前 言
本文从传统的人类体温测量开始展开介绍非接触式温度测量的实现原理,以及结合人工智能技术的体温监测技术。
温度测量方法
温度测量的目的是将物体(如人体)的温度更加接近“实际”温度的用数字表述出来。而人体温度是指人体的表面温度,正常一般在36~37摄氏度。这里的36~37摄氏度一般指人类体表(腋窝)的温度,医疗上的还有体内温度,体内温度这里不展开讨论,本文主要讨论的是体表体温的测量。
温度的测量(包括体表体温)根据传感器的不同大概分为接触式、非接触式两大类:

接触式的体温测量仪有:水银体温计、电子体温计、额温枪等,生活中很常见,基本都有使用,这里不做讨论。下面主要讨论的是非接触式的温度测量。
非接触式体温测量
非接触式温度测量常用的有基于电磁波(可见光、红外线)、基于超声波的方式,如下:

01
基于超声波温度测量
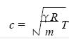
根据超声波在介质中的传播速度是介质成分和绝对温度的函数:

其中c :声波在传播介质中传播速度,m/ s ;
γ :传播介质绝热指数(等于定压比热容与定容比热容之比) ;
R :传播介质常数,8. 314 J / (mol·K) ;
m :传播介质摩尔量,kg/ mol ;
T :传播介质绝对温度,K;
测得超声波在传播介质中的传输时间跟距离,即可得到传播的速度,再根据上述公式即可得到传播介质的温度。
该测试方法在火灾、工业等方面的温度测量有很大的优势,但是在测量物体(如人体,非液体、气体)不擅长。下面我们讨论测量物体温度擅长的测量方法。
02
基于电磁波温度测量
自然界中,凡是绝对温度大于零度(-273℃)的物体都能辐射与自身性质、温度相关的电磁波能量,辐射出去的电磁波在各个波段是不同的,这种现象为热辐射现象或者黑体辐射。而电磁波的能量是跟物体的温度是相关的,所以可以通过测量电磁波的能量大小来间接的测量物体的温度。测量方法有可见光温度测量、红外线温度测量两种:
可见光温度测量
该方法多作为经验测试方法,多用于工业(如炼钢的钢水)。大致规律是:温度越低火焰会偏黄偏暖;温度越高火焰会偏蓝偏冷。
因为黑体辐射的电磁波是连续波长的光,只是各波长的比例随温度变化而变化,颜色也相应而变;当温度越低,短波长的光(蓝光、紫光)越少,长波长的光(红光、橙光)越多,即火焰会偏黄偏暖;温度越高,短波长的光越多,长波长的光越少,即火焰会偏蓝偏冷。
利用可见光来测量物体的温度很不灵敏,在温度几百摄氏度上千摄氏度的场景可以使用。但是在测量温度比较低、变化范围比较窄的物体如人体,可见光的测量就无能为力了。这时我们需要用到黑体辐射(热辐射现象)的另一个波长的电磁波红外线来测量温度。
红外线温度测量
红外线辐射是自然界存在的一种最为广泛的电磁波辐射,它是基于任何物体在常规环境下都会产生自身的分子和原子无规则的运动,并不停地辐射出热红外能量,分子和原子的运动愈剧烈,辐射的能量愈大,反之,辐射的能量愈小。
这些物体因为自身的热运动(分子运动)辐射的热红外跟普通摄像头“看到”物体的光是不一样的,物体之所以能被看到,是因为有可见光照射,物体再将可见光反射进摄像头(或者人的眼睛)。可见光跟红外线都属于电磁波,但是波长不一样,下面介绍电磁波光谱。
电磁波光谱
如下图整个电磁波光谱可以分为:X光、紫外线、可见光、红外线、电磁波几大类。
其中红外线一般分为波长为0.78~2.0微米的近红外,波长为2.0~1000微米的远红外线。跟温度相关的红外线为远红外线,但是因为红外线传送过程中受到大气组成物质( 特别是H2O、CO2、CH4 、N2O、O3等)的吸收,能量衰减,仅在波长3~5微米及波长8~12微米的两个波段有较好的穿透率,红外热像仪主要是针对这两个波段进行检测,并计算物体的表面温度分布。此外,由于红外线对极大部份的固体及液体物质的穿透能力极差,因此红外热成像检测是以测量物体表面的红外线辐射能量为主。
整个电磁波频谱如下所示:

热成像
被测物发射的红外线辐射通过光学镜头收集后被红外探测器所获取,通过红外探测器检测被测物的红外辐射能量。辐射能量和温度存在对应关系,通过信号处理系统将辐射能量即温度通过不同灰度显示出来,灰度的不同代表温度不同。再通过黑体(用于标定红外系统的基准源)进行测温标定,建立灰度与温度的准确对应关系,来实现测温功能。
整体如下图所示:

当然也可以不使用黑体,单使用热成像仪也能测量体温,但是需要在温度变化不大的环境,常见的红外线温度测量仪如下图所示:

配图来源于网络
红外线体温计的优点是采集体温方便、简单、快捷,而且相当准确。
基于红外线的高精度温度测量仪一般由热成像摄像头、黑体两个部分组成。
热成像摄像机
现实生活中,我们需要借助热成像摄像机来进行红外线辐射的捕获。热成像摄像头主要功能是将被测物发射的红外线转换成不同灰度显示出来,灰度的不同代表温度不同,不同的灰度图像就对应着不同的温度,达到测试温度的目的。
热成像摄像机包含光学镜头、红外探测器、信号处理系统和防护罩等,如图所示。

可以发现热成像的原理跟普通相机原理差别不大。热成像与普通相机的另外一大差异就在于镜头,红外热像仪镜头通常采用的是锗玻璃制成。这种玻璃的折射系数很高。只对红外光透明,而对可见光和紫外光不透明,所以能在很暗的环境下分别动植物,红外热像仪镜头相比普通相机的镜头中采用的普锗稀散金属元素,因为锗镜头的生产成本较高,市场售价往往高于普通的相机镜头。
黑体
引入黑体的目的是让测量仪输出的温度尽可能地接近“实际”温度。
因为热成像摄像机工作时会受到内部及外部的环境影响,如空调、人流环境温度扰动。所以实际测量中存在比较大的误差,即使在稳定的环境也难以做到跟水银体温测量仪的±0.2摄氏度的误差。所以需要引入一个基准,就是“黑体”。简单说黑体就是一个恒温目标,用于给热成像摄像机不停的做矫正。黑体向外界的辐射红外线仅仅是自身温度产生的红外线,是一种理想化的辐射源,能将外界辐射能量完全吸收,没有能量的反射和透过。
黑体是一种假想物体,早在17世纪就已经出现,科学家们制作了一种黑体:光子从物体的开口进入,在腔体内反射没法出去。就像在电梯等铁盒子里手机没有信号的原理一样,外界的电磁波进了电梯等铁盒子没法出去。所以就能完全吸收外界辐射的能量,黑体辐射的能量仅与自身的温度有关。如下图所示:

配图来源于网络
黑体产生一个标准温度,并且黑体的辐射系数比较高,接近1。所以把黑体作为一个标准源,通过测量标准源上面的温度,来比较红外线探测器的测量准确。整体步骤如下:
1)黑体作为标准源设定固定温度(光谱能量)
2)热成像摄像机采集人体与黑体的红外数据,标定黑体辐射源
3)红外数据转换成不同灰度显示出来,灰度的不同代表温度不同
4)通过标准源温度与采集到的对应区域灰度映射校正得到最终温度值。
安装时需要将黑体辐射源设置在热成像摄像机视野范围内,建立灰度与温度的准确对应关系,进行测量温度实时校正,将视频画面和个人体温对应显示,可以大幅度提高人体测温的精度,减少测温误差到±0.2℃。
安装位置如下:

避免测温过程像机与黑体间存在遮挡,热成像像机与黑体采用同侧安装,人行通道在另一侧。
可以发现目前主流的温度测量方式基本是基于红外线的。简单来说,红外传感器在接收到物体发出的能量后,通过其光学系统将红外能量转换成电信号,通过模型算法及参数校准,将其转换为医用级的高精度温度值。具有快速、非接触检测的优势。
03
AI助力非接触式测体温
前面介绍的基于红外线的温度测量已经很好了,但是为什么需要AI助力,AI能做什么,AI助力之后还能解决什么问题?
下面我们将详细说明。
任何一个产品不会是一个技术就解决了所有的问题,红外线的温度测量不可否认具有很大的优势,如非接触式(甚至远距离测量)、准确度高、测量时间短。不过红外测量温度也仅仅是测量温度的功能,可以理解成就是一个传感器,要想将这个传感器用好,一般需要一个更高级的决策、控制系统,这个系统可以是人,例如现在的公共场所防疫的情形,人工去使用红外线体温测量仪找到体温异常用户并采取相应的措施;当然这个系统也可以是基于AI的系统,下面说说AI能做什么。
▲
目前的AI助力做了什么
所谓的AI,Artificial Intelligence(人工智能),是研究、开发用于模拟、延伸和扩展人的智能的理论、方法、技术及应用系统的一门新的技术科学。研究的领域包括机器人、语言识别、图像识别、自然语言处理和专家系统等。
这么一门丰富的技术,在温度测量中用到一小部分助力就能获得处理能力质的飞跃。市面上常见的基于AI之类的温度测量方案,基本上只使用了AI领域的图像识别的部分技术:目标检测。如常用的基于AI温度测量方案一般的处理流程如下:

可以发现,使用了AI的部分技术目标检测助力之后,原来的单纯的红外线温度检测得到了很大的提升,如下(以公共场所的防疫为例):
1、测量时无需配合,测量时间短、通行率高,人流量大时也不会出现拥堵;
2、测量过程中不需要人工介入,能大大降低近距离接触感染的可能。
仅运用了AI领域的目标检测就能为温度测量增加了大大的便利,但是AI能做的只有目标检测一部分?当然不是。
▲
AI还能做什么
目标检测在AI领域只能算一个初级应用,并没有体现出Intelligence(智能),如果引入AI的智能决策后,会怎么样,在基于AI温度测量方案一般的处理流程加入决策,修改后的处理方案如下:

引入决策系统后,能将所有的单独运行的热成像系统链接起来,汇总数据,决策系统担任中央处理系统的角色,那么这个系统能做的就不仅仅是温度测量的事了,以防疫工作为例,能解决的事如下:
1、能完成温度异常用户的轨迹跟踪,如地铁站上的异常体温乘客站进出站、接触了哪些人,从而能追踪到跟异常体温接触的用户;
2、同时借助AI能识别出公共场合的用户是否佩戴口罩、是否存在奔跑等异常行为,然后对用户给出提醒,同时通知管理人员。在现在这种疫情时期特别适用;
3、通过AI决策系统对各个摄像头传回的数据进行综合分析,给出各个温度异常用户的分布情况,再结合每个场合的人流量就能预测可能出现疫情的地点,防疫人员可以提前做出部署,做到真正的预防接触传染。
4、引入AI的集成学习系统,还能对疫情的趋势进行分析,为公共场合的管控提供依据,做到知己知彼的合理管控,在减少传播感染的同时还能最小程度的减少因为管控对出行的影响。
除了防疫工作,AI结合红外温度测量还能在监控、安防、工业、军事等领域发挥重要的作用,如监控领域可以结合红外温度测量及决策系统给出更准确的决策,红外线温度测量补齐了普通摄像头某些情况下没法“看到”的短板;还有军事领域的伪装人类的查找、定位等。
总之,AI助力之后,能将非接触式温度测量的优势发挥更好,不管是在防疫时期,还是监控、安防、工业、军事等领域都能发挥出重要的作用。
总结
自从伽利略在16世纪时发明了第一个体温计后,相继出现了水银体温计、电子体温计、红外体温计。测量时间由原来的十几分钟、几分钟到现在的一秒钟;测量方式也由接触式的到非接触式;测量单位由单个到多个目标同时测量。
随着AI技术的加持,温度测量方案能够实现远距离、24小时不间断的完成人体表面温度监测或者别的领域的温度监测、跟踪、预测等,具有更好的便捷性和安全性。