ
|
砌体材料类别 |
γβ |
|
烧结普通砖、烧结多孔砖 |
1.0 |
|
混凝土普通砖、混凝土多孔砖、混凝土及轻集料混凝土砌块 |
1.1 |
|
蒸压灰砂普通砖、蒸压粉煤灰普通砖、细料石 |
1.2 |
|
粗料石、毛石 |
1.5 |
注:对灌孔混凝土砌块砌体,γβ取1.0。
5.1.3 受压构件的计算高度H0,应根据房屋类别和构件支承条件等按表5.1.3采用。表中的构件高度H,应按下列规定采用: 1 在房屋底层,为楼板顶面到构件下端支点的距离。下端支点的位置,可取在基础顶面。当埋置较深且有刚性地坪时,可取室外地面下500mm处; 2 在房屋其他层,为楼板或其他水平支点间的距离; 3 对于无壁柱的山墙,可取层高加山墙尖高度的1/2;对于带壁柱的山墙可取壁柱处的山墙高度。
表5.1.3 受压构件的计算高度H0

注:1 表中Hu为变截面柱的上段高度;Hl为变截面柱的下段高度; 2 对于上端为自由端的构件,H0=2H; 3 独立砖柱,当无柱间支撑时,柱在垂直排架方向的H0应按表中数值乘以1.25后采用; 4 s为房屋横墙间距; 5 自承重墙的计算高度应根据周边支承或拉接条件确定。
5.1.4 对有吊车的房屋,当荷载组合不考虑吊车作用时,变截面柱上段的计算高度可按本规范表5.1.3规定采用;变截面柱下段的计算高度,可按下列规定采用: 1 当Hu/H≤1/3时,取无吊车房屋的H0; 2 当1/3<Hu/H<1/2时,取无吊车房屋的H0乘以修正系数,修正系数μ可按下式计算:
μ=1.3—0.3Iu/Il [5.1.4]
式中:Iu——变截面柱上段的惯性矩; Il——变截面柱下段的惯性矩。 3 当Hu/H≥1/2时,取无吊车房屋的H0。但在确定β值时,应采用上柱截面。 注:本条规定也适用于无吊车房屋的变截面柱。
5.1.5 按内力设计值计算的轴向力的偏心距e不应超过0.6y。y为截面重心到轴向力所在偏心方向截面边缘的距离。
5.2 局部受压
5.2.1 砌体截面中受局部均匀压力时的承载力,应满足下式的要求:
Nl≤γfAl [5.2.1]
式中:Nl——局部受压面积上的轴向力设计值; γ——砌体局部抗压强度提高系数; f——砌体的抗压强度设计值,局部受压面积小于0.3m2,可不考虑强度调整系数γa的影响; Al——局部受压面积。
5.2.2 砌体局部抗压强度提高系数γ,应符合下列规定: 1 γ可按下式计算:

[5.2.2]
式中:A0—— 影响砌体局部抗压强度的计算面积。 2 计算所得γ值,尚应符合下列规定: 1)在图5.2.2(a)的情况下,γ≤2.5; 2)在图5.2.2(b)的情况下,γ≤2.0; 3)在图5.2.2(c)的情况下,γ≤1.5; 4)在图5.2.2(d)的情况下,γ≤1.25; 5)按本规范第6.2.13条的要求灌孔的混凝土砌块砌体,在1)、2)款的情况下,尚应符合γ≤1.5。未灌孔混凝土砌块砌体,γ=1.0; 6)对多孔砖砌体孔洞难以灌实时,应按γ=1.0取用;当设置混凝土垫块时,按垫块下的砌体局部受压计算。

图5.2.2 影响局部抗压强度的面积A0
5.2.3 影响砌体局部抗压强度的计算面积,可按下列规定采用: 1 在图5.2.2(a)的情况下,A0 =(a + c + h)h; 2 在图5.2.2(b)的情况下,A0 =(b + 2h)h; 3 在图5.2.2(c)的情况下,A0 =(a + h)h + (b +h1—h)h1; 4 在图5. 2.2(d)的情况下,A0 =(a + h)h; 式中:a、b——矩形局部受压面积Al的边长; h、h1——墙厚或柱的较小边长,墙厚; c——矩形局部受压面积的外边缘至构件边缘的较小距离,当大于h时,应取为h。
5.2.4 梁端支承处砌体的局部受压承载力,应按下列公式计算:

[5.2.4-1]

(5.2.4-2)

(5.2.4-3)

(5.2.4-4)

(5.2.4-5)
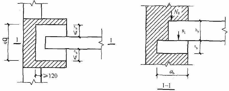
式中:ψ——上部荷载的折减系数,当A0/Al大于或等于3时,应取ψ等于0; N0——局部受压面积内上部轴向力设计值(N); Nl——梁端支承压力设计值(N); σ0——上部平均压应力设计值(N/mm2); η——梁端底面压应力图形的完整系数,应取0.7,对于过梁和墙梁应取1.0; a0——梁端有效支承长度(mm);当a0大于a时,应取a0等于a,a为梁端实际支承长度(mm); b——梁的截面宽度(mm); hc——梁的截面高度(mm); f——砌体的抗压强度设计值(MPa)。
5.2. 5 在梁端设有刚性垫块时的砌体局部受压,应符合下列规定: 1 刚性垫块下的砌体局部受压承载力,应按下列公式计算:
N0+Nl≤φγ1fAb [5.2.5-1]N0=σ0Ab (5.2.5—2)Ab=abbb (5.2.5—3)
式中:N0——垫块面积Ab内上部轴向力设计值(N); φ——垫块上N0与Nl合力的影响系数,应取β小于或等于3,按第5. 1.1条规定取值; γ1——垫块外砌体面积的有利影响系数,γ1应为0.8γ,但不小于1.0。γ为砌体局部抗压强度提高系数,按公式(5.2.2)以Ab代替Al计算得出; Ab——垫块面积(mm2); ab——垫块伸入墙内的长度(mm); bb——垫块的宽度(mm)。 2 刚性垫块的构造,应符合下列规定: 1) 刚性垫块的高度不应小于180mm,自梁边算起的垫块挑出长度不应大于垫块高度tb; 2) 在带壁柱墙的壁柱内设刚性垫块时(图5.2.5),其计算面积应取壁柱范围内的面积,而不应计算翼缘部分,同时壁柱上垫块伸入翼墙内的长度不应小于120mm; 3) 当现浇垫块与梁端整体浇筑时,垫块可在梁高范围内设置。

图5.2.5 壁柱上设有垫块时梁端局部受压
3 梁端设有刚性垫块时,垫块上Nl作用点的位置可取梁端有效支承长度a0的0.4倍。a0应按下式确定:

[5.2.5-4]
式中:δ1——刚性垫块的影响系数,可按表5. 2.5采用。
表5.2.5 系数δ1值表
|
σ0/f |
0 |
0.2 |
0.4 |
0.6 |
0.8 |
|
δ1 |
5.4 |
5.7 |
6.0 |
6.9 |
7.8 |
注:表中其间的数值可采用插入法求得。
5.2.6 梁下设有长度大于πh0 的垫梁时,垫梁上梁端有效支承长度a0可按公式(5. 2. 5—4)计算。垫梁下的砌体局部受压承载力,应按下列公式计算:
N0 +Nl≤2.4δ2fbbh0 [5.2.6-1]N0=πbbh0σ0/2 (5.2.6-2)

(5.2.6-3)
式中:N0——垫梁上部轴向力设计值(N); bb—— 垫梁在墙厚方向的宽度(mm); δ2——垫梁底面压应力分布系数,当荷载沿墙厚方向均匀分布时可取1.0,不均匀分布时可取0.8; h0——垫梁折算高度(mm); Ec、Ic ——分别为垫梁的混凝土弹性模量和截面惯性矩; E——砌体的弹性模量; h——墙厚(mm)。

图5.2.6 垫梁局部受压
5.3 轴心受拉构件
5.3.1 轴心受拉构件的承载力,应满足下式的要求:Nt≤ftA [5.3.1] 式中:Nt——轴心拉力设计值; ft——砌体的轴心抗拉强度设计值,应按表3.2.2采用。
5.4 受弯构件
5.4.1 受弯构件的承载力,应满足下式的要求:M≤ftmW [5.4.1]
式中:M——弯矩设计值; ftm——砌体弯曲抗拉强度设计值,应按表3.2.2采用; W——截面抵抗矩。
5.4.2 受弯构件的受剪承载力,应按下列公式计算:V≤fvbz [5.4.2-1]z=I/S (5.4.2-2)
式中:V——剪力设计值; fv——砌体的抗剪强度设计值,应按表3.2.2采用; b——截面宽度; z——内力臂,当截面为矩形时取z等于2h/3(h为截面高度); I——截面惯性矩; S——截面面积矩。
5.5 受剪构件
5.5.1 沿通缝或沿阶梯形截面破坏时受剪构件的承载力,应按下列公式计算:V≤(fv+αμσ0)A [5.5.1-1]
当γG=1.2时, μ=0.26—0.082σ0/f (5.5.1—2) 当γG=1.35时 μ=0.23—0.065σ0/f (5.5.1—3) 式中:V——剪力设计值; A——水平截面面积; fv——砌体抗剪强度设计值,对灌孔的混凝土砌块砌体取fvg; α——修正系数;当γG=1.2时,砖(含多孔砖)砌体取0.60,混凝土砌块砌体取0.64;当γG=1.35时,砖(含多孔砖)砌体取0.64,混凝土砌块砌体取0.66; μ—— 剪压复合受力影响系数; f——砌体的抗压强度设计值; σ0——永久荷载设计值产生的水平截面平均压应力,其值不应大于0.8f。
6 构造要求
6.1 墙、柱的高厚比验算
6.1.1 墙、柱的高厚比应按下式验算:
β=H0/h≤μ1μ2 [β] [6.1.1]
式中:H0——墙、柱的计算高度; h——墙厚或矩形柱与H0相对应的边长; μ1——自承重墙允许高厚比的修正系数; μ2——有门窗洞口墙允许高厚比的修正系数: [β]——墙、柱的允许高厚比,应按表6.1.1采用。 注:1 墙、柱的计算高度应按本规范第5.1.3条采用; 2 当与墙连接的相邻两墙间的距离s≤μ1μ2[β]h时,墙的高度可不受本条限制; 3 变截面柱的高厚比可按上、下截面分别验算,其计算高度可按第5.1.4条的规定采用。验算上柱的高厚比时,墙、柱的允许高厚比可按表6.1.1的数值乘以1.3后采用。
表6.1.1 墙、柱的允许高厚比[β]值
|
砌体类别 |
砂浆强度等级 |
墙 |
柱 |
|
无筋砌体 |
M2.5 |
22 |
15 |
|
M5.0或Mb5.0、Ms5.0 |
24 |
16 |
|
|
≥M7.5或Mb7.5、Ms7.5 |
26 |
17 |
|
|
配筋砌块砌体 |
— |
30 |
21 |
注:1 毛石墙、柱的允许高厚比应按表中数值降低20%; 2 带有混凝土或砂浆面层的组合砖砌体构件的允许高厚比,可按表中数值提高20%,但不得大于28; 3 验算施工阶段砂浆尚未硬化的新砌砌体构件高厚比时,允许高厚比对墙取14,对柱取11。
6.1.2 带壁柱墙和带构造柱墙的高厚比验算,应按下列规定进行: 1 按公式(6.1.1)验算带壁柱墙的高厚比,此时公式中h应改用带壁柱墙截面的折算厚度hT,在确定截面回转半径时,墙截面的翼缘宽度,可按本规范第4.2.8条的规定采用;当确定带壁柱墙的计算高度H0时,s应取与之相交相邻墙之间的距离。 2 当构造柱截面宽度不小于墙厚时,可按公式(6.1.1)验算带构造柱墙的高厚比,此时公式中h取墙厚;当确定带构造柱墙的计算高度H0时,s应取相邻横墙间的距离;墙的允许高厚比[β]可乘以修正系数μc,μc可按下式计算:
μc=1+γ(bc/l) [6.1.2]
式中:γ——系数。对细料石砌体,γ=0;对混凝土砌块、混凝土多孔砖、粗料石、毛料石及毛石砌体,γ=1.0;其他砌体,γ=1.5; bc——构造柱沿墙长方向的宽度; l——构造柱的间距。 当bc/l>0.25时取bc/l=0.25,当bc/l< 0.05时取bc/l=0 注:考虑构造柱有利作用的高厚比验算不适用于施工阶段。 3 按公式(6.1.1)验算壁柱间墙或构造柱间墙的高厚比时,s应取相邻壁柱间或相邻构造柱间的距离。设有钢筋混凝土圈梁的带壁柱墙或带构造柱墙,当b/s≥1/30时,圈梁可视作壁柱间墙或构造柱间墙的不动铰支点(b为圈梁宽度)。当不满足上述条件且不允许增加圈梁宽度时,可按墙体平面外等刚度原则增加圈梁高度,此时,圈梁仍可视为壁柱间墙或构造柱间墙的不动铰支点。
6.1.3 厚度不大于240mm的自承重墙,允许高厚比修正系数μ1,应按下列规定采用: 1 墙厚为240mm时,μ1取1.2;墙厚为90mm时,μ1取1.5;当墙厚小于240mm且大于90mm时,μ1按插入法取值。 2 上端为自由端墙的允许高厚比,除按上述规定提高外,尚可提高30%。 3 对厚度小于90mm的墙。当双面采用不低于M10的水泥砂浆抹面,包括抹面层的墙厚不小于90mm时,可按墙厚等于90mm验算高厚比。
6.1.4 对有门窗洞口的墙,允许高厚比修正系数,应符合下列要求: 1 允许高厚比修正系数,应按下式计算:
μ2=1—0.4(bs/s) [6.1.4]
式中:bs——在宽度s范围内的门窗洞口总宽度; s——相邻横墙或壁柱之间的距离。 2 当按公式(6.1.4)计算的μ2的值小于0.7时,μ2取0.7;当洞口高度等于或小于墙高的1/5时,μ2取1.0。 3 当洞口高度大于或等于墙高的4/5时,可按独立墙段验算高厚比。
6.2 一般构造要求
6.2.1 预制钢筋混凝土板在混凝土圈梁上的支承长度不应小于80mm,板端伸出的钢筋应与圈梁可靠连接,且同时浇筑;预制钢筋混凝土板在墙上的支承长度不应小于100mm,并应按下列方法进行连接: 1 板支承于内墙时,板端钢筋伸出长度不应小于70mm,且与支座处沿墙配置的纵筋绑扎,用强度等级不应低于C25的混凝土浇筑成板带; 2 板支承于外墙时,板端钢筋伸出长度不应小于100mm,且与支座处沿墙配置的纵筋绑扎,并用强度等级不应低于C25的混凝土浇筑成板带; 3 预制钢筋混凝土板与现浇板对接时,预制板端钢筋应伸入现浇板中进行连接后,再浇筑现浇板。
6.2.2 墙体转角处和纵横墙交接处应沿竖向每隔400mm~500mm设拉结钢筋,其数量为每120mm墙厚不少于1根直径6mm的钢筋;或采用焊接钢筋网片,埋入长度从墙的转角或交接处算起,对实心砖墙每边不小于500mm,对多孔砖墙和砌块墙不小于700mm。
6.2.3 填充墙、隔墙应分别采取措施与周边主体结构构件可靠连接,连接构造和嵌缝材料应能满足传力、变形、耐久和防护要求。
6.2.4 在砌体中留槽洞及埋设管道时,应遵守下列规定: 1 不应在截面长边小于500mm的承重墙体、独立柱内埋设管线; 2 不宜在墙体中穿行暗线或预留、开凿沟槽,当无法避免时应采取必要的措施或按削弱后的截面验算墙体的承载力。 注:对受力较小或未灌孔的砌块砌体,允许在墙体的竖向孔洞中设置管线。
6.2.5 承重的独立砖柱截面尺寸不应小于240mm×370mm。毛石墙的厚度不宜小于350mm,毛料石柱较小边长不宜小于400mm。 注:当有振动荷载时,墙、柱不宜采用毛石砌体。
6.2.6 支承在墙、柱上的吊车梁、屋架及跨度大于或等于下列数值的预制梁的端部,应采用锚固件与墙、柱上的垫块锚固: 1 对砖砌体为9m; 2 对砌块和料石砌体为7.2m。
6.2.7 跨度大于6m的屋架和跨度大于下列数值的梁,应在支承处砌体上设置混凝土或钢筋混凝土垫块;当墙中设有圈梁时,垫块与圈梁宜浇成整体。 1 对砖砌体为4.8m; 2 对砌块和料石砌体为4.2m; 3 对毛石砌体为3.9m。
6.2.8 当梁跨度大于或等于下列数值时,其支承处宜加设壁柱,或采取其他加强措施: 1 对240mm厚的砖墙为6m;对180mm厚的砖墙为4.8m; 2 对砌块、料石墙为4.8m。
6.2.9 山墙处的壁柱或构造柱宜砌至山墙顶部,且屋面构件应与山墙可靠拉结。
6.2.10 砌块砌体应分皮错缝搭砌,上下皮搭砌长度不应小于90mm。当搭砌长度不满足上述要求时,应在水平灰缝内设置不小于2根直径不小于4mm的焊接钢筋网片(横向钢筋的间距不应大于200mm,网片每端应伸出该垂直缝不小于300mm)。
6.2.11 砌块墙与后砌隔墙交接处,应沿墙高每400mm在水平灰缝内设置不少于2根直径不小于4mm、横筋间距不应大于200mm的焊接钢筋网片(图6.2.11)。

图6.2.11 砌块墙与后砌隔墙交接处钢筋网片 1 砌块墙;2 焊接钢筋网片;3 后砌隔墙
6.2.12 混凝土砌块房屋,宜将纵横墙交接处,距墙中心线每边不小于300mm范围内的孔洞,采用不低于Cb20混凝土沿全墙高灌实。
6.2.13 混凝土砌块墙体的下列部位,如未设圈梁或混凝土垫块,应采用不低于Cb20混凝土将孔洞灌实: 1 搁栅、檩条和钢筋混凝土楼板的支承面下,高度不应小于200mm的砌体; 2 屋架、梁等构件的支承面下,长度不应小于600mm,高度不应小于600mm的砌体; 3 挑梁支承面下,距墙中心线每边不应小于300mm,高度不应小于600mm的砌体。
6.3 框架填充墙
6.3.1 框架填充墙墙体除应满足稳定要求外,尚应考虑水平风荷载及地震作用的影响。地震作用可按现行国家标准《建筑抗震设计规范》GB 50011中非结构构件的规定计算。
6.3.2 在正常使用和正常维护条件下,填充墙的使用年限宜与主体结构相同,结构的安全等级可按二级考虑。
6.3.3 填充墙的构造设计,应符合下列规定: 1 填充墙宜选用轻质块体材料,其强度等级应符合本规范第3.1.2条的规定; 2 填充墙砌筑砂浆的强度等级不宜低于M5(Mb5、Ms5); 3 填充墙墙体墙厚不应小于90mm; 4 用于填充墙的夹心复合砌块,其两肢块体之间应有拉结。
6.3.4 填充墙与框架的连接,可根据设计要求采用脱开或不脱开方法。有抗震设防要求时宜采用填充墙与框架脱开的方法。 1 当填充墙与框架采用脱开的方法时,宜符合下列规定: 1)填充墙两端与框架柱,填充墙顶面与框架梁之间留出不小于20mm的间隙; 2)填充墙端部应设置构造柱,柱间距宜不大于20倍墙厚且不大于4000mm,柱宽度不小于100mm。柱竖向钢筋不宜小于Ø10,箍筋宜为ØR5,竖向间距不宜大于400mm。竖向钢筋与框架梁或其挑出部分的预埋件或预留钢筋连接,绑扎接头时不小于30d,焊接时(单面焊)不小于10d(d为钢筋直径)。柱顶与框架梁(板)应预留不小于15mm的缝隙,用硅酮胶或其他弹性密封材料封缝。当填充墙有宽度大于2100mm的洞口时,洞口两侧应加设宽度不小于50mm的单筋混凝土柱; 3)填充墙两端宜卡入设在梁、板底及柱侧的卡口铁件内,墙侧卡口板的竖向间距不宜大于500mm,墙顶卡口板的水平间距不宜大于1500mm; 4)墙体高度超过4m时宜在墙高中部设置与柱连通的水平系梁。水平系梁的截面高度不小于60mm。填充墙高不宜大于6m; 5)填充墙与框架柱、梁的缝隙可采用聚苯乙烯泡沫塑料板条或聚氨酯发泡材料充填,并用硅酮胶或其他弹性密封材料封缝; 6)所有连接用钢筋、金属配件、铁件、预埋件等均应作防腐防锈处理,并应符合本规范第4. 3节的规定。嵌缝材料应能满足变形和防护要求。 2 当填充墙与框架采用不脱开的方法时,宜符合下列规定: 1)沿柱高每隔500mm配置2根直径6mm的拉结钢筋(墙厚大于240mm时配置3根直径6mm),钢筋伸入填充墙长度不宜小于700mm,且拉结钢筋应错开截断,相距不宜小于200mm。填充墙墙顶应与框架梁紧密结合。顶面与上部结构接触处宜用一皮砖或配砖斜砌楔紧; 2)当填充墙有洞口时,宜在窗洞口的上端或下端、门洞口的上端设置钢筋混凝土带,钢筋混凝土带应与过梁的混凝土同时浇筑,其过梁的断面及配筋由设计确定。钢筋混凝土带的混凝土强度等级不小于C20。当有洞口的填充墙尽端至门窗洞口边距离小于240mm时,宜采用钢筋混凝土门窗框; 3)填充墙长度超过5m或墙长大于2倍层高时,墙顶与梁宜有拉接措施,墙体中部应加设构造柱;墙高度超过4m时宜在墙高中部设置与柱连接的水平系梁,墙高超过6m时,宜沿墙高每2m设置与柱连接的水平系梁,梁的截面高度不小于60mm。
6.4 夹心墙
6.4.1 夹心墙的夹层厚度,不宜大于120mm。
6.4.2 外叶墙的砖及混凝土砌块的强度等级,不应低于MU10。
6.4.3 夹心墙的有效面积,应取承重或主叶墙的面积。高厚比验算时,夹心墙的有效厚度,按下式计算:

[6.4.3]
式中:hl——夹心复合墙的有效厚度; h1、h2——分别为内、外叶墙的厚度。
6. 4.4 夹心墙外叶墙的最大横向支承间距,宜按下列规定采用: 设防烈度为6度时不宜大于9m,7度时不宜大于6m,8、9度时不宜大于3m。
6. 4.5 夹心墙的内、外叶墙,应由拉结件可靠拉结,拉结件宜符合下列规定: 1 当采用环形拉结件时,钢筋直径不应小于4mm,当为Z形拉结件时,钢筋直径不应小于6mm;拉结件应沿竖向梅花形布置,拉结件的水平和竖向最大间距分别不宜大于800mm和600mm;对有振动或有抗震设防要求时,其水平和竖向最大间距分别不宜大于800mm和400mm; 2 当采用可调拉结件时,钢筋直径不应小于4mm,拉结件的水平和竖向最大间距均不宜大于400mm。叶墙间灰缝的高差不大于3mm, 可调拉结件中孔眼和扣钉间的公差不大于1.5mm; 3 当采用钢筋网片作拉结件时,网片横向钢筋的直径不应小于4mm;其间距不应大于400mm;网片的竖向间距不宜大于600mm;对有振动或有抗震设防要求时,不宜大于400mm; 4 拉结件在叶墙上的搁置长度,不应小于叶墙厚度的2/3,并不应小于60mm; 5 门窗洞口周边300mm范围内应附加间距不大于600mm的拉结件。
6.4.6 夹心墙拉结件或网片的选择与设置,应符合下列规定: 1 夹心墙宜用不锈钢拉结件。拉结件用钢筋制作或采用钢筋网片时,应先进行防腐处理,并应符合本规范4. 3的有关规定; 2 非抗震设防地区的多层房屋,或风荷载较小地区的高层的夹芯墙可采用环形或Z形拉结件;风荷载较大地区的高层建筑房屋宜采用焊接钢筋网片; 3 抗震设防地区的砌体房屋(含高层建筑房屋)夹心墙应采用焊接钢筋网作为拉结件。焊接网应沿夹心墙连续通长设置,外叶墙至少有一根纵向钢筋。钢筋网片可计入内叶墙的配筋率,其搭接与锚固长度应符合有关规范的规定; 4 可调节拉结件宜用于多层房屋的夹心墙,其竖向和水平间距均不应大于400mm。
6.5 防止或减轻墙体开裂的主要措施
6.5.1 在正常使用条件下,应在墙体中设置伸缩缝。伸缩缝应设在因温度和收缩变形引起应力集中、砌体产生裂缝可能性最大处。伸缩缝的间距可按表6.5.1采用。
表6.5.1 砌体房屋伸缩缝的最大间距(m)
|
屋盖或楼盖类别 |
间距 |
|
|
整体式或装配整体式钢筋混凝土结构 |
有保温层或隔热层的屋盖、楼盖 |
50 |
|
无保温层或隔热层的屋盖 |
40 |
|
|
装配式无檩体系钢筋混凝土结构 |
有保温层或隔热层的屋盖、楼盖 |
60 |
|
无保温层或隔热层的屋盖 |
50 |
|
|
装配式有檩体系钢筋混凝土结构 |
有保温层或隔热层的屋盖 |
75 |
|
无保温层或隔热层的屋盖 |
60 |
|
|
瓦材屋盖、木屋盖或楼盖、轻钢屋盖 |
100 |
|
注:1 对烧结普通砖、烧结多孔砖、配筋砌块砌体房屋,取表中数值;对石砌体、蒸压灰砂普通砖、蒸压粉煤灰普通砖、混凝土砌块、混凝土普通砖和混凝土多孔砖房屋,取表中数值乘以0.8的系数,当墙体有可靠外保温措施时,其间距可取表中数值; 2 在钢筋混凝土屋面上挂瓦的屋盖应按钢筋混凝土屋盖采用; 3 层高大于5m的烧结普通砖、烧结多孔砖,配筋砌块砌体结构单层房屋,其伸缩缝间距可按表中数值乘以1.3; 4 温差较大且变化频繁地区和严寒地区不采暖的房屋及构筑物墙体的伸缩缝的最大间距,应按表中数值予以适当减小; 5 墙体的伸缩缝应与结构的其他变形缝相重合,缝宽度应满足各种变形缝的变形要求;在进行立面处理时,必须保证缝隙的变形作用。
6.5.2 房屋顶层墙体,宜根据情况采取下列措施: 1 屋面应设置保温、隔热层; 2 屋面保温(隔热)层或屋面刚性面层及砂浆找平层应设置分隔缝,分隔缝间距不宜大于6m,其缝宽不小于30mm,并与女儿墙隔开; 3 采用装配式有檩体系钢筋混凝土屋盖和瓦材屋盖; 4 顶层屋面板下设置现浇钢筋混凝土圈梁,并沿内外墙拉通,房屋两端圈梁下的墙体内宜设置水平钢筋; 5 顶层墙体有门窗等洞口时,在过梁上的水平灰缝内设置2~3道焊接钢筋网片或2根直径6mm钢筋,焊接钢筋网片或钢筋应伸入洞口两端墙内不小于600mm; 6 顶层及女儿墙砂浆强度等级不低于M7.5(Mb7.5、Ms7.5); 7 女儿墙应设置构造柱,构造柱间距不宜大于4m,构造柱应伸至女儿墙顶并与现浇钢筋混凝土压顶整浇在一起; 8 对顶层墙体施加竖向预应力。
6.5.3 房屋底层墙体,宜根据情况采取下列措施: 1 增大基础圈梁的刚度; 2 在底层的窗台下墙体灰缝内设置3道焊接钢筋网片或2根直径6mm钢筋,并应伸入两边窗间墙内不小于600mm。
6.5.4 在每层门、窗过梁上方的水平灰缝内及窗台下第一和第二道水平灰缝内,宜设置焊接钢筋网片或2根直径6mm钢筋,焊接钢筋网片或钢筋应伸入两边窗间墙内不小于600mm。当墙长大于5m时,宜在每层墙高度中部设置2~3道焊接钢筋网片或3根直径6mm的通长水平钢筋,竖向间距为500mm。
6.5.5 房屋两端和底层第一、第二开间门窗洞处,可采取下列措施: 1 在门窗洞口两边墙体的水平灰缝中,设置长度不小于900mm、竖向间距为400mm的2根直径4mm的焊接钢筋网片。 2 在顶层和底层设置通长钢筋混凝土窗台梁,窗台梁高宜为块材高度的模数,梁内纵筋不少于4根,直径不小于10mm,箍筋直径不小于6mm,间距不大于200mm,混凝土强度等级不低于C20。 3 在混凝土砌块房屋门窗洞口两侧不少于一个孔洞中设置直径不小于12mm的竖向钢筋,竖向钢筋应在楼层圈梁或基础内锚固,孔洞用不低于Cb20混凝土灌实。
6.5.6 填充墙砌体与梁、柱或混凝土墙体结合的界面处(包括内、外墙),宜在粉刷前设置钢丝网片,网片宽度可取400mm,并沿界面缝两侧各延伸200mm,或采取其他有效的防裂、盖缝措施。
6.5.7 当房屋刚度较大时,可在窗台下或窗台角处墙体内、在墙体高度或厚度突然变化处设置竖向控制缝。竖向控制缝宽度不宜小于25mm,缝内填以压缩性能好的填充材料,且外部用密封材料密封,并采用不吸水的、闭孔发泡聚乙烯实心圆棒(背衬)作为密封膏的隔离物(图6.5. 7)。

图6.5.7 控制缝构造 1—不吸水的、闭孔发泡聚乙烯实心圆棒;2—柔软、可压缩的填充物
6.5.8 夹心复合墙的外叶墙宜在建筑墙体适当部位设置控制缝,其间距宜为6m~8m。
7 圈梁、过梁、墙梁及挑梁
7.1 圈梁
7.1.1 对于有地基不均匀沉降或较大振动荷载的房屋,可按本节规定在砌体墙中设置现浇混凝土圈梁。
7.1.2 厂房、仓库、食堂等空旷单层房屋应按下列规定设置圈梁: 1 砖砌体结构房屋,檐口标高为5m~8m时,应在檐口标高处设置圈梁一道;檐口标高大于8m时,应增加设置数量; 2 砌块及料石砌体结构房屋,檐口标高为4m~5m时,应在檐口标高处设置圈梁一道;檐口标高大于5m时,应增加设置数量; 3 对有吊车或较大振动设备的单层工业房屋,当未采取有效的隔振措施时,除在檐口或窗顶标高处设置现浇混凝土圈梁外,尚应增加设置数量。
7.1.3 住宅、办公楼等多层砌体结构民用房屋,且层数为3层~4层时,应在底层和檐口标高处各设置一道圈梁。当层数超过4层时,除应在底层和檐口标高处各设置一道圈梁外,至少应在所有纵、横墙上隔层设置。多层砌体工业房屋,应每层设置现浇混凝土圈梁。设置墙梁的多层砌体结构房屋,应在托梁、墙梁顶面和檐口标高处设置现浇钢筋混凝土圈梁。
7.1.4 建筑在软弱地基或不均匀地基上的砌体结构房屋,除按本节规定设置圈梁外,尚应符合现行国家标准《建筑地基基础设计规范》GB 50007的有关规定。
7.1.5 圈梁应符合下列构造要求: 1 圈梁宜连续地设在同一水平面上,并形成封闭状;当圈梁被门窗洞口截断时,应在洞口上部增设相同截面的附加圈梁。附加圈梁与圈梁的搭接长度不应小于其中到中垂直间距的2倍,且不得小于1m; 2 纵、横墙交接处的圈梁应可靠连接。刚弹性和弹性方案房屋,圈梁应与屋架、大梁等构件可靠连接; 3 混凝土圈梁的宽度宜与墙厚相同,当墙厚不小于240mm时,其宽度不宜小于墙厚的2/3。圈梁高度不应小于120mm。纵向钢筋数量不应少于4根,直径不应小于10mm,绑扎接头的搭接长度按受拉钢筋考虑,箍筋间距不应大于300mm; 4 圈梁兼作过梁时,过梁部分的钢筋应按计算面积另行增配。
7.1.6 采用现浇混凝土楼(屋)盖的多层砌体结构房屋。当层数超过5层时,除应在檐口标高处设置一道圈梁外,可隔层设置圈梁,并应与楼(屋)面板一起现浇。未设置圈梁的楼面板嵌入墙内的长度不应小于120mm,并沿墙长配置不少于2根直径为10mm的纵向钢筋。
7.2 过梁
7.2.1 对有较大振动荷载或可能产生不均匀沉降的房屋,应采用混凝土过梁。当过梁的跨度不大于1.5m时,可采用钢筋砖过梁;不大于1.2m时,可采用砖砌平拱过梁。
7.2.2 过梁的荷载,应按下列规定采用: 1 对砖和砌块砌体,当梁、板下的墙体高度hw小于过梁的净跨ln时,过梁应计入梁、板传来的荷载,否则可不考虑梁、板荷载; 2 对砖砌体,当过梁上的墙体高度hw小于ln/3时,墙体荷载应按墙体的均布自重采用,否则应按高度为ln/3墙体的均布自重来采用; 3 对砌块砌体,当过梁上的墙体高度hw小于ln/2时,墙体荷载应按墙体的均布自重采用,否则应按高度为ln/2墙体的均布自重采用。
7.2.3 过梁的计算,宜符合下列规定: 1 砖砌平拱受弯和受剪承载力,可按5.4.1条和5.4.2条计算; 2 钢筋砖过梁的受弯承载力可按式(7.2.3)计算,受剪承载力,可按本规范第5.4.2条计算;
M≤0.85h0fyAs [7.2.3]
式中:M——按简支梁计算的跨中弯矩设计值; h0——过梁截面的有效高度,h0=h—as; as——受拉钢筋重心至截面下边缘的距离; h——过梁的截面计算高度,取过梁底面以上的墙体高度,但不大于ln/3;当考虑梁、板传来的荷载时,则按梁、板下的高度采用; fy——钢筋的抗拉强度设计值; As——受拉钢筋的截面面积。 3 混凝土过梁的承载力,应按混凝土受弯构件计算。验算过梁下砌体局部受压承载力时,可不考虑上层荷载的影响;梁端底面压应力图形完整系数可取1.0,梁端有效支承长度可取实际支承长度,但不应大于墙厚。
7.2.4 砖砌过梁的构造,应符合下列规定: 1 砖砌过梁截面计算高度内的砂浆不宜低于M5(Mb5、Ms5); 2 砖砌平拱用竖砖砌筑部分的高度不应小于240mm; 3 钢筋砖过梁底面砂浆层处的钢筋,其直径不应小于5mm,间距不宜大于120mm,钢筋伸入支座砌体内的长度不宜小于240mm,砂浆层的厚度不宜小于30mm。
7.3 墙梁
7.3.1 承重与自承重简支墙梁、连续墙梁和框支墙梁的设计,应符合本节规定。
7.3.2 采用烧结普通砖砌体、混凝土普通砖砌体、混凝土多孔砖砌体和混凝土砌块砌体的墙梁设计应符合下列规定: 1 墙梁设计应符合表7.3.2的规定:
表7.3.2 墙梁的一般规定
|
墙梁类别 |
墙体总高度(m) |
跨度(m) |
墙体高跨比hw/l0i |
托梁高跨比hb/l0i |
洞宽比bh/l0i |
洞高hh |
|
承重墙梁 |
≤18 |
≤9 |
≥0.4 |
≥1/10 |
≤0.3 |
≤5hw/6且hw—hh≥0.4m |
|
自承重墙梁 |
≤18 |
≤12 |
≥1/3 |
≥1/15 |
≤0.8 |
— |
注:墙体总高度指托梁顶面到檐口的高度,带阁楼的坡屋面应算到山尖墙1/2高度处。
2 墙梁计算高度范围内每跨允许设置一个洞口,洞口高度,对窗洞取洞顶至托梁顶面距离。对自承重墙梁,洞口至边支座中心的距离不应小于0.1l0i,门窗洞上口至墙顶的距离不应小于0.5m。 3 洞口边缘至支座中心的距离,距边支座不应小于墙梁计算跨度的0.15倍,距中支座不应小于墙梁计算跨度的0.07倍。托梁支座处上部墙体设置混凝土构造柱、且构造柱边缘至洞口边缘的距离不小于240mm时,洞口边至支座中心距离的限值可不受本规定限制。 4 托梁高跨比,对无洞口墙梁不宜大于1/7,对靠近支座有洞口的墙梁不宜大于1/6。配筋砌块砌体墙梁的托梁高跨比可适当放宽,但不宜小于1/14;当墙梁结构中的墙体均为配筋砌块砌体时,墙体总高度可不受本规定限制。
7.3.3 墙梁的计算简图,应按图7.3.3采用。各计算参数应符合下列规定: 1 墙梁计算跨度,对简支墙梁和连续墙梁取净跨的1.1倍或支座中心线距离的较小值;框支墙梁支座中心线距离,取框架柱轴线间的距离; 2 墙体计算高度,取托梁顶面上一层墙体(包括顶梁)高度,当hw大于l0时,取hw等于l0(对连续墙梁和多跨框支墙梁,l0取各跨的平均值); 3 墙梁跨中截面计算高度,取H0=hw+0.5hb; 4 翼墙计算宽度,取窗间墙宽度或横墙间距的2/3,且每边不大于3.5倍的墙体厚度和墙梁计算跨度的1/6; 5 框架柱计算高度,取Hc=Hcn+0.5hb;Hcn为框架柱的净高,取基础顶面至托梁底面的距离。

图7.3.3 墙梁计算简图l0(l0i)—墙梁计算跨度;
hw—墙体计算高度;
h—墙体厚度:
H0—墙梁跨中截面计算高度;
bfl—冀墙计算宽度;
Hc—框架柱计算高度;
bhi—洞口宽度;
hhi—洞口高度;
ai—洞口边缘至支座中心的距离;
Q1、F1—承重墙梁的托梁顶面的荷载设计值;Q2—承重墙梁的墙梁顶面的荷载设计值
7.3.4 墙梁的计算荷载,应按下列规定采用: 1 使用阶段墙梁上的荷载,应按下列规定采用: 1)承重墙梁的托梁顶面的荷载设计值,取托梁自重及本层楼盖的恒荷载和活荷载; 2)承重墙梁的墙梁顶面的荷载设计值,取托梁以上各层墙体自重,以及墙梁顶面以上各层楼(屋)盖的恒荷载和活荷载;集中荷载可沿作用的跨度近似化为均布荷载; 3)自承重墙梁的墙梁顶面的荷载设计值,取托梁自重及托梁以上墙体自重。 2 施工阶段托梁上的荷载,应按下列规定采用: 1)托梁自重及本层楼盖的恒荷载; 2)本层楼盖的施工荷载; 3)墙体自重,可取高度为l0max/3的墙体自重,开洞时尚应按洞顶以下实际分布的墙体自重复核;l0max为各计算跨度的最大值。
7.3.5 墙梁应分别进行托梁使用阶段正截面承载力和斜截面受剪承载力计算、墙体受剪承载力和托梁支座上部砌体局部受压承载力计算,以及施工阶段托梁承载力验算。自承重墙梁可不验算墙体受剪承载力和砌体局部受压承载力。
7.3.6 墙梁的托梁正截面承载力,应按下列规定计算: 1 托梁跨中截面应按混凝土偏心受拉构件计算,第i跨跨中最大弯矩设计值Mbi及轴心拉力设计值Nbti可按下列公式计算:
Mbi=Mli+αMM2i [7.3.6-1]Nbti=ηN(M2i/H0) [7.3.6-2]
1)当为简支墙梁时:
αM=ψ M[1.7(hb/l0)—0.03] [7.3.6-3]ψ M=4.5—10(a/l0) [7.3.6-4]ηN=0.44+2.1(hw/l0) [7.3.6-5]
2)当为连续墙梁和框支墙梁时:
αM=ψ M[2.7(hb/l0i)—0.08] [7.3.6-6]ψ M=3.8—8.0(ai/l0i) [7.3.6-7]ηN=0.8+2.6(hw/l0i) [7.3.6-8]
式中:M1i——荷载设计值Q1、F1作用下的简支梁跨中弯矩或按连续梁、框架分析的托梁第i跨跨中最大弯矩; M2i——荷载设计值Q2作用下的简支梁跨中弯矩或按连续梁、框架分析的托梁第i跨跨中最大弯矩; αM——考虑墙梁组合作用的托梁跨中截面弯矩系数,可按公式(7.3.6—3)或(7.3.6—6)计算,但对自承重简支墙梁应乘以折减系数0.8;当公式(7.3.6—3)中的hb/l0>1/6时,取hb/l0=1/6;当公式(7.3.6—3)中的hb/l0i>1/7时,取hb/l0i=1/7;当αM>1.0时,取αM=1.0; ηN——考虑墙梁组合作用的托梁跨中截面轴力系数,可按公式(7.3.6—5)或(7.3.6—8)计算,但对自承重简支墙梁应乘以折减系数0.8;当hw/l0i>1时,取hw/l0i=1; ψM——洞口对托梁跨中截面弯矩的影响系数,对无洞口墙梁取1.0,对有洞口墙梁可按公式(7.3.6—4)或(7.3.6—7)计算; ai——洞口边缘至墙梁最近支座中心的距离,当ai>0.35l0i时,取ai=0.35l0i。 2 托梁支座截面应按混凝土受弯构件计算,第j支座的弯矩设计值Mbj可按下列公式计算:
Mbj=M1j+αMM2j [7.3.6-9]αM=0.75—(ai/l0i) [7.3.6-10]
式中:M1j——荷载设计值Q1、F1作用下按连续梁或框架分析的托梁第j支座截面的弯矩设计值; M2j——荷载设计值Q2作用下按连续梁或框架分析的托梁 第j支座截面的弯矩设计值; αM——考虑墙梁组合作用的托梁支座截面弯矩系数,无洞口墙梁取0.4,有洞口墙梁可按公式(7.3.6-10)计算。
7.3.7 对多跨框支墙梁的框支边柱,当柱的轴向压力增大对承载力不利时,在墙梁荷载设计值Q2作用下的轴向压力值应乘以修正系数1.2。
7.3.8 墙梁的托梁斜截面受剪承载力应按混凝土受弯构件计算,第j支座边缘截面的剪力设计值Vbj,可按下式计算:
Vbj=V1j+βvV2j [7.3.8]
式中:V1j——荷载设计值Q1、F1作用下按简支梁、连续梁或框架分析的托梁第j支座边缘截面剪力设计值; V2j——荷载设计值Q2、F2作用下按简支梁、连续梁或框架分析的托梁第j支座边缘截面剪力设计值; βv——考虑墙梁组合作用的托梁剪力系数,无洞口墙梁边支座截面取0.6,中间支座截面取0.7;有洞口墙梁边支座截面取0.7,中间支座截面取0.8;对自承重墙梁,无洞口时取0.45,有洞口时取0.5。
7.3.9 墙梁的墙体受剪承载力,应按公式(7.3.9)验算,当墙梁支座处墙体中设置上、下贯通的落地混凝土构造柱,且其截面不小于240mm×240mm时,可不验算墙梁的墙体受剪承载力。
V2≤ξ1ξ2[0.2+(hb/l0i)+(ht/l0i)]fhhw [7.3.9]
式中:V2——在荷载设计值Q2作用下墙梁支座边缘截面剪力的最大值; ξ1——翼墙影响系数,对单层墙梁取1.0,对多层墙梁,当bf/h=3时取1.3,当bf/h=7时取1.5,当3<bf/h<7时,按线性插入取值; ξ2——洞口影响系数,无洞口墙梁取1.0,多层有洞口墙梁取0.9,单层有洞口墙梁取0.6; ht——墙梁顶面圈梁截面高度。
7.3.10 托梁支座上部砌体局部受压承载力,应按公式(7.3.10—1)验算,当墙梁的墙体中设置上、下贯通的落地混凝土构造柱,且其截面不小于240mm×240mm时,或当bf/h大于等于5时,可不验算托梁支座上部砌体局部受压承载力。
Q2≤ξfh [7.3.10-1]ξ=0.25+0.08(bf/h) (7.3.10—2)
式中:ξ——局压系数。
7.3.11 托梁应按混凝土受弯构件进行施工阶段的受弯、受剪承载力验算,作用在托梁上的荷载可按本规范第7.3.4条的规定采用。
7.3.12 墙梁的构造应符合下列规定: 1 托梁和框支柱的混凝土强度等级不应低于C30; 2 承重墙梁的块体强度等级不应低于MU10,计算高度范围内墙体的砂浆强度等级不应低于M10(Mb10); 3 框支墙梁的上部砌体房屋,以及设有承重的简支墙梁或连续墙梁的房屋,应满足刚性方案房屋的要求; 4 墙梁的计算高度范围内的墙体厚度,对砖砌体不应小于240mm,对混凝土砌块砌体不应小于190mm; 5 墙梁洞口上方应设置混凝土过梁,其支承长度不应小于240mm;洞口范围内不应施加集中荷载; 6 承重墙梁的支座处应设置落地翼墙,翼墙厚度,对砖砌体不应小于240mm,对混凝土砌块砌体不应小于190mm,翼墙宽度不应小于墙梁墙体厚度的3倍。并与墙梁墙体同时砌筑。当不能设置翼墙时,应设置落地且上、下贯通的混凝土构造柱; 7 当墙梁墙体在靠近支座1/3跨度范围内开洞时,支座处应设置落地且上、下贯通的混凝土构造柱,并应与每层圈梁连接; 8 墙梁计算高度范围内的墙体,每天可砌筑高度不应超过1.5m,否则,应加设临时支撑; 9 托梁两侧各两个开间的楼盖应采用现浇混凝土楼盖,楼板厚度不应小于120mm,当楼板厚度大于150mm时,应采用双层双向钢筋网,楼板上应少开洞,洞口尺寸大于800mm时应设洞口边梁; 10 托梁每跨底部的纵向受力钢筋应通长设置,不应在跨中弯起或截断;钢筋连接应采用机械连接或焊接; 11 托梁跨中截面的纵向受力钢筋总配筋率不应小于0.6%; 12 托梁上部通长布置的纵向钢筋面积与跨中下部纵向钢筋面积之比值不应小于0.4;连续墙梁或多跨框支墙梁的托梁支座上部附加纵向钢筋从支座边缘算起每边延伸长度不应小于l0/4; 13 承重墙梁的托梁在砌体墙、柱上的支承长度不应小于350mm;纵向受力钢筋伸入支座的长度应符合受拉钢筋的锚固要求; 14 当托梁截面高度hb大于等于450mm时,应沿梁截面高度设置通长水平腰筋,其直径不应小于12mm,间距不应大于200mm; 15 对于洞口偏置的墙梁,其托梁的箍筋加密区范围应延到洞口外,距洞边的距离大于等于托梁截面高度hb(图7.3. 12),箍筋直径不应小于8mm,间距不应大于100mm。

图7.3.12 偏开洞时托梁箍筋加密区
7.4 挑梁
7.4.1 砌体墙中混凝土挑梁的抗倾覆,应按下列公式进行验算:
Mov≤Mr (7.4.1)
式中:Mov——挑梁的荷载设计值对计算倾覆点产生的倾覆力矩; Mr——挑梁的抗倾覆力矩设计值。
7.4.2 挑梁计算倾覆点至墙外边缘的距离可按下列规定采用: 1 当l1不小于2.2hb时(l1为挑梁埋入砌体墙中的长度,hb为挑梁的截面高度),梁计算倾覆点到墙外边缘的距离可按式(7.4.2—1)计算,其结果不应大于0.13l1。 x0=0.3hb [7.4.2-1]
式中:x0——计算倾覆点至墙外边缘的距离(mm); 2 当l1小于2.2hb时,梁计算倾覆点到墙外边缘的距离可按下式计算:
x0=0.13l1 [7.4.2-2]
3 当挑梁下有混凝土构造柱或垫梁时,计算倾覆点到墙外边缘的距离可取0.5x0。
7.4.3 挑梁的抗倾覆力矩设计值,可按下式计算:
Mr=0. 8Gr(l2—x0) [7.4.3]
式中:Gr——挑梁的抗倾覆荷载,为挑梁尾端上部45°扩展角的阴影范围(其水平长度为l3)内本层的砌体与楼面恒荷载标准值之和(图7.4.3);当上部楼层无挑梁时,抗倾覆荷载中可计及上部楼层的楼面永久荷载; l2——Gr作用点至墙外边缘的距离。

图7.4.3 挑梁的抗倾覆荷载
7.4.4 挑梁下砌体的局部受压承载力,可按下式验算(图7.1. 4):
Nl≤ηγfAl [7.4.4]
式中:Nl——挑梁下的支承压力,可取Nl=2R,R为挑梁的倾覆荷载设计值; η——梁端底面压应力图形的完整系数,可取0.7;
γ——砌体局部抗压强度提高系数,对图7.4.4a,可取1.25;对图7.4.4b可取1.5; Al——挑梁下砌体局部受压面积,可取Al=1.2bhb,b为挑梁的截面宽度,hb为挑梁的截面高度。

图7.4.4 挑梁下砌体局部受压
7.4.5 挑梁的最大弯矩设计值Mmax与最大剪力设计值Vmax,可按下列公式计算:
Mmax=M0(7.4.5—1)Vmax=V0(7.4.5—2)
式中:M0——挑梁的荷载设计值对计算倾覆点截面产生的弯矩; V0——挑梁的荷载设计值在挑梁墙外边缘处截面产生的剪力。
7.4.6 挑梁设计除应符合现行国家标准《混凝土结构设计规范》GB 50010的有关规定外,尚应满足下列要求: 1 纵向受力钢筋至少应有1/2的钢筋面积伸入梁尾端,且不少于 2Ø12。其余钢筋伸入支座的长度不应小于 2l1/ 3; 2 挑梁埋入砌体长度 l1与挑出长度l之比宜大于1.2;当挑梁上无砌体时, l1与 l之比宜大于2。
7.4.7 雨篷等悬挑构件可按第7.4. 1条~7.4.3条进行抗倾覆验算,其抗倾覆荷载Gr可按图7.4.7采用,Gr距墙外边缘的距离为墙厚的1/2,l3为门窗洞口净跨的1/2。

图7.4.7 雨篷的抗倾覆荷载 Gr—抗倾覆荷载;l1—墙厚;l2—Gr距墙外边缘的距离
8 配筋砖砌体构件
8.1 网状配筋砖砌体构件
8.1.1 网状配筋砖砌体受压构件,应符合下列规定: 1 偏心距超过截面核心范围(对于矩形截面即e/h>0.17),或构件的高厚比β>16时,不宜采用网状配筋砖砌体构件; 2 对矩形截面构件,当轴向力偏心方向的截面边长大于另一方向的边长时,除按偏心受压计算外,还应对较小边长方向按轴心受压进行验算; 3 当网状配筋砖砌体构件下端与无筋砌体交接时,尚应验算交接处无筋砌体的局部受压承载力。
8.1.2 网状配筋砖砌体(图8.1. 2)受压构件的承载力,应按下列公式计算:
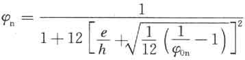
N≤φnfnA [8.1.2-1]fn=f+2[1—(2e/y)]ρfy (8.1.2—2)ρ=[(a+b)As]/absn (8.1.2—3)
式中:N——轴向力设计值; φn——高厚比和配筋率以及轴向力的偏心距对网状配筋砖砌体受压构件承载力的影响系数,可按附录D. 0.2的规定采用; fn——网状配筋砖砌体的抗压强度设计值; A——截面面积; e——轴向力的偏心距; y——自截面重心至轴向力所在偏心方向截面边缘的距离; ρ——体积配筋率: fy——钢筋的抗拉强度设计值,当fy大于320MPa时,仍采用320MPa; a、b——钢筋网的网格尺寸; As——钢筋的截面面积; sn——钢筋网的竖向间距。

图8.1.2 网状配筋砖砌体
8.1.3 网状配筋砖砌体构件的构造应符合下列规定: 1 网状配筋砖砌体中的体积配筋率,不应小于0.1%,并不应大于1%; 2 采用钢筋网时,钢筋的直径宜采用3mm~4mm; 3 钢筋网中钢筋的间距,不应大于120mm,并不应小于30mm; 4 钢筋网的间距,不应大于五皮砖,并不应大于400mm; 5 网状配筋砖砌体所用的砂浆强度等级不应低于M7.5;钢筋网应设置在砌体的水平灰缝中,灰缝厚度应保证钢筋上下至少各有2mm厚的砂浆层。
8.2 组合砖砌体构件
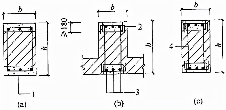
8.2.1 当轴向力的偏心距超过本规范第5.1.5条规定的限值时,宜采用砖砌体和钢筋混凝土面层或钢筋砂浆面层组成的组合砖砌体构件(图8.2.1)。

图8.2.1 组合砖砌体构件截面 1—混凝土或砂浆;2—拉结钢筋;3—纵向钢筋:4—箍筋
8.2.2 对于砖墙与组合砌体一同砌筑的T形截面构件(图8.2. 1b),其承载力和高厚比可按矩形截面组合砌体构件计算(图8.2.1c)。
8.2.3 组合砖砌体轴心受压构件的承载力,应按下式计算:
N≤φcom(fA+fcAc+ηsf′yA′s) [8.2.3]
式中:φcom——组合砖砌体构件的稳定系数,可按表8. 2. 3采用; A——砖砌体的截面面积; fc——混凝土或面层水泥砂浆的轴心抗压强度设计值,砂浆的轴心抗压强度设计值可取为同强度等级混凝土的轴心抗压强度设计值的70%,当砂浆为M15时,取5.0MPa;当砂浆为M10时,取3.4MPa;当砂浆强度为M7.5时,取2.5MPa; Ac——混凝土或砂浆面层的截面面积; ηs——受压钢筋的强度系数,当为混凝土面层时,可取1.0;当为砂浆面层时可取0.9; f′y——钢筋的抗压强度设计值; A′s——受压钢筋的截面面积。
表8.2.3 组合砖砌体构件的稳定系数φcom
|
高厚比β |
配筋率(%) |
|||||
|
0 |
0.2 |
0.4 |
0.6 |
0.8 |
≥1.0 |
|
|
8 |
0.91 |
0.93 |
0.95 |
0.97 |
0.99 |
1.00 |
|
10 |
0.87 |
0.90 |
0.92 |
0.94 |
0.96 |
0.98 |
|
12 |
0.82 |
0.85 |
0.88 |
0.91 |
0.93 |
0.95 |
|
14 |
0.77 |
0.80 |
0.83 |
0.86 |
0.89 |
0.92 |
|
16 |
0.72 |
0.75 |
0.78 |
0.81 |
0.84 |
0.87 |
|
18 |
0.67 |
0.70 |
0.73 |
0.76 |
0.79 |
0.81 |
|
20 |
0.62 |
0.65 |
0.68 |
0.71 |
0.73 |
0.75 |
|
22 |
0.58 |
0.61 |
0.64 |
0.66 |
0.68 |
0.70 |
|
24 |
0.54 |
0.57 |
0.59 |
0.61 |
0.63 |
0.65 |
|
26 |
0.50 |
0.52 |
0.54 |
0.56 |
0.58 |
0.60 |
|
28 |
0.46 |
0.48 |
0.50 |
0.52 |
0.54 |
0.56 |
注:组合砖砌体构件截面的配筋率ρ=A′s/bh
8.2.4 组合砖砌体偏心受压构件的承载力,应按下列公式计算:
N≤fA′+fcA′c+ηsf′yA′s —σsAs (8.2.4—1)
或
NeN≤fSs+fcSc,s+ηsf′yA′s(h0—a′s) (8.2.4—2)
此时受压区的高度x可按下列公式确定:
fSN+fcSc,N+ηsf′yA′se′N—σsAseN=0 (8.2.4—3)eN=e+ea+(h/2—as) (8.2.4—4)e′N=e+ea—(h/2—a′s) (8.2.4—5)ea=β2h/2200(1—0.022β) (8.2.4—6)
式中: A′——砖砌体受压部分的面积; A′c——混凝土或砂浆面层受压部分的面积; σs——钢筋As的应力; As——距轴向力N较远侧钢筋的截面面积; Ss——砖砌体受压部分的面积对钢筋As重心的面积矩; Sc,s——混凝土或砂浆面层受压部分的面积对钢筋As重心的面积矩; SN——砖砌体受压部分的面积对轴向力N作用点的面积矩; Sc,N——混凝土或砂浆面层受压部分的面积对轴向力N作用点的面积矩; eN、e′N—— 分别为钢筋As和A′s重心至轴向力N作用点的距离(图8.2.4); e——轴向力的初始偏心距,按荷载设计值计算,当e小于0.05h时,应取e等于0.05h; ea——组合砖砌体构件在轴向力作用下的附加偏心距; h0——组合砖砌体构件截面的有效高度,取h0=h—as; as、a′s——分别为钢筋As和A′s重心至截面较近边的距离。

图8.2.4 组合砖砌体偏心受压构件
8.2.5 组合砖砌体钢筋As的应力σs(单位为MPa,正值为拉应力,负值为压应力)应按下列规定计算: 1 当为小偏心受压,即 ζ>ζb 时,
σs=650—800ζ [8.2.5-1]
2 当为大偏心受压,即ζ≤ζb时,
σs=fy [8.2.5-2]ζ=x/h0 (8.2.5—3)
式中:σs—— 钢筋的应力,当σs>fy时,取σs=fy;当σs<f′y时,取σs=f′y; ξ——组合砖砌体构件截面的相对受压区高度; fy——钢筋的抗拉强度设计值。 3 组合砖砌体构件受压区相对高度的界限值ξb,对于HRB400级钢筋,应取0.36;对于HRB335级钢筋,应取0.44;对于HPB300级钢筋,应取0.47。
8.2.6 组合砖砌体构件的构造应符合下列规定: 1 面层混凝土强度等级宜采用C20。面层水泥砂浆强度等级不宜低于M10。砌筑砂浆的强度等级不宜低于M7.5; 2 砂浆面层的厚度,可采用30mm~45mm。当面层厚度大于45mm时,其面层宜采用混凝土; 3 竖向受力钢筋宜采用HPB300级钢筋,对于混凝土面层,亦可采用HRB335级钢筋。受压钢筋一侧的配筋率,对砂浆面层,不宜小于0.1%,对混凝土面层,不宜小于0.2%。受拉钢筋的配筋率,不应小于0.1%。竖向受力钢筋的直径,不应小于8mm,钢筋的净间距,不应小于30mm; 4 箍筋的直径,不宜小于4mm及0.2倍的受压钢筋直径,并不宜大于6mm。箍筋的间距,不应大于20倍受压钢筋的直径及500mm,并不应小于120mm; 5 当组合砖砌体构件一侧的竖向受力钢筋多于4根时,应设置附加箍筋或拉结钢筋; 6 对于截面长短边相差较大的构件如墙体等,应采用穿通墙体的拉结钢筋作为箍筋,同时设置水平分布钢筋。水平分布钢筋的竖向间距及拉结钢筋的水平间距,均不应大于500mm(图8.2.6);

图8.2.6 混凝土或砂浆面层组合墙 1—竖向受力钢筋;2—拉结钢筋;3—水平分布钢筋
7 组合砖砌体构件的顶部和底部,以及牛腿部位,必须设置钢筋混凝土垫块。竖向受力钢筋伸入垫块的长度,必须满足锚固要求。
8.2.7 砖砌体和钢筋混凝土构造柱组合墙(图8.2.7)的轴心受压承载力,应按下列公式计算:
N≤φcom[fA+η(fcAc+f′yA′s)] [8.2.7-1]

(8.2.7—2)
式中:φcom——组合砖墙的稳定系数,可按表8.2.3采用; η——强度系数,当l/bc小于4时,取l/bc等于4; l——沿墙长方向构造柱的间距; bc——沿墙长方向构造柱的宽度; A——扣除孔洞和构造柱的砖砌体截面面积; Ac——构造柱的截面面积。

图8.2.7 砖砌体和构造柱组合墙截面
8.2.8 砖砌体和钢筋混凝土构造柱组合墙,平面外的偏心受压承载力,可按下列规定计算: 1 构件的弯矩或偏心距可按本规范第4. 2.5条规定的方法确定; 2 可按本规范第8.2.4条和8.2.5条的规定确定构造柱纵向钢筋,但截面宽度应改为构造柱间距l;大偏心受压时,可不计受压区构造柱混凝土和钢筋的作用,构造柱的计算配筋不应小于第8.2.9条规定的要求。
8.2.9 组合砖墙的材料和构造应符合下列规定: 1 砂浆的强度等级不应低于M5,构造柱的混凝土强度等级不宜低于C20; 2 构造柱的截面尺寸不宜小于240mm×240mm,其厚度不应小于墙厚,边柱、角柱的截面宽度宜适当加大。柱内竖向受力钢筋,对于中柱,钢筋数量不宜少于4根、直径不宜小于12mm;对于边柱、角柱,钢筋数量不宜少于4根、直径不宜小于14mm。构造柱的竖向受力钢筋的直径也不宜大于16mm。其箍筋,一般部位宜采用直径6mm、间距200mm,楼层上下500mm范围内宜采用直径6mm、间距100mm。构造柱的竖向受力钢筋应在基础梁和楼层圈梁中锚固,并应符合受拉钢筋的锚固要求; 3 组合砖墙砌体结构房屋,应在纵横墙交接处、墙端部和较大洞口的洞边设置构造柱,其间距不宜大于4m。各层洞口宜设置在相应位置,并宜上下对齐; 4 组合砖墙砌体结构房屋应在基础顶面、有组合墙的楼层处设置现浇钢筋混凝土圈梁。圈梁的截面高度不宜小于240mm;纵向钢筋数量不宜少于4根、直径不宜小于12mm,纵向钢筋应伸入构造柱内,并应符合受拉钢筋的锚固要求;圈梁的箍筋直径宜采用6mm、间距200mm; 5 砖砌体与构造柱的连接处应砌成马牙槎,并应沿墙高每隔500mm设2根直径6mm的拉结钢筋,且每边伸入墙内不宜小于600mm; 6 构造柱可不单独设置基础,但应伸入室外地坪下500mm,或与埋深小于500mm的基础梁相连; 7 组合砖墙的施工顺序应为先砌墙后浇混凝土构造柱。
9 配筋砌块砌体构件
9.1 一般规定
9.1.1 配筋砌块砌体结构的内力与位移,可按弹性方法计算。各构件应根据结构分析所得的内力,分别按轴心受压、偏心受压或偏心受拉构件进行正截面承载力和斜截面承载力计算。并应根据结构分析所得的位移进行变形验算。
9.1.2 配筋砌块砌体剪力墙,宜采用全部灌芯砌体。
9.2 正截面受压承载力计算
9.2.1 配筋砌块砌体构件正截面承载力,应按下列基本假定进行计算: 1 截面应变分布保持平面; 2 竖向钢筋与其毗邻的砌体、灌孔混凝土的应变相同; 3 不考虑砌体、灌孔混凝土的抗拉强度; 4 根据材料选择砌体、灌孔混凝土的极限压应变:当轴心受压时不应大于0.002;偏心受压时的极限压应变不应大于0.003; 5 根据材料选择钢筋的极限拉应变,且不应大于0.01; 6 纵向受拉钢筋屈服与受压区砌体破坏同时发生时的相对界限受压区的高度,应按下式计算:

[9.2.1]
式中:ξb——相对界限受压区高度ξb为界限受压区高度与截面有效高度的比值; fy——钢筋的抗拉强度设计值; Es——钢筋的弹性模量。 7 大偏心受压时受拉钢筋考虑在h0—1.5x范围内屈服并参与工作。
9.2.2 轴心受压配筋砌块砌体构件,当配有箍筋或水平分布钢筋时,其正截面受压承载力应按下列公式计算:
N≤φ0g(fgA+0.8f′yA′s) [9.2.2-1]φ0g=1/(1+0.001β2) (9.2.2—2)
式中:N——轴向力设计值; fg——灌孔砌体的抗压强度设计值,应按第3. 2.1条采用; f′y——钢筋的抗压强度设计值; A——构件的截面面积; A′s——全部竖向钢筋的截面面积; φ0g——轴心受压构件的稳定系数; β——构件的高厚比。 注:1 无箍筋或水平分布钢筋时,仍应按式(9.2.2)计算,但应取f′yA′s=0; 2 配筋砌块砌体构件的计算高度H0可取层高。
9.2.3 配筋砌块砌体构件,当竖向钢筋仅配在中间时,其平面外偏心受压承载力可按本规范式(5.1.1)进行计算,但应采用灌孔砌体的抗压强度设计值。
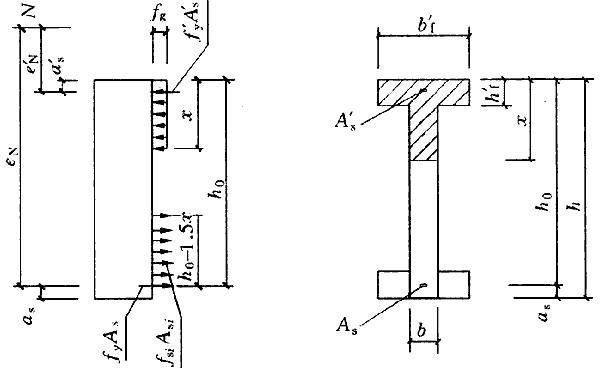
9.2.4 矩形截面偏心受压配筋砌块砌体构件正截面承载力计算,应符合下列规定: 1 相对界限受压区高度的取值,对HPB300级钢筋取ξb等于0.57,对HRB335级钢筋取ξb等于0.55,对HRB400级钢筋取ξb等于0.52;当截面受压区高度x小于等于ξbh0时,按大偏心受压计算;当x大于ξbh0时,按为小偏心受压计算。 2 大偏心受压时应按下列公式计算(图9.2.4):N≤fgbx+f′yA′s—fyAs—ΣfsiAsi (9.2.4—1)NeN≤fgbx(h0—x/2)+f′yA′s(h0—a′s)—ΣfsiSsi (9.2.4—2)
式中:N——轴向力设计值; fg——灌孔砌体的抗压强度设计值; fy、f′y——竖向受拉、压主筋的强度设计值; b——截面宽度; fsi——竖向分布钢筋的抗拉强度设计值; As、A′s——竖向受拉、压主筋的截面面积; Asi——单根竖向分布钢筋的截面面积; Ssi ——第i根竖向分布钢筋对竖向受拉主筋的面积矩; eN——轴向力作用点到竖向受拉主筋合力点之间的距离,可按第8.2.4条的规定计算; a′s——受压区纵向钢筋合力点至截面受压区边缘的距离,对T形、L形、工形截面,当翼缘受压时取100mm,其他情况取300mm; as——受拉区纵向钢筋合力点至截面受拉区边缘的距离,对T形、L形、工形截面,当翼缘受压时取300mm,其他情况取100mm。 3 当大偏心受压计算的受压区高度x小于2a′s时,其正截面承载力可按下式进行计算:

图9.2.4 矩形截面偏心受压正截面承载力计算简图
Ne′N≤fyAs(h0—a′s) (9.2.4—3)
式中:e′N——轴向力作用点至竖向受压主筋合力点之间的距离,可按本规范第8.2.4条的规定计算。 4 小偏心受压时,应按下列公式计算(图9.2.4)
N≤fgbx+f′yA′s—σsAs (9.2.4—4)NeN≤fgbx(h0—x/2)+f′yA′s(h0—a′s) (9.2.4—5)

(9.2.4—6)
注:当受压区竖向受压主筋无箍筋或无水平钢筋约束时,可不考虑竖向受压主筋的作用,即取f′yA′s=0。 5 矩形截面对称配筋砌块砌体小偏心受压时,也可近似按下列公式计算钢筋截面面积:

(9.2.4—7)

(9.2.4—8)
注:小偏心受压计算中未考虑竖向分布钢筋的作用。
9.2.5 T形、L形、工形截面偏心受压构件,当翼缘和腹板的相交处采用错缝搭接砌筑和同时设置中距不大于1.2m的水平配筋带(截面高度大于等于60mm,钢筋不少于2Ø12)时,可考虑翼缘的共同工作,翼缘的计算宽度应按表9.2.5中的最小值采用,其正截面受压承载力应按下列规定计算: 1 当受压区高度x小于等于h′f时,应按宽度为b′f的矩形截面计算; 2 当受压区高度x大于h′f时,则应考虑腹板的受压作用,应按下列公式计算: 1)当为大偏心受压时,
N≤fg[bx+(b′f—b)h′f]+f′yA′s—fyAs—ΣfsiAsi (9.2.5—1)NeN≤fg[bx+(h0—x/2)+(b′f—b)h′f(h0—h′f/2)]+f′yA′s(h0—a′s)—ΣfsiSsi (9.2.5—2)
2)当为小偏心受压时,
N≤fg[bx+(b′f—b)h′f]+f′yA′s—σsAs (9.2.5—3)NeN≤fg[bx(h0—x/2)+(b′f—b)h′f(h0—h′f/2)]+f′yA′s(h0—a′s) (9.2.5—4)
式中:b′f——T形、L形、工形截面受压区的翼缘计算宽度; h′f——T形、L形、工形截面受压区的翼缘厚度。

图9.2.5 T形截面偏心受压构件正截面承载力计算简图
表9.2.5 T形、L形、工形截面偏心受压构件翼缘计算宽度 b′f
|
考 虑 情 况 |
T、I形截面 |
L形截面 |
|
按构件计算高度H0考虑 |
H0/3 |
H0/6 |
|
按腹板间距L考虑 |
L |
L/2 |
|
按冀缘厚度h′f考虑 |
b+12h′f |
b+6h′f |
|
按冀缘的实际宽度b′f考虑 |
b′f |
b′f |
9.3 斜截面受剪承载力计算
9.3.1 偏心受压和偏心受拉配筋砌块砌体剪力墙,其斜截面受剪承载力应根据下列情况进行计算: 1 剪力墙的截面,应满足下式要求:
V≤0.25fgbh0 [9.3.1-1]
式中:V——剪力墙的剪力设计值; b——剪力墙截面宽度或T形、倒L形截面腹板宽度; h0——剪力墙截面的有效高度。 2 剪力墙在偏心受压时的斜截面受剪承载力,应按下列公式计算:

[9.3.1-2]λ=M/Vh0 (9.3.1—3)
式中:fvg——灌孔砌体的抗剪强度设计值,应按第3.2.2条的规定采用; M、N、V——计算截面的弯矩、轴向力和剪力设计值,当N大于0.25fgbh时取N=0.25fgbh; A——剪力墙的截面面积,其中翼缘的有效面积,可按表9.2.5的规定确定; AW——T形或倒L形截面腹板的截面面积,对矩形截面取AW等于A; λ——计算截面的剪跨比,当λ小于1.5时取1.5,当λ大于或等于2.2时取2.2; h0——剪力墙截面的有效高度; Ash——配置在同一截面内的水平分布钢筋或网片的全部截面面积; s——水平分布钢筋的竖向间距; fyh——水平钢筋的抗拉强度设计值。 3 剪力墙在偏心受拉时的斜截面受剪承载力应按下列公式计算:

[9.3.1-4]
9.3.2 配筋砌块砌体剪力墙连梁的斜截面受剪承载力,应符合下列规定: 1 当连梁采用钢筋混凝土时,连梁的承载力应按现行国家标准《混凝土结构设计规范》GB 50010的有关规定进行计算; 2 当连梁采用配筋砌块砌体时,应符合下列规定: 1)连梁的截面,应符合下列规定:
Vb≤0.25fgbh0 [9.3.2-1]
2)连梁的斜截面受剪承载力应按下列公式计算:
Vb≤0.8fvgbh0+fyv(Asv/s)h0 [9.3.2-2]
式中:Vb——连梁的剪力设计值; b——连梁的截面宽度; h0 ——连梁的截面有效高度; Asv—— 配置在同一截面内箍筋各肢的全部截面面积; fyv—— 箍筋的抗拉强度设计值; s——沿构件长度方向箍筋的间距。 注:连梁的正截面受弯承载力应按现行国家标准《混凝土结构设计规范》GB 50010受弯构件的有关规定进行计算,当采用配筋砌块砌体时,应采用其相应的计算参数和指标。
9.4 配筋砌块砌体剪力墙构造规定
9.4.1 钢筋的选择应符合下列规定: 1 钢筋的直径不宜大于25mm,当设置在灰缝中时不应小于4mm,在其他部位不应小于10mm; 2 配置在孔洞或空腔中的钢筋面积不应大于孔洞或空腔面积的6%。
9.4.2 钢筋的设置,应符合下列规定: 1 设置在灰缝中钢筋的直径不宜大于灰缝厚度的1/2; 2 两平行的水平钢筋间的净距不应小于50mm; 3 柱和壁柱中的竖向钢筋的净距不宜小于40mm(包括接头处钢筋间的净距)。
9.4.3 钢筋在灌孔混凝土中的锚固,应符合下列规定: 1 当计算中充分利用竖向受拉钢筋强度时,其锚固长度l a,对HRB335级钢筋不应小于30d;对HRB400和RRB400级钢筋不应小于35d;在任何情况下钢筋(包括钢筋网片)锚固长度不应小于300mm; 2 竖向受拉钢筋不应在受拉区截断。如必须截断时,应延伸至按正截面受弯承载力计算不需要该钢筋的截面以外,延伸的长度不应小于20d; 3 竖向受压钢筋在跨中截断时,必须伸至按计算不需要该钢筋的截面以外,延伸的长度不应小于20d;对绑扎骨架中末端无弯钩的钢筋,不应小于25d; 4 钢筋骨架中的受力光圆钢筋,应在钢筋末端作弯钩,在焊接骨架、焊接网以及轴心受压构件中,不作弯钩;绑扎骨架中的受力带肋钢筋,在钢筋的末端不做弯钩。
9.4.4 钢筋的直径大于22mm时宜采用机械连接接头,接头的质量应符合国家现行有关标准的规定;其他直径的钢筋可采用搭接接头,并应符合下列规定: 1 钢筋的接头位置宜设置在受力较小处; 2 受拉钢筋的搭接接头长度不应小于1.1la,受压钢筋的搭接接头长度不应小于0.7la,且不应小于300mm; 3 当相邻接头钢筋的间距不大于75mm时,其搭接长度应为1.2la。当钢筋间的接头错开20d时,搭接长度可不增加。
9.4.5 水平受力钢筋(网片)的锚固和搭接长度应符合下列规定: 1 在凹槽砌块混凝土带中钢筋的锚固长度不宜小于30d,且其水平或垂直弯折段的长度不宜小于15d和200mm; 钢筋的搭接长度不宜小于35d; 2 在砌体水平灰缝中,钢筋的锚固长度不宜小于50d,且其水平或垂直弯折段的长度不宜小于20d和250mm;钢筋的搭接长度不宜小于55d; 3 在隔皮或错缝搭接的灰缝中为55d+2h,d为灰缝受力钢筋的直径,h为水平灰缝的间距。
9.4.6 配筋砌块砌体剪力墙、连梁的砌体材料强度等级应符合下列规定: 1 砌块不应低于MU10; 2 砌筑砂浆不应低于Mb7.5; 3 灌孔混凝土不应低于Cb20。 注:对安全等级为一级或设计使用年限大于50a的配筋砌块砌体房屋,所用材料的最低强度等级应至少提高一级。
9.4.7 配筋砌块砌体剪力墙厚度、连梁截面宽度不应小于190mm。
9.4.8 配筋砌块砌体剪力墙的构造配筋应符合下列规定: 1 应在墙的转角、端部和孔洞的两侧配置竖向连续的钢筋,钢筋直径不应小于12mm; 2 应在洞口的底部和顶部设置不小于2Ø10的水平钢筋,其伸入墙内的长度不应小于40d和600mm; 3 应在楼(屋)盖的所有纵横墙处设置现浇钢筋混凝土圈梁,圈梁的宽度和高度应等于墙厚和块高,圈梁主筋不应少于4Ø10,圈梁的混凝土强度等级不应低于同层混凝土块体强度等级的2倍,或该层灌孔混凝土的强度等级,也不应低于C20; 4 剪力墙其他部位的竖向和水平钢筋的间距不应大于墙长、墙高的1/3,也不应大于900mm; 5 剪力墙沿竖向和水平方向的构造钢筋配筋率均不应小于0.07%。
9.4.9 按壁式框架设计的配筋砌块砌体窗间墙除应符合本规范第9.4.6条~9.4.8条规定外,尚应符合下列规定: 1 窗间墙的截面应符合下列要求规定: 1)墙宽不应小于800mm; 2)墙净高与墙宽之比不宜大于5。 2 窗间墙中的竖向钢筋应符合下列规定: 1)每片窗间墙中沿全高不应少于4根钢筋; 2)沿墙的全截面应配置足够的抗弯钢筋; 3)窗间墙的竖向钢筋的配筋率不宜小于0.2%,也不宜大于0.8%。 3 窗间墙中的水平分布钢筋应符合下列规定: 1)水平分布钢筋应在墙端部纵筋处向下弯折射90°,弯折段长度不小于15d和150mm; 2)水平分布钢筋的间距:在距梁边1倍墙宽范围内不应大于1/4墙宽,其余部位不应大于1/2墙宽; 3)水平分布钢筋的配筋率不宜小于0.15%。
9.4.10 配筋砌块砌体剪力墙,应按下列情况设置边缘构件: 1 当利用剪力墙端部的砌体受力时,应符合下列规定: 1)应在一字墙的端部至少3倍墙厚范围内的孔中设置不小于Φ12通长竖向钢筋; 2)应在L、T或十字形墙交接处3或4个孔中设置不小于Φ12通长竖向钢筋; 3)当剪力墙的轴压比大于0.6fg时,除按上述规定设置竖向钢筋外,尚应设置间距不大于200mm、直径不小于6mm的钢箍。 2 当在剪力墙墙端设置混凝土柱作为边缘构件时,应符合下列规定: 1)柱的截面宽度宜不小于墙厚,柱的截面高度宜为1~2倍的墙厚,并不应小于200mm; 2)柱的混凝土强度等级不宜低于该墙体块体强度等级的2倍,或不低于该墙体灌孔混凝土的强度等级,也不应低于Cb20; 3)柱的竖向钢筋不宜小于4Φ12,箍筋不宜小于Φ6、间距不宜大于200mm; 4)墙体中的水平钢筋应在柱中锚固,并应满足钢筋的锚固要求; 5)柱的施工顺序宜为先砌砌块墙体,后浇捣混凝土。
9.4.11 配筋砌块砌体剪力墙中当连梁采用钢筋混凝土时,连梁混凝土的强度等级不宜低于同层墙体块体强度等级的2倍,或同层墙体灌孔混凝土的强度等级,也不应低于C20;其他构造尚应符合现行国家标准《混凝土结构设计规范》GB 50010的有关规定。
9.4.12 配筋砌块砌体剪力墙中当连梁采用配筋砌块砌体时,连梁应符合下列规定: 1 连梁的截面应符合下列规定: 1)连梁的高度不应小于两皮砌块的高度和400mm; 2)连梁应采用H型砌块或凹槽砌块组砌,孔洞应全部浇灌混凝土。 2 连梁的水平钢筋宜符合下列规定: 1)连梁上、下水平受力钢筋宜对称、通长设置,在灌孔砌体内的锚固长度不宜小于40d和600mm; 2)连梁水平受力钢筋的含钢率不宜小于0.2%,也不宜大于0.8%。 3 连梁的箍筋应符合下列规定: 1)箍筋的直径不应小于6mm; 2)箍筋的间距不宜大于1/2梁高和600mm; 3)在距支座等于梁高范围内的箍筋间距不应大于1/4梁高,距支座表面第一根箍筋的间距不应大于100mm; 4)箍筋的面积配筋率不宜小于0.15%; 5)箍筋宜为封闭式,双肢箍末端弯钩为135°;单肢箍末端的弯钩为180°,或弯90°加12倍箍筋直径的的延长段。
9.4.13 配筋砌块砌体柱(图9.4. 13)除应符合本规范第9.4. 6条的要求外,尚应符合下列规定: 1 柱截面边长不宜小于400mm,柱高度与截面短边之比不宜大于30; 2 柱的竖向受力钢筋的直径不宜小于12mm,数量不应少于4根,全部竖向受力钢筋的配筋率不宜小于0.2%; 3 柱中箍筋的设置应根据下列情况确定: 1)当纵向钢筋的配筋率大于0.25%,且柱承受的轴向力大于受压承载力设计值的25%时,柱应设箍筋;当配筋率小于等于0.25%时,或柱承受的轴向力小于受压承载力设计值的25%时,柱中可不设置箍筋; 2)箍筋直径不宜小于6mm; 3)箍筋的间距不应大于16倍的纵向钢筋直径、48倍箍筋直径及柱截面短边尺寸中较小者; 4)箍筋应封闭,端部应弯钩或绕纵筋水平弯折90°,弯折段长度不小于10d; 5)箍筋应设置在灰缝或灌孔混凝土中。

图9.4.13 配筋砌块砌体柱截面示意1—灌孔棍凝土; 2—钢筋;3—箍筋;4—砌块
10 砌体结构构件抗震设计
10.1 一般规定
10.1.1 抗震设防地区的普通砖(包括烧结普通砖、蒸压灰砂普通砖、蒸压粉煤灰普通砖、混凝土普通砖)、多孔砖(包括烧结多孔砖、混凝土多孔砖)和混凝土砌块等砌体承重的多层房屋,底层或底部两层框架—抗震墙砌体房屋,配筋砌块砌体抗震墙房屋,除应符合本规范第1章至第9章的要求外,尚应按本章规定进行抗震设计,同时尚应符合现行国家标准《建筑抗震设计规范》GB 50011、《墙体材料应用统一技术规范》GB 50574的有关规定。甲类设防建筑不宜采用砌体结构,当需采用时,应进行专门研究并采取高于本章规定的抗震措施。 注:本章中“配筋砌块砌体抗震墙”指全部灌芯配筋砌块砌体。
10.1.2 本章适用的多层砌体结构房屋的总层数和总高度,应符合下列规定: 1 房屋的层数和总高度不应超过表10.1.2的规定;
表10.1.2 多层砌体房屋的层数和总高度限值(m)

注:1 房屋的总高度指室外地面到主要屋面板板顶或檐口的高度,半地下室从地下室室内地面算起,全地下室和嵌固条件好的半地下室应允许从室外地面算起;对带阁楼的坡屋面应算到山尖墙的1/2高度处; 2 室内外高差大于0.6m时,房屋总高度应允许比表中的数据适当增加,但增加量应少于1.0m; 3 乙类的多层砌体房屋仍按本地区设防烈度查表,其层数应减少一层且总高度应降低3m;不应采用底部框架—抗震墙砌体房屋。
2 各层横墙较少的多层砌体房屋,总高度应比表10.1.2中的规定降低3m,层数相应减少一层;各层横墙很少的多层砌体房屋,还应再减少一层; 注:横墙较少是指同一楼层内开间大于4.2m的房间占该层总面积的40%以上;其中,开间不大于4.2m的房间占该层总面积不到20%且开间大于4.8m的房间占该层总面积的50%以上为横墙很少。 3 抗震设防烈度为6、7度时,横墙较少的丙类多层砌体房屋,当按现行国家标准《建筑抗震设计规范》GB 50011规定采取加强措施并满足抗震承载力要求时,其高度和层数应允许仍按表10.1. 2中的规定采用; 4 采用蒸压灰砂普通砖和蒸压粉煤灰普通砖的砌体房屋,当砌体的抗剪强度仅达到普通黏土砖砌体的70%时,房屋的层数应比普通砖房屋减少一层,总高度应减少3m;当砌体的抗剪强度达到普通黏土砖砌体的取值时,房屋层数和总高度的要求同普通砖房屋。
10.1.3 本章适用的配筋砌块砌体抗震墙结构和部分框支抗震墙结构房屋最大高度应符合表10.1.3的规定。
表10.1. 3 配筋砌块砌体抗震墙房屋适用的最大高度(m)
|
结构类型最小墙厚(mm) |
设防烈度和设计基本地震加速度 |
||||||
|
6度 |
7度 |
8度 |
9度 |
||||
|
0.05g |
0.10g |
0.15g |
0.20g |
0.30g |
0.40g |
||
|
配筋砌块砌体抗震墙 |
190mm |
60 |
55 |
45 |
40 |
30 |
24 |
|
部分框支抗震墙 |
55 |
49 |
40 |
31 |
24 |
— |
|
注:1 房屋高度指室外地面到主要屋面板板顶的高度(不包括局部突出屋顶部分); 2 某层或几层开间大于6.0m以上的房间建筑面积占相应层建筑面积40%以上时,表中数据相应减少6m; 3 部分框支抗震墙结构指首层或底部两层为框支层的结构,不包括仅个别框支墙的情况; 4 房屋的高度超过表内高度时,应根据专门研究,采取有效的加强措施。
10.1.4 砌体结构房屋的层高,应符合下列规定: 1 多层砌体结构房屋的层高,应符合下列规定: 1)多层砌体结构房屋的层高,不应超过3.6m; 注:当使用功能确有需要时,采用约束砌体等加强措施的普通砖房屋,层高不应超过3.9m; 2)底部框架—抗震墙砌体房屋的底部,层高不应超过4.5m;当底层采用约束砌体抗震墙时,底层的层高不应超过4.2m。 2 配筋混凝土空心砌块抗震墙房屋的层高,应符合下列规定: 1)底部加强部位(不小于房屋高度的1/6 且不小于底部二层的高度范围)的层高(房屋总高度小于21m时取一层),一、二级不宜大于3.2m,三、四级不应大于3.9m; 2)其他部位的层高,一、二级不应大于3.9m,三、四级不应大于4.8m。
10.1.5 考虑地震作用组合的砌体结构构件,其截面承载力应除以承载力抗震调整系数rRE,承载力抗震调整系数应按表10.1. 5采用。当仅计算竖向地震作用时,各类结构构件承载力抗震调整系数均应采用1.0。 表10.1.5 承载力抗震调整系数
|
结构构件类别 |
受力状态 |
γRE |
|
两端均设有构造柱、芯柱的砌体抗震墙 |
受剪 |
0.9 |
|
组合砖墙 |
偏压、大偏拉和受剪 |
0.9 |
|
配筋砌块砌体抗震墙 |
偏压、大偏拉和受剪 |
0.85 |
|
自承重墙 |
受剪 |
1.0 |
|
其他砌体 |
受剪和受压 |
1.0 |
10.1.6 配筋砌块砌体抗震墙结构房屋抗震设计时,结构抗震等级应根据设防烈度和房屋高度按表10.1.6采用。
表10.1.6 配筋砌块砌体抗震墙结构房屋的抗震等级

注:1 对于四级抗震等级,除本章有规定外,均按非抗震设计采用; 2 接近或等于高度分界时,可结合房屋不规则程度及场地、地基条件确定抗震等级。
10.1.7 结构抗震设计时,地震作用应按现行国家标准《建筑抗震设计规范》GB 50011的规定计算。结构的截面抗震验算,应符合下列规定: 1 抗震设防烈度为6度时,规则的砌体结构房屋构件,应允许不进行抗震验算,但应有符合现行国家标准《建筑抗震设计规范》GB 50011和本章规定的抗震措施; 2 抗震设防烈度为7度和7度以上的建筑结构,应进行多遇地震作用下的截面抗震验算。6度时,下列多层砌体结构房屋的构件,应进行多遇地震作用下的截面抗震验算。 1)平面不规则的建筑; 2)总层数超过三层的底部框架—抗震墙砌体房屋; 3)外廊式和单面走廊式底部框架—抗震墙砌体房屋; 4)托梁等转换构件。
10.1.8 配筋砌块砌体抗震墙结构应进行多遇地震作用下的抗震变形验算,其楼层内最大的层间弹性位移角不宜超过1/1000。
10.1.9 底部框架—抗震墙砌体房屋的钢筋混凝土结构部分,除应符合本章规定外,尚应符合现行国家标准《建筑抗震设计规范》GB 50011—2010第6章的有关要求;此时,底部钢筋混凝土框架的抗震等级,6、7、8度时应分别按三、二、一级采用;底部钢筋混凝土抗震墙和配筋砌块砌体抗震墙的抗震等级,6、7、8度时应分别按三、三、二级采用。多层砌体房屋局部有上部砌体墙不能连续贯通落地时,托梁、柱的抗震等级,6、7、8度时应分别按三、三、二级采用。
10.1.10 配筋砌块砌体短肢抗震墙及一般抗震墙设置,应符合下列规定: 1 抗震墙宜沿主轴方向双向布置,各向结构刚度、承载力宜均匀分布。高层建筑不宜采用全部为短肢墙的配筋砌块砌体抗震墙结构,应形成短肢抗震墙与一般抗震墙共同抵抗水平地震作用的抗震墙结构。9度时不宜采用短肢墙; 2 纵横方向的抗震墙宜拉通对齐;较长的抗震墙可采用楼板或弱连梁分为若干个独立的墙段,每个独立墙段的总高度与长度之比不宜小于2,墙肢的截面高度也不宜大于8m; 3 抗震墙的门窗洞口宜上下对齐,成列布置; 4 一般抗震墙承受的第一振型底部地震倾覆力矩不应小于结构总倾覆力矩的50%,且两个主轴方向,短肢抗震墙截面面积与同一层所有抗震墙截面面积比例不宜大于20%; 5 短肢抗震墙宜设翼缘。一字形短肢墙平面外不宜布置与之单侧相交的楼面梁; 6 短肢墙的抗震等级应比表10.1.6的规定提高一级采用;已为一级时,配筋应按9度的要求提高; 7 配筋砌块砌体抗震墙的墙肢截面高度不宜小于墙肢截面宽度的5倍。 注:短肢抗震墙是指墙肢截面高度与宽度之比为5~8的抗震墙,一般抗震墙是指墙肢截面高度与宽度之比大于8的抗震墙。L形,T形,+形等多肢墙截面的长短肢性质应由较长一肢确定。
10.1.11 部分框支配筋砌块砌体抗震墙房屋的结构布置,应符合下列规定: 1 上部的配筋砌块砌体抗震墙与框支层落地抗震墙或框架应对齐或基本对齐; 2 框支层应沿纵横两方向设置一定数量的抗震墙,并均匀布置或基本均匀布置。框支层抗震墙可采用配筋砌块砌体抗震墙或钢筋混凝土抗震墙,但在同一层内不应混用; 3 矩形平面的部分框支配筋砌块砌体抗震墙房屋结构的楼层侧向刚度比和底层框架部分承担的地震倾覆力矩,应符合现行国家标准《建筑抗震设计规范》GB 50011—2010第6.1.9条的有关要求。
10.1.12 结构材料性能指标,应符合下列规定: 1 砌体材料应符合下列规定: 1)普通砖和多孔砖的强度等级不应低于MU10,其砌筑砂浆强度等级不应低于M5;蒸压灰砂普通砖、蒸压粉煤灰普通砖及混凝土砖的强度等级不应低于MU15,其砌筑砂浆强度等级不应低于Ms5(Mb5); 2)混凝土砌块的强度等级不应低于MU7.5,其砌筑砂浆强度等级不应低于Mb7.5; 3)约束砖砌体墙,其砌筑砂浆强度等级不应低于M10或Mb10; 4)配筋砌块砌体抗震墙,其混凝土空心砌块的强度等级不应低于MU10,其砌筑砂浆强度等级不应低于Mb10。 2 混凝土材料,应符合下列规定: 1)托梁,底部框架—抗震墙砌体房屋中的框架梁、框架柱、节点核芯区、混凝土墙和过渡层底板,部分框支配筋砌块砌体抗震墙结构中的框支梁和框支柱等转换构件、节点核芯区、落地混凝土墙和转换层楼板,其混凝土的强度等级不应低于C30; 2)构造柱、圈梁、水平现浇钢筋混凝土带及其他各类构件不应低于C20,砌块砌体芯柱和配筋砌块砌体抗震墙的灌孔混凝土强度等级不应低于Cb20。 3 钢筋材料应符合下列规定: 1)钢筋宜选用HRB400级钢筋和HRB335级钢筋,也可采用HPB300级钢筋; 2)托梁、框架梁、框架柱等混凝土构件和落地混凝土墙,其普通受力钢筋宜优先选用HRB400钢筋。
10.1.13 考虑地震作用组合的配筋砌体结构构件,其配置的受力钢筋的锚固和接头,除应符合本规范第9章的要求外,尚应符合下列规定: 1 纵向受拉钢筋的最小锚固长度lae,抗震等级为一、二级时,lae取1.15la,抗震等级为三级时,lae取1.05la,抗震等级为四级时,lae取1.0la,la为受拉钢筋的锚固长度,按第9.4. 3条的规定确定。 2 钢筋搭接接头,对一、二级抗震等级不小于1.2la+5d;对三、四级不小于1.2la。 3 配筋砌块砌体剪力墙的水平分布钢筋沿墙长应连续设置,两端的锚固应符合下列规定: 1)一、二级抗震等级剪力墙,水平分布钢筋可绕主筋弯180°弯钩,弯钩端部直段长度不宜小于12d;水平分布钢筋亦可弯入端部灌孔混凝土中,锚固长度不应小于30d,且不应小于250mm; 2)三、四级剪力墙,水平分布钢筋可弯入端部灌孔混凝土中,锚固长度不应小于20d,且不应小于200mm; 3)当采用焊接网片作为剪力墙水平钢筋时,应在钢筋网片的弯折端部加焊两根直径与抗剪钢筋相同的横向钢筋,弯入灌孔混凝土的长度不应小于150mm。
10.1.14 砌体结构构件进行抗震设计时,房屋的结构体系、高宽比、抗震横墙的间距、局部尺寸的限值、防震缝的设置及结构构造措施等,除满足本章规定外,尚应符合现行国家标准《建筑抗震设计规范》GB 50011的有关规定。
10.2 砖砌体构件
10.2.1 普通砖、多孔砖砌体沿阶梯形截面破坏的抗震抗剪强度设计值,应按下式确定:
fvE=ζNfv [10.2.1]
式中:fvE——砌体沿阶梯形截面破坏的抗震抗剪强度设计值; fv——非抗震设计的砌体抗剪强度设计值; ζN—— 砖砌体抗震抗剪强度的正应力影响系数,应按表10.2.1采用。
表10.2.1 砖砌体强度的正应力影响系数
|
砌体类别 |
σ0/fv |
||||||
|
0.0 |
1.0 |
3.0 |
5.0 |
7.0 |
10.0 |
12.0 |
|
|
普通砖、多孔砖 |
0.80 |
0.99 |
1.25 |
1.47 |
1.65 |
1.90 |
2.05 |
注:σ0对应于重力荷载代表值的砌体截面平均压应力。
10.2.2 普通砖、多孔砖墙体的截面抗震受剪承载力,应按下列公式验算: 1 一般情况下,应按下式验算:
V≤fvEA/γRE [10.2.2-1]
式中:V——考虑地震作用组合的墙体剪力设计值; fvE——砖砌体沿阶梯形截面破坏的抗震抗剪强度设计值; A——墙体横截面面积; γRE——承载力抗震调整系数,应按表10.1.5采用。 2 采用水平配筋的墙体,应按下式验算:
V≤1/γRE(fvEA+ζsfyhAsh) [10.2.2-2]
式中:ζs——钢筋参与工作系数,可按表10.2.2采用; fyh——墙体水平纵向钢筋的抗拉强度设计值; Ash——层间墙体竖向截面的总水平纵向钢筋面积,其配筋率不应小于0.07%且不大于0.17%。
表10.2.2 钢筋参与工作系数(ζs)
|
墙体高宽比 |
0.4 |
0.6 |
0.8 |
1.0 |
1.2 |
|
ζs |
0.10 |
0.12 |
0. 14 |
0.15 |
0.12 |
3 墙段中部基本均匀的设置构造柱,且构造柱的截面不小于240mm×240mm(当墙厚190mm时,亦可采用240mm×190mm),构造柱间距不大于4m时,可计入墙段中部构造柱对墙体受剪承载力的提高作用,并按下式进行验算:

[10.2.2-3]
式中:Ac——中部构造柱的横截面面积(对横墙和内纵墙,Ac>0.15A时,取0.15A;对外纵墙,Ac>0.25A时,取0. 25A); ft——中部构造柱的混凝土轴心抗拉强度设计值; Asc——中部构造柱的纵向钢筋截面总面积,配筋率不应小于0.6%,大于1.4%时取1.4%; fyh、fyc——分别为墙体水平钢筋、构造柱纵向钢筋的抗拉强度设计值; ζc——中部构造柱参与工作系数,居中设一根时取0.5,多于一根时取0.4; ηc——墙体约束修正系数,一般情况取1.0,构柱间距不大于3.0m时取1.1; Ash——层间墙体竖向截面的总水平纵向钢筋面积,其配筋率不应小于0.07%且不大于0.17%,水平纵向钢筋配筋率小于0.07%时取0。
10.2.3 无筋砖砌体墙的截面抗震受压承载力,按第5章计算的截面非抗震受压承载力除以承载力抗震调整系数进行计算;网状配筋砖墙、组合砖墙的截面抗震受压承载力,按第8章计算的截面非抗震受压承载力除以承载力抗震调整系数进行计算。
10.2.4 各类砖砌体房屋的现浇钢筋混凝土构造柱(以下简称构造柱),其设置应符合现行国家标准《建筑抗震设计规范》GB 50011的有关规定,并应符合下列规定: 1 构造柱设置部位应符合表10. 2.4的规定; 2 外廊式和单面走廊式的房屋,应根据房屋增加一层的层数,按表10. 2.4的要求设置构造柱,且单面走廊两侧的纵墙均应按外墙处理; 3 横墙较少的房屋,应根据房屋增加一层的层数,按表10.2.4的要求设置构造柱。当横墙较少的房屋为外廊式或单面走廊式时,应按本条2款要求设置构造柱;但6度不超过四层、7度不超过三层和8度不超过二层时应按增加二层的层数对待; 4 各层横墙很少的房屋,应按增加二层的层数设置构造柱; 5 采用蒸压灰砂普通砖和蒸压粉煤灰普通砖的砌体房屋,当砌体的抗剪强度仅达到普通黏土砖砌体的70%时(普通砂浆砌筑),应根据增加一层的层数按本条1~4款要求设置构造柱;但6度不超过四层、7度不超过三层和8度不超过二层时应按增加二层的层数对待; 6 有错层的多层房屋,在错层部位应设置墙,其与其他墙交接处应设置构造柱;在错层部位的错层楼板位置应设置现浇钢筋混凝土圈梁;当房屋层数不低于四层时,底部1/4楼层处错层部位墙中部的构造柱间距不宜大于2m。
表10.2. 4 砖砌体房屋构造柱设置要求
|
房 屋 层 数 |
设 置 部 位 |
||||
|
6度 |
7度 |
8度 |
9度 |
||
|
≤五 |
≤四 |
≤三 |
楼、电梯间四角,楼梯斜梯段上下端对应的墙体处;外墙四角和对应转角;错层部位横墙与外纵墙交接处;大房间内外墙交接处;较大洞口两侧 |
隔12m或单元横墙与外纵墙交接处;楼梯间对应的另一侧内横墙与外纵墙交接处 |
|
|
六 |
五 |
四 |
二 |
隔开间横墙(轴线)与外墙交接处;山墙与内纵墙交接处 |
|
|
七 |
六、七 |
五、六 |
三、四 |
内墙(轴线)与外墙交接处;内墙的局部较小墙垛处;内纵墙与横墙(轴线)交接处 |
|
注:1 较大洞口,内墙指不小于2.1m的洞口;外墙在内外墙交接处已设置构造柱时允许适当放宽,但洞侧墙体应加强; 2 当按本条第2~5款规定确定的层数超出表10.2. 4范围,构造柱设置要求不应低于表中相应烈度的最高要求且宜适当提高。
10.2.5 多层砖砌体房屋的构造柱应符合下列构造规定: 1 构造柱的最小截面可为180mm×240mm(墙厚190mm时为180mm×190mm);构造柱纵向钢筋宜采用4Φ12,箍筋直径可采用6mm,间距不宜大于250mm,且在柱上、下端适当加密;当6、7度超过六层、8度超过五层和9度时,构造柱纵向钢筋宜采用4Φ14,箍筋间距不应大于200mm;房屋四角的构造柱应适当加大截面及配筋; 2 构造柱与墙连接处应砌成马牙槎,沿墙高每隔500mm设2Φ6水平钢筋和Φ4分布短筋平面内点焊组成的拉结网片或Φ4点焊钢筋网片,每边伸入墙内不宜小于1m。6、7度时,底部1/3楼层,8度时底部1/2楼层,9度时全部楼层,上述拉结钢筋网片应沿墙体水平通长设置; 3 构造柱与圈梁连接处,构造柱的纵筋应在圈梁纵筋内侧穿过,保证构造柱纵筋上下贯通; 4 构造柱可不单独设置基础,但应伸入室外地面下500mm,或与埋深小于500mm的基础圈梁相连; 5 房屋高度和层数接近本规范表10.1. 2的限值时,纵、横墙内构造柱间距尚应符合下列规定: 1)横墙内的构造柱间距不宜大于层高的二倍;下部1/3楼层的构造柱间距适当减小; 2)当外纵墙开间大于3.9m时,应另设加强措施。内纵墙的构造柱间距不宜大于4.2m。
10.2.6 约束普通砖墙的构造,应符合下列规定: 1 墙段两端设有符合现行国家标准《建筑抗震设计规范》GB 50011要求的构造柱,且墙肢两端及中部构造柱的间距不大于层高或3.0m,较大洞口两侧应设置构造柱;构造柱最小截面尺寸不宜小于240mm×240mm(墙厚190mm时为240mm×190mm),边柱和角柱的截面宜适当加大;构造柱的纵筋和箍筋设置宜符合表10.2.6的要求。 2 墙体在楼、屋盖标高处均设置满足现行国家标准《建筑抗震设计规范》GB 50011要求的圈梁,上部各楼层处圈梁截面高度不宜小于150mm;圈梁纵向钢筋应采用强度等级不低于HRB335的钢筋,6、7度时不小于4Φ10;8度时不小于4Φ12;9度时不小于4Φ14;箍筋不小于Φ6。
表10.2.6 构造柱的纵筋和箍筋设置要求
|
位置 |
纵向钢筋 |
箍 筋 |
||||
|
最大配筋率(%) |
最小配筋率(%) |
最小直径(mm) |
加密区范围(mm) |
加密区间距(mm) |
最小直径(mm) |
|
|
角柱 |
1.8 |
0.8 |
14 |
全高 |
100 |
6 |
|
边柱 |
14 |
上端700 |
||||
|
中柱 |
1.4 |
0.6 |
12 |
下端500 |
||
10.2.7 房屋的楼、屋盖与承重墙构件的连接,应符合下列规定: 1 钢筋混凝土预制楼板在梁、承重墙上必须具有足够的搁置长度。当圈梁未设在板的同一标高时,板端的搁置长度,在外墙上不应小于120mm,在内墙上,不应小于100mm,在梁上不应小于80mm。当采用硬架支模连接时,搁置长度允许不满足上述要求; 2 当圈梁设在板的同一标高时,钢筋混凝土预制楼板端头应伸出钢筋,与墙体的圈梁相连接。当圈梁设在板底时,房屋端部大房间的楼盖,6度时房屋的屋盖和7~9度时房屋的楼、屋盖,钢筋混凝土预制板应相互拉结,并应与梁、墙或圈梁拉结; 3 当板的跨度大于4.8m并与外墙平行时,靠外墙的预制板侧边应与墙或圈梁拉结; 4 钢筋混凝土预制楼板侧边之间应留有不小于20mm的空隙,相邻跨预制楼板板缝宜贯通,当板缝宽度不小于50mm时应配置板缝钢筋; 5 装配整体式钢筋混凝土楼、屋盖,应在预制板叠合层上双向配置通长的水平钢筋,预制板应与后浇的叠合层有可靠的连接。现浇板和现浇叠合层应跨越承重内墙或梁,伸入外墙内长度应不小于120mm和1/2墙厚; 6 现浇或装配整体式钢筋混凝土楼、屋盖与墙体有可靠连接的房屋,应允许不另设圈梁,但楼板沿抗震墙体周边均应加强配筋并应与相应的构造柱钢筋可靠连接。
10.3 混凝土砌块砌体构件
10.3.1 混凝土砌块砌体沿阶梯形截面破坏的抗震抗剪强度设计值,应按下式计算:
fvE=ζNfv [10.3.1]
式中:fvE——砌体沿阶梯形截面破坏的抗震抗剪强度设计值; fv——非抗震设计的砌体抗剪强度设计值; ζN——砌块砌体抗震抗剪强度的正应力影响系数,应按表10.3.1采用。
表10.3.1 砌块砌体抗震抗剪强度的正应力影响系数

注:σ0为对应于重力荷载代表值的砌体截面平均压应力。
10.3.2 设置构造柱和芯柱的混凝土砌块墙体的截面抗震受剪承载力,可按下式验算:
Vb≤1/γRE[fvEA+(0.3ft1Ac1+0.3ft2Ac2+0.05fy1As1+0.05fy2As2)ζc] [10.3.2]
式中:ft1——芯柱混凝土轴心抗拉强度设计值; ft2——构造柱混凝土轴心抗拉强度设计值; Ac1——墙中部芯柱截面总面积; Ac2——墙中部构造柱截面总面积,Ac2=bh; As1——芯柱钢筋截面总面积; As2——构造柱钢筋截面总面积; fy1——芯柱钢筋抗拉强度设计值; fy2——构造柱钢筋抗拉强度设计值; ζc——芯柱和构造柱参与工作系数,可按表10.3.2采用。
表10.3.2 芯柱和构造柱参与工作系数
|
灌孔率 |
ρ<0.15 |
0.15≤ρ<0.25 |
0.25≤ρ<0.5 |
≥0.5 |
|
ζc |
0 |
1.0 |
1.10 |
1.15 |
注:灌孔率指芯柱根数(含构造柱和填实孔洞数量)与孔洞总数之比。
10.3.3 无筋混凝土砌块砌体抗震墙的截面抗震受压承载力,应按本规范第5章计算的截面非抗震受压承载力除以承载力抗震调整系数进行计算。
10.3.4 混凝土砌块房屋应按表10.3.4的要求设置钢筋混凝土芯柱。对外廊式和单面走廊式的房屋、横墙较少的房屋、各层横墙很少的房屋,尚应分别按本规范第10.2.4条第2、3、4 款关于增加层数的对应要求,按表10.3.4的要求设置芯柱。
表10.3.4 混凝土砌块房屋芯柱设置要求
|
房屋层数 |
设置部位 |
设置数量 |
|||
|
6度 |
7度 |
8度 |
9度 |
||
|
≤五 |
≤四 |
≤三 |
外墙四角和对应转角;楼、电梯间四角;楼梯斜梯段上下端对应的墙体处;大房间内外墙交接处;错层部位横墙与外纵墙交接处;隔12m或单元横墙与外纵墙交接处 |
外墙转角,灌实3个孔;内外墙交接处,灌实4个孔;楼梯斜段上下端对应的墙体处,灌实2个孔 |
|
|
六 |
五 |
四 |
一 |
同上;隔开间横墙(轴线)与外纵墙交接处 |
|
|
七 |
六 |
五 |
二 |
同上;各内墙(轴线)与外纵墙交接处;内纵墙与横墙(轴线)交接处和洞口两侧 |
外墙转角,灌实5个孔;内外墙交接处,灌实4个孔; 内墙交接处,灌实4~5个孔;洞口两侧各灌实1个孔 |
|
七 |
六 |
三 |
同上;横墙内芯柱间距不宜大于2m |
外墙转角,灌实7个孔;内外墙交接处,灌实5个孔; 内墙交接处,灌实4~5个孔;洞口两侧各灌实1个孔 |
|
注:1 外墙转角、内外墙交接处、楼电梯间四角等部位,应允许采用钢筋混凝土构造柱替代部分芯柱。 2 当按10.2.1条第2~4款规定确定的层数超出表10.3. 4范围,芯柱设置要求不应低于表中相应烈度的最高要求且宜适当提高。
10.3.5 混凝土砌块房屋混凝土芯柱,尚应满足下列要求: 1 混凝土砌块砌体墙纵横墙交接处、墙段两端和较大洞口两侧宜设置不少于单孔的芯柱; 2 有错层的多层房屋,错层部位应设置墙,墙中部的钢筋混凝土芯柱间距宜适当加密,在错层部位纵横墙交接处宜设置不少于4孔的芯柱;在错层部位的错层楼板位置尚应设置现浇钢筋混凝土圈梁; 3 为提高墙体抗震受剪承载力而设置的芯柱,宜在墙体内均匀布置,最大间距不宜大于2.0m。当房屋层数或高度等于或接近表10.1.2中限值时,纵、横墙内芯柱间距尚应符合下列要求: 1)底部1/3楼层横墙中部的芯柱间距,7、8度时不宜大于1.5m;9度时不宜大于1. 0m; 2)当外纵墙开间大于3.9m时,应另设加强措施。
10.3.6 梁支座处墙内宜设置芯柱,芯柱灌实孔数不少于3个。当8、9度房屋采用大跨梁或井字梁时,宜在梁支座处墙内设置构造柱;并应考虑梁端弯矩对墙体和构造柱的影响。
10.3.7 混凝土砌块砌体房屋的圈梁,除应符合现行国家标准《建筑抗震设计规范》GB 50011要求外,尚应符合下述构造要求:圈梁的截面宽度宜取墙宽且不应小于190mm,配筋宜符合表10.3.7的要求,箍筋直径不小于Φ6;基础圈梁的截面宽度宜取墙宽,截面高度不应小于200mm,纵筋不应少于4Φ14。
表10.3.7 混凝土砌块砌体房屋圈梁配筋要求
|
配筋 |
烈度 |
||
|
6、 7 |
8 |
9 |
|
|
最小纵筋 |
4Ø10 |
4Ø12 |
4Ø14 |
|
箍筋最大间距(mm) |
250 |
200 |
150 |
10.3.8 楼梯间墙体构件除按规定设置构造柱或芯柱外,尚应通过墙体配筋增强其抗震能力,墙体应沿墙高每隔400mm水平通长设置Φ4点焊拉结钢筋网片;楼梯间墙体中部的芯柱间距,6度时不宜大于2m;7、8度时不宜大于1.5m;9度时不宜大于1.0m;房屋层数或高度等于或接近表10.1.2中限值时,底部1/3楼层芯柱间距适当减小。
10.3.9 混凝土砌块房屋的其他抗震构造措施,尚应符合本规范第10.2节和现行国家标准《建筑抗震设计规范》GB 50011有关要求。
10.4 底部框架—抗震墙砌体房屋抗震构件
10.4. 1 底部框架—抗震墙砌体房屋中的钢筋混凝土抗震构件的截面抗震承载力应按国家现行标准《混凝土结构设计规范》GB 50010和《建筑抗震设计规范》GB 50011的规定计算。配筋砌块砌体抗震墙的截面抗震承载力应按本规范第10.5节的规定计算。
10.4.2 底部框架—抗震墙砌体房屋中,计算由地震剪力引起的柱端弯矩时,底层柱的反弯点高度比可取0.55。
10.4.3 底部框架—抗震墙砌体房屋中,底部框架、托梁和抗震墙组合的内力设计值尚应按下列要求进行调整: 1 柱的最上端和最下端组合的弯矩设计值应乘以增大系数,一、二、三级的增大系数应分别按1.5、1.25和1.15采用。 2 底部框架梁或托梁尚应按现行国家标准《建筑抗震设计规范》GB 50011—2010第6章的相关规定进行内力调整。 3 抗震墙墙肢不应出现小偏心受拉。
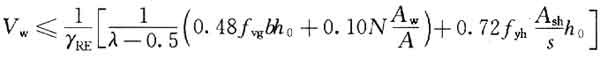
10.4. 4 底层框架—抗震墙砌体房屋中嵌砌于框架之间的砌体抗震墙,应符合本规范第10.4.8条的构造要求,其抗震验算应符合下列规定: 1 底部框架柱的轴向力和剪力,应计入砌体墙引起的附加轴向力和附加剪力,其值可按下列公式确定:
Nf=VWHf/l [10.4.4-1]Vf=VW (10.4.4-2)
式中:Nf——框架柱的附加轴压力设计值; VW——墙体承担的剪力设计值,柱两侧有墙时可取二者的较大值; Hf、l——分别为框架的层高和跨度; Vf——框架柱的附加剪力设计值。 2 嵌砌于框架之间的砌体抗震墙及两端框架柱,其抗震受剪承载力应按下式验算:

(10.4.4—3)
式中:V——嵌砌砌体墙及两端框架柱剪力设计值; γREc ——底层框架柱承载力抗震调整系数,可采用0.8; Muyc、Mlyc——分别为底层框架柱上下端的正截面受弯承载力设计值,可按现行国家标准《混凝土结构设计规范》GB 50010非抗震设计的有关公式取等号计算; H0——底层框架柱的计算高度,两侧均有砌体墙时取柱净高的2/3,其余情况取柱净高; γREw——嵌砌砌体抗震墙承载力抗震调整系数,可采用0.9; Aw0——砌体墙水平截面的计算面积,无洞口时取实际截面的1.25倍,有洞口时取截面净面积,但不计入宽度小于洞口高度1/4的墙肢截面面积。
10.4.5 由重力荷载代表值产生的框支墙梁托梁内力应按本规范第7.3节的有关规定计算。重力荷载代表值应按现行国家标准《建筑抗震设计规范》GB 50011的有关规定计算。但托梁弯矩系数αM、剪力系数βV应予增大;当抗震等级为一级时,增大系数取为1.15;当为二级时,取为1.10;当为三级时,取为1.05;当为四级时,取为1.0。
10.4.6 底部框架—抗震墙砌体房屋中底部抗震墙的厚度和数量,应由房屋的竖向刚度分布来确定。当采用约束普通砖墙时其厚度不得小于240mm;配筋砌块砌体抗震墙厚度,不应小于190mm;钢筋混凝土抗震墙厚度,不宜小于160mm;且均不宜小于层高或无支长度的1/20。
10.4.7 底部框架—抗震墙砌体房屋的底部采用钢筋混凝土抗震墙或配筋砌块砌体抗震墙时,其截面和构造应符合现行国家标准《建筑抗震设计规范》GB 50011的有关规定。配筋砌块砌体抗震墙尚应符合下列规定: 1 墙体的水平分布钢筋应采用双排布置; 2 墙体的分布钢筋和边缘构件,除应满足承载力要求外,可根据墙体抗震等级,按10.5节关于底部加强部位配筋砌块砌体抗震墙的分布钢筋和边缘构件的规定设置。
10.4.8 6度设防的底层框架—抗震墙房屋的底层采用约束普通砖墙时,其构造除应同时满足10.2.6要求外,尚应符合下列规定: 1 墙长大于4m时和洞口两侧,应在墙内增设钢筋混凝土构造柱。构造柱的纵向钢筋不宜少于4Φ14; 2 沿墙高每隔300mm设置2Φ8水平钢筋与Φ4分布短筋平面内点焊组成的通长拉结网片,并锚入框架柱内; 3 在墙体半高附近尚应设置与框架柱相连的钢筋混凝土水平系梁,系梁截面宽度不应小于墙厚,截面高度不应小于120mm,纵筋不应小于4Φ12,箍筋直径不应小于Φ6,箍筋间距不应大于200mm。
10. 4.9 底部框架—抗震墙砌体房屋的框架柱和钢筋混凝土托梁,其截面和构造除应符合现行国家标准《建筑抗震设计规范》GB 50011的有关要求外,尚应符合下列规定: 1 托梁的截面宽度不应小于300mm,截面高度不应小于跨度的1/10,当墙体在梁端附近有洞口时,梁截面高度不宜小于跨度的1/8; 2 托梁上、下部纵向贯通钢筋最小配筋率,一级时不应小于0.4%,二、三级时分别不应小于0.3%;当托墙梁受力状态为偏心受拉时,支座上部纵向钢筋至少应有50%沿梁全长贯通,下部纵向钢筋应全部直通到柱内; 3 托梁箍筋的直径不应小于10mm,间距不应大于200mm;梁端在1.5倍梁高且不小于1/5净跨范围内,以及上部墙体的洞口处和洞口两侧各500mm且不小于梁高的范围内。箍筋间距不应大于100mm; 4 托梁沿梁高每侧应设置不小于1Φ14的通长腰筋,间距不应大于200mm。
10.4.10 底部框架—抗震墙砌体房屋的上部墙体,对构造柱或芯柱的设置及其构造应符合多层砌体房屋的要求,同时应符合下列规定: 1 构造柱截面不宜小于240mm×240mm(墙厚190mm时为240mm×190mm),纵向钢筋不宜少于4Φ14,箍筋间距不宜大于200mm; 2 芯柱每孔插筋不应小于1Φ14,芯柱间应沿墙高设置间距不大于400mm的Φ4焊接水平钢筋网片; 3 顶层的窗台标高处,宜沿纵横墙通长设置的水平现浇钢筋混凝土带;其截面高度不小于60mm,宽度不小于墙厚,纵向钢筋不少于2Φ10,横向分布筋的直径不小于6mm且其间距不大于200mm。
10.4.11 过渡层墙体的材料强度等级和构造要求,应符合下列规定: 1 过渡层砌体块材的强度等级不应低于MU10,砖砌体砌筑砂浆强度的等级不应低于M10,砌块砌体砌筑砂浆强度的等级不应低于Mb10; 2 上部砌体墙的中心线宜同底部的托梁、抗震墙的中心线相重合。当过渡层砌体墙与底部框架梁、抗震墙不对齐时,应另设置托墙转换梁。并且应对底层和过渡层相关结构构件另外采取加强措施; 3 托梁上过渡层砌体墙的洞口不宜设置在框架柱或抗震墙边框柱的正上方; 4 过渡层应在底部框架柱、抗震墙边框柱、砌体抗震墙的构造柱或芯柱所对应处设置构造柱或芯柱,并宜上下贯通。过渡层墙体内的构造柱间距不宜大于层高;芯柱除按本规范第10.3.4条和10.3.5条规定外,砌块砌体墙体中部的芯柱宜均匀布置,最大间距不宜大于1m; 构造柱截面不宜小于240mm×240mm(墙厚190mm时为240mm×190mm),其纵向钢筋,6、7度时不宜少于4Φ16,8度时不宜少于4Φ18。芯柱的纵向钢筋,6、7度时不宜少于每孔1Φ16,8度时不宜少于每孔1Φ18。一般情况下,纵向钢筋应锚入下部的框架柱或混凝土墙内;当纵向钢筋锚固在托墙梁内时,托墙梁的相应位置应加强; 5 过渡层的砌体墙,凡宽度不小于1.2m的门洞和2.1m的窗洞。洞口两侧宜增设截面不小于120mm×240mm(墙厚190mm时为120mm×190mm)的构造柱或单孔芯柱; 6 过渡层砖砌体墙,在相邻构造柱间应沿墙高每隔360mm设置2Φ6通长水平钢筋与Φ4分布短筋平面内点焊组成的拉结网片或Φ4点焊钢筋网片;过渡层砌块砌体墙,在芯柱之间沿墙高应每隔400mm设置Φ4通长水平点焊钢筋网片; 7 过渡层的砌体墙在窗台标高处,应设置沿纵横墙通长的水平现浇钢筋混凝土带。
10.4.12 底部框架—抗震墙砌体房屋的楼盖应符合下列规定: 1 过渡层的底板应采用现浇钢筋混凝土楼板,且板厚不应小于120mm,并应采用双排双向配筋,配筋率分别不应小于0.25%;应少开洞、开小洞,当洞口尺寸大于800mm时,洞口周边应设置边梁; 2 其他楼层,采用装配式钢筋混凝土楼板时均应设现浇圈梁,采用现浇钢筋混凝土楼板时应允许不另设圈梁,但楼板沿抗震墙体周边均应加强配筋并应与相应的构造柱、芯柱可靠连接。
10.4.13 底部框架—抗震墙砌体房屋的其他抗震构造措施,应符合本章其他各节和现行国家标准《建筑抗震设计规范》GB 50011的有关要求。
10.5 配筋砌块砌体抗震墙
10.5.1 考虑地震作用组合的配筋砌块砌体抗震墙的正截面承载力应按本规范第9章的规定计算,但其抗力应除以承载力抗震调整系数。
10.5.2 配筋砌块砌体抗震墙承载力计算时,底部加强部位的截面组合剪力设计值 VW,应按下列规定调整: 1 当抗震等级为一级时, VW=1.6V (10.5.2—1) 2 当抗震等级为二级时, VW=1.4V (10.5.2—2) 3 当抗震等级为三级时, VW=1.2V (10.5.2—3) 4 当抗震等级为四级时, VW=1.0V (10.5.2—4) 式中:V——考虑地震作用组合的抗震墙计算截面的剪力设计值。
10.5.3 配筋砌块砌体抗震墙的截面,应符合下列规定: 1 当剪跨比大于2时:
VW≤(1/γRE)0.2fgbh0 [10.5.3-1]
2 当剪跨比小于或等于2时:
VW≤(1/γRE)0.15fgbh0 [10.5.3-2]
10.5.4 偏心受压配筋砌块砌体抗震墙的斜截面受剪承载力,应按下列公式计算:

[10.5.4-1]λ=M/Vh0 (10.5.4-2)
式中:fvg——灌孔砌块砌体的抗剪强度设计值,按本规范第3.2.2条的规定采用; M——考虑地震作用组合的抗震墙计算截面的弯矩设计值; N——考虑地震作用组合的抗震墙计算截面的轴向力设计值,当时N>0.2fgbh,取N=0.2fgbh; A——抗震墙的截面面积,其中翼缘的有效面积,可按第9.2.5条的规定计算; AW——T形或I字形截面抗震墙腹板的截面面积,对于矩形截面取AW=A; λ——计算截面的剪跨比,当λ≤1.5时,取λ=1.5;当λ≥2.2时,取λ=2.2; Ash——配置在同一截面内的水平分布钢筋的全部截面面积; fyh——水平钢筋的抗拉强度设计值; fg——灌孔砌体的抗压强度设计值; s——水平分布钢筋的竖向间距; γRE—— 承载力抗震调整系数。
10.5.5 偏心受拉配筋砌块砌体抗震墙,其斜截面受剪承载力,应按下列公式计算:

[10.5.5] 注:当0.48fvgbh0—0.17N(AW/A)<0时,取0.48fvgbh0—0.17N(AW/A)=0
10.5.6 配筋砌块砌体抗震墙跨高比大于2.5的连梁应采用钢筋混凝土连梁,其截面组合的剪力设计值和斜截面承载力,应符合现行国家标准《混凝土结构设计规范》GB 50010对连梁的有关规定;跨高比小于或等于2.5的连梁可采用配筋砌块砌体连梁,采用配筋砌块砌体连梁时,应采用相应的计算参数和指标;连梁的正截面承载力应除以相应的承载力抗震调整系数。
10.5.7 配筋砌块砌体抗震墙连梁的剪力设计值。抗震等级—、二、三级时应按下式调整,四级时可不调整:

[10.5.7]
式中:Vb——连梁的剪力设计值; ηv——剪力增大系数,一级时取1.3;二级时取1.2;三级时取1.1;

——分别为梁左、右端考虑地震作用组合的弯矩设计值; VGb——在重力荷载代表值作用下,按简支梁计算的截面剪力设计值; ln——连梁净跨。
10.5.8 抗震墙采用配筋混凝土砌块砌体连梁时,应符合下列规定: 1 连梁的截面应满足下式的要求:
Vb=1/γRE(0.15fgbh0) [10.5.8-1]
2 连梁的斜截面受剪承载力应按下式计算:

[10.5.8-2]
式中:Asv—— 配置在同一截面内的箍筋各肢的全部截面面积; fyv——箍筋的抗拉强度设计值。
10.5.9 配筋砌块砌体抗震墙的水平和竖向分布钢筋应符合下列规定,抗震墙底部加强区的高度不小于房屋高度的1/6,且不小于房屋底部两层的高度。 1 抗震墙水平分布钢筋的配筋构造应符合表10.5. 9—1的规定:
表10.5.9—1 抗震墙水平分布钢筋的配筋构造
|
抗震等级 |
最小配筋率(%) |
最大间距(mm) |
最小直径 |
|
|
一般部位 |
加强部位(mm) |
|||
|
一级 |
0.13 |
0.15 |
400 |
Φ8 |
|
二级 |
0.13 |
0.13 |
600 |
Φ8 |
|
三级 |
0.11 |
0.13 |
600 |
Φ8 |
|
四级 |
0.10 |
0.10 |
600 |
Φ6 |
注:1 水平分布钢筋宜双排布置,在顶层和底部加强部位,最大间距不应大于400mm; 2 双排水平分布钢筋应设不小于

6拉结筋,水平间距不应大于400mm。 2 抗震墙竖向分布钢筋的配筋构造应符合表10.5.9—2的规定:
表10.5.9—2 抗震墙竖向分布钢筋的配筋构造
|
抗震等级 |
最小配筋率(%) |
最大间距(mm) |
最小直径 |
|
|
一般部位 |
加强部位(mm) |
|||
|
一级 |
0.15 |
0.15 |
400 |
Φ12 |
|
二级 |
0.13 |
0.13 |
600 |
Φ12 |
|
三级 |
0.11 |
0.13 |
600 |
Φ12 |
|
四级 |
0.10 |
0.10 |
600 |
Φ12 |
注:竖向分布钢筋宜采用单排布置,直径不应大于25mm,9度时配筋率不应小于0.2%。在顶层和底部加强部位。最大间距应适当减小。
10.5.10 配筋砌块砌体抗震墙除应符合本规范第9.4.11的规定外,应在底部加强部位和轴压比大于0.4的其他部位的墙肢设置边缘构件。边缘构件的配筋范围:无翼墙端部为3孔配筋;“L”形转角节点为3孔配筋;“T”形转角节点为4孔配筋;边缘构件范围内应设置水平箍筋;配筋砌块砌体抗震墙边缘构件的配筋应符合表10.5.10的要求。
表10.5.10 配筋砌块砌体抗震墙边缘构件的配筋要求
|
抗震等级 |
每孔竖向钢筋最小量 |
水平箍筋最小直径 |
水平箍筋最大间距(mm) |
|
|
底部加强部位 |
一般部位 |
|||
|
一级 |
1Φ20(4Φ16) |
1Φ18(4Φ16) |
Φ8 |
200 |
|
二级 |
1Φ18(4Φ16) |
1Φ16(4Φ14) |
Φ6 |
200 |
|
三级 |
1Φ16(4Φ16) |
1Φ14(4Φ12) |
Φ6 |
200 |
|
四级 |
1Φ14(4Φ16) |
1Φ12(4Φ12) |
Φ6 |
200 |
注:1 边缘构件水平箍筋宜采用横筋为双筋的搭接点焊网片形式; 2 当抗震等级为二、三级时,边缘构件箍筋应采用HRB400级或RRB400级钢筋; 3 表中括号中数字为边缘构件采用混凝土边框柱时的配筋。
10.5.11 宜避免设置转角窗,否则,转角窗开间相关墙体尽端边缘构件最小纵筋直径应比表10.5.10的规定值提高一级,且转角窗开间的楼、屋面应采用现浇钢筋混凝土楼、屋面板。
10.5.12 配筋砌块砌体抗震墙在重力荷载代表值作用下的轴压比,应符合下列规定: 1 一般墙体的底部加强部位,一级(9度)不宜大于0.4,一级(8度)不宜大于0.5,二、三级不宜大于0.6,一般部位,均不宜大于0.6; 2 短肢墙体全高范围,一级不宜大于0.50,二、三级不宜大于0.60;对于无翼缘的一字形短肢墙,其轴压比限值应相应降低0.1; 3 各向墙肢截面均为3~5倍墙厚的独立小墙肢,—级不宜大于0.4,二、三级不宜大于0.5:对于无翼缘的一字形独立小墙肢,其轴压比限值应相应降低0.1。
10.5.13 配筋砌块砌体圈梁构造,应符合下列规定: 1 各楼层标高处,每道配筋砌块砌体抗震墙均应设置现浇钢筋混凝土圈梁,圈梁的宽度应为墙厚,其截面高度不宜小于200mm; 2 圈梁混凝土抗压强度不应小于相应灌孔砌块砌体的强度,且不应小于C20; 3 圈梁纵向钢筋直径不应小于墙中水平分布钢筋的直径,且不应小于4Φ12;基础圈梁纵筋不应小于4Φ12;圈梁及基础圈梁箍筋直径不应小于Φ8,间距不应大于200mm;当圈梁高度大于300mm时,应沿梁截面高度方向设置腰筋,其间距不应大于200mm,直径不应小于Φ10; 4 圈梁底部入墙顶砌块孔洞内,深度不宜小于30mm;圈梁顶部应是毛面。
10.5.14 配筋砌块砌体抗震墙连梁的构造,当采用混凝土连梁时,应符合本规范第9.4.12条的规定和现行国家标准《混凝土结构设计规范》GB 50010中有关地震区连梁的构造要求;当采用配筋砌块砌体连梁时,除应符合本规范第9. 4.13条的规定以外,尚应符合下列规定: 1 连梁上下水平钢筋锚入墙体内的长度,一、二级抗震等级不应小于1.1la,三、四级抗震等级不应小于la,且不应小于600mm; 2 连梁的箍筋应沿梁长布置,并应符合表10. 5. 4的规定:
表10.5.14 连梁箍筋的构造要求
|
抗震等级 |
箍筋加密区 |
箍筋非加密区 |
|||
|
长度 |
箍筋最大间距 |
直径 |
间距(mm) |
直径 |
|
|
一级 |
2h |
100mm,6d,1/4h中的小值 |
Ø10 |
200 |
Ø10 |
|
二级 |
1.5h |
100mm,8d,1/4h中的小值 |
Ø8 |
200 |
Ø8 |
|
三级 |
1.5h |
150mm,8d,1/4h中的小值 |
Ø8 |
200 |
Ø8 |
|
四级 |
1.5h |
150mm,8d,1/4h中的小值 |
Ø8 |
200 |
Ø8 |
注:h为连梁截面高度;加密区长度不小于600mm。 3 在顶层连梁伸入墙体的钢筋长度范围内,应设置间距不大于200mm的构造箍筋,箍筋直径应与连梁的箍筋直径相同; 4 连梁不宜开洞。当需要开洞时,应在跨中梁高1/3处预埋外径不大于200mm的钢套管,洞口上下的有效高度不应小于1/3梁高,且不应小于200mm,洞口处应配补强钢筋并在洞周边浇筑灌孔混凝土,被洞口削弱的截面应进行受剪承载力验算。
10.5.15 配筋砌块砌体抗震墙房屋的基础与抗震墙结合处的受力钢筋,当房屋高度超过50m或一级抗震等级时宜采用机械连接或焊接。
附录A 石材的规格尺寸及其强度等级的确定方法
A.0.1 石材按其加工后的外形规则程度,可分为料石和毛石,并应符合下列规定: 1 料石: 1)细料石:通过细加工,外表规则,叠砌面凹入深度不应大于10mm,截面的宽度、高度不宜小于200mm,且不宜小于长度的1/4。 2)粗料石:规格尺寸同上,但叠砌面凹入深度不应大于20mm。 3)毛料石:外形大致方正,一般不加工或仅稍加修整,高度不应小于200mm,叠砌面凹入深度不应大于25mm。 2 毛石:形状不规则,中部厚度不应小于200mm。
A.0.2 石材的强度等级,可用边长为70mm的立方体试块的抗压强度表示。抗压强度取三个试件破坏强度的平均值。试件也可采用表A. 0.2所列边长尺寸的立方体,但应对其试验结果乘以相应的换算系数后方可作为石材的强度等级。
表A. 0.2 石材强度等级的换算系数
|
立方体边长(mm) |
200 |
150 |
100 |
70 |
50 |
|
换算系数 |
1.43 |
1.28 |
1.14 |
1 |
0.86 |
A.0.3 石砌体中的石材应选用无明显风化的天然石材。
附录B 各类砌体强度平均值的计算公式和强度标准值
B.0.1 各类砌体的强度平均值应符合下列规定: 1 各类砌体的轴心抗压强度平均值应按表B.0.1—1中计算公式确定:
表B.0.1—1 轴心抗压强度平均值 fm (MPa)
|
砌体种类 |
|
||
|
k1 |
a |
k2 |
|
|
烧结普通砖、烧结多孔砖、蒸压灰砂普通砖、蒸压粉煤灰普通砖、混凝土普通砖、混凝土多孔砖 |
0.78 |
0.5 |
当f2<1时,k2=0.6+0.4f2 |
|
混凝上砌块、轻集料 混凝土砌块 |
0.46 |
0.9 |
当f2=0时,k2=0.8 |
|
毛料石 |
0.79 |
0.5 |
当f2<1时,k2=0.6+0.4f2 |
|
毛 石 |
0.22 |
0.5 |
当f2<2.5时,k2=0.4+0.24f2 |
注:1 k2在表列条件以外时均等于1; 2 式中f1为块体(砖、石、砌块)的强度等级值;f2为砂浆抗压强度于均值。单位均以MPa计; 3 混凝土砌块砌体的轴心抗压强度平均值,当f2>10MPa时,应乘系数1.1—0.01f2,MU20的砌体应乘系数0.95,且满足f1≥f2,f1≤20MPa。 2 各类砌体的轴心抗拉强度平均值、弯曲抗拉强度平均值和抗剪强度平均值应按表B.0.1—2中计算公式确定:
表B. 0.1—2 轴心抗拉强度平均值 ft,m 、弯曲抗拉强度平均值 ftm,m 和抗剪强度平均值 fv,m (MPa)
|
砌 体 种 类 |
ft,m=k3√f2 |
ftm,m=k4√f2 |
fv,m=k5√f2 |
|
|
k3 |
k4 |
k5 |
||
|
沿齿缝 |
沿通缝 |
|||
|
烧结普通砖、烧结多孔砖、混凝土普通砖、混凝土多孔砖 |
0. 141 |
0. 250 |
0.125 |
0.125 |
|
蒸压灰砂普通砖、蒸压粉煤灰普通砖 |
0. 09 |
0.18 |
0.09 |
0.09 |
|
混凝土砌块 |
0. 069 |
0.081 |
0.056 |
0. 069 |
|
毛 料 石 |
0. 075 |
0.113 |
— |
0.188 |
B.0.2 各类砌体的强度标准值按表B.0. 2—1~表B.0. 2—5采用:
表B.0. 2—1 烧结普通砖和烧结多孔砖砌体的抗压强度标准值 fk (MPa)
|
砖强度等级 |
砂浆强度等级 |
砂浆强度 |
||||
|
M15 |
M10 |
M7.5 |
M5 |
M2.5 |
0 |
|
|
MU30 |
6.30 |
5.23 |
4.69 |
4.15 |
3.61 |
1.84 |
|
MU25 |
5.75 |
4.77 |
4.28 |
3.79 |
3.30 |
1.68 |
|
MU20 |
5.15 |
4.27 |
3.83 |
3.39 |
2.95 |
1.50 |
|
MU15 |
4.46 |
3.70 |
3.32 |
2.94 |
2.56 |
1.30 |
|
MU10 |
— |
3.02 |
2.71 |
2.40 |
2.09 |
1.07 |
表B.0. 2—2 混凝土砌块砌体的抗压强度标准值 fk (MPa)
|
砌块强度等级 |
砂浆强度等级 |
砂浆强度 |
||||
|
Mb20 |
Mb15 |
Mb10 |
Mb7.5 |
Mb5 |
0 |
|
|
MU20 |
10.08 |
9.08 |
7.93 |
7.11 |
6.30 |
3.73 |
|
MU15 |
— |
7.38 |
6.44 |
5.78 |
5.12 |
3.03 |
|
MU10 |
— |
— |
4.47 |
4.01 |
3.55 |
2.10 |
|
MU7.5 |
— |
— |
— |
3.10 |
2.74 |
1.62 |
|
MU5 |
— |
— |
— |
— |
1.90 |
1.13 |
表B.0. 2—3 毛石料砌体的抗压强度标准值 fk (MPa)
|
料石强度等级 |
砂浆强度等级 |
砂浆强度 |
||
|
M7.5 |
M5 |
M2.5 |
0 |
|
|
MU100 |
8.67 |
7.68 |
6.68 |
3.41 |
|
MU80 |
7.76 |
6.87 |
5.98 |
3.05 |
|
MU60 |
6.72 |
5.95 |
5.18 |
2.64 |
|
MU50 |
6.13 |
5.43 |
4.72 |
2.41 |
|
MU40 |
5.49 |
4.86 |
4.23 |
2.16 |
|
MU30 |
4.75 |
4.20 |
3.66 |
1.87 |
|
MU20 |
3.88 |
3.43 |
2.99 |
1.53 |
表B.0. 2—4 毛石砌体的抗压强度标准值 fk (MPa)
|
毛石强度等级 |
砂浆强度等级 |
砂浆强度 |
||
|
M7.5 |
M5 |
M2.5 |
0 |
|
|
MU100 |
2.03 |
1.80 |
1.56 |
0.53 |
|
MU80 |
1.82 |
1.61 |
1.40 |
0.48 |
|
MU60 |
1.57 |
1.39 |
1.21 |
0.41 |
|
MU50 |
1.44 |
1.27 |
1.11 |
0.38 |
|
MU40 |
1.28 |
1.14 |
0.99 |
0.34 |
|
MU30 |
1.11 |
0.98 |
0.86 |
0.29 |
|
MU20 |
0.91 |
0.80 |
0.70 |
0.24 |
表B.0.2—5 沿砌体灰缝截面破坏时的轴心抗拉强度标准值 ft,k 、弯曲抗拉强度标准值 ftm,k 和抗剪强度标准值 fv,k (MPa)
|
强度类别 |
破坏特征 |
砌 体 种 类 |
砂浆强度等级 |
|||
|
≥M10 |
M7.5 |
M5 |
M2.5 |
|||
|
轴心抗拉 |
沿齿缝 |
烧结普通砖、烧结多孔砖、混凝土普通砖、混凝土多孔砖 |
0.30 |
0.26 |
0.21 |
0.15 |
|
蒸压灰砂普通砖、蒸压粉煤灰普通砖 |
0.19 |
0.16 |
0.13 |
— |
||
|
混凝土砌块 |
0.15 |
0.13 |
0.10 |
— |
||
|
毛石 |
— |
0.12 |
0.10 |
0.07 |
||
|
弯曲抗拉 |
沿齿缝 |
烧结普通砖、烧结多孔砖、混凝土普通砖、混凝土多孔砖 |
0.53 |
0.46 |
0.38 |
0.27 |
|
蒸压灰砂普通砖、蒸压粉煤灰普通砖 |
0.38 |
0.32 |
0.26 |
— |
||
|
混凝土砌块 |
0.17 |
0.15 |
0.12 |
— |
||
|
毛石 |
— |
0.18 |
0.14 |
0.10 |
||
|
沿通缝 |
烧结普通砖、烧结多孔砖、混凝土普通砖、混凝土多孔砖 |
0.27 |
0.23 |
0.19 |
0.13 |
|
|
蒸压灰砂普通砖、蒸压粉煤灰普通砖 |
0.19 |
0.16 |
0.13 |
— |
||
|
混凝土砌块 |
— |
0.10 |
0.08 |
— |
||
|
抗剪 |
烧结普道砖、烧结多孔砖、混凝土普通砖、混凝土多孔砖 |
0.27 |
0.23 |
0.19 |
0.13 |
|
|
蒸压灰砂普通砖、蒸压粉煤灰普通砖 |
0.19 |
0.16 |
0.13 |
— |
||
|
混凝土砌块 |
0.15 |
0.13 |
0.10 |
— |
||
|
毛石 |
— |
0.29 |
0.24 |
0.17 |
||
附录C 刚弹性方案房屋的静力计算方法
C.0.1 水平荷载(风荷载)作用下,刚弹性方案房屋墙、柱内力分析可按以下方法计算,并将两步结果叠加,得出最后内力: 1 在平面计算简图中,各层横梁与柱连接处加水平铰支杆,计算其在水平荷载(风荷载)作用下无侧移时的内力与各支杆反力Ri(图C. 0.1a)。 2 考虑房屋的空间作用,将各支杆反力Ri乘以由表4.2.4查得的相应空间性能影响系数ηi,并反向施加于节点上,计算其内力(图C. 0. 1b)。

图C.0.1 刚弹性方案房屋的静力计算简图
附录D 影响系数Φ和ΦN
D.0.1 无筋砌体矩形截面单向偏心受压构件(图D.0.1)承载力的影响系数φ,可按表D.0.1—1~表D.0.1—3采用或按下列公式计算。计算T形截面受压构件的φ时,应以折算厚度hT代替(D.0.1—2)中的h。hT=3.5i,i为T形截面的回转半径。

图D.0.1单向偏心受压
当β≤3时:

(D.0.1—1)
当β>3时:

(D.0.1—2)φ0=1/(1+αβ2) (D.0.1—3)
式中:e——轴向力的偏心距; h——矩形截面的轴向力偏心方向的边长; φ0——轴心受压构件的稳定系数; α——与砂浆强度等级有关的系数,当砂浆强度等级大于或等于M5时,α等于0.0015;当砂浆强度等级等于M2.5时,α等于0.002;当砂浆强度等级f2等于0时,α等于0.009; β——构件的高厚比。
表D.0.1—1 影响系数φ(砂浆强度等级≥M5)

表D.0.1—2 影响系数φ(砂浆强度等级M2.5)

表D.0.1—3 影响系数φ(砂浆强度等级0)

D.0.2 网状配筋砖砌体矩形截面单向偏心受压构件承载力的影响系数φn,可按表D.0.2采用或按下列公式计算:

(D.0.2—1)φ0n=1/[1+(0.0015+0.45ρ)β2] (D.0.2—2)
式中:φ0n——网状配筋砖砌体受压构件的稳定系数; ρ——配筋率(体积比)。
表D.0.2 影响系数φ
|
ρ(%) |
e/h β |
0 |
0.05 |
0.10 |
0.15 |
0.17 |
|
0.1 |
4 |
0.97 |
0.89 |
0.78 |
0.67 |
0.63 |
|
6 |
0.93 |
0.84 |
0.73 |
0.62 |
0.58 |
|
|
8 |
0.89 |
0.78 |
0.67 |
0.57 |
0.53 |
|
|
10 |
0.84 |
0.72 |
0.62 |
0.52 |
0.48 |
|
|
12 |
0.78 |
0.67 |
0.56 |
0.48 |
0.44 |
|
|
14 |
0.72 |
0.61 |
0.52 |
0.44 |
0.41 |
|
|
16 |
0.67 |
0.56 |
0.47 |
0.40 |
0.37 |
|
|
0.3 |
4 |
0.96 |
0.87 |
0.76 |
0.65 |
0.61 |
|
6 |
0.91 |
0.80 |
0.69 |
0.59 |
0.55 |
|
|
8 |
0.84 |
0.74 |
0.62 |
0.53 |
0.49 |
|
|
10 |
0.78 |
0.67 |
0.56 |
0.47 |
0.44 |
|
|
12 |
0.71 |
0.60 |
0.51 |
0.43 |
0.40 |
|
|
14 |
0.64 |
0.54 |
0.46 |
0.38 |
0.36 |
|
|
16 |
0.58 |
0.49 |
0.41 |
0.35 |
0.32 |
|
|
0.5 |
4 |
0.94 |
0.85 |
0.74 |
0.63 |
0.59 |
|
6 |
0.88 |
0.77 |
0.66 |
0.56 |
0.52 |
|
|
8 |
0.81 |
0.69 |
0.59 |
0.50 |
0.46 |
|
|
10 |
0.73 |
0.62 |
0.52 |
0.44 |
0.41 |
|
|
12 |
0.65 |
0.55 |
0.46 |
0.39 |
0.36 |
|
|
14 |
0.58 |
0.49 |
0.41 |
0.35 |
0.32 |
|
|
16 |
0.51 |
0.43 |
0.36 |
0.31 |
0.29 |
|
|
0.7 |
4 |
0.93 |
0.83 |
0.72 |
0.61 |
0.57 |
|
6 |
0.86 |
0.75 |
0.63 |
0.53 |
0.50 |
|
|
8 |
0.77 |
0.66 |
0.56 |
0.47 |
0.43 |
|
|
10 |
0.68 |
0.58 |
0.49 |
0.41 |
0.38 |
|
|
12 |
0.60 |
0.50 |
0.42 |
0.36 |
0.33 |
|
|
14 |
0.52 |
0.44 |
0.37 |
0.31 |
0.30 |
|
|
16 |
0.46 |
0.38 |
0.33 |
0.28 |
0.26 |
|
|
0.9 |
4 |
0.92 |
0.82 |
0.71 |
0.60 |
0.56 |
|
6 |
0.83 |
0.72 |
0.61 |
0.52 |
0.48 |
|
|
8 |
0.73 |
0.63 |
0.53 |
0.45 |
0.42 |
|
|
10 |
0.64 |
0.54 |
0.46 |
0.38 |
0.36 |
|
|
12 |
0.55 |
0.47 |
0.39 |
0.33 |
0.31 |
|
|
14 |
0.48 |
0.40 |
0.34 |
0.29 |
0.27 |
|
|
16 |
0.41 |
0.35 |
0.30 |
0.25 |
0.24 |
|
|
1.0 |
4 |
0.91 |
0.81 |
0.70 |
0.59 |
0.55 |
|
6 |
0.82 |
0.71 |
0.60 |
0.51 |
0.47 |
|
|
8 |
0.72 |
0.61 |
0.52 |
0.43 |
0.41 |
|
|
10 |
0.62 |
0.53 |
0.44 |
0.37 |
0.35 |
|
|
12 |
0.54 |
0.45 |
0.38 |
0.32 |
0.30 |
|
|
14 |
0.46 |
0.39 |
0.33 |
0.28 |
0.26 |
|
|
16 |
0.39 |
0.34 |
0.28 |
0.24 |
0.23 |
D.0.3 无筋砌体矩形截面双向偏心受压构件(图D.0.3)承载力的影响系数,可按下列公式计算,当一个方向的偏心率(eb/b或eh/h)不大于另一个方向的偏心率的5%时,可简化按另一个方向的单向偏心受压,按本规范第D .0.1条的规定确定承载力的影响系数。

图D. 0.3 双向偏心受压

(D. 0.3—1)

(D. 0.3—2)

(D. 0.3—3)
式中:eb、eh——轴向力在截面重心x轴、y轴方向的偏心距,eb、eh宜分别不大于0.5x和0.5y; x、y——自截面重心沿x轴、y轴至轴向力所在偏心方向截面边缘的距离; eib、eih——轴向力在截面重心x轴、y轴方向的附加偏心距。
