在阅读此文前,诚邀您请点点右上方的“关注”,既方便您进行讨论与分享,还能及时阅读最新内容,感谢您的支持。
化学成分与其他质量鉴定指标的关联分析
李东亮等认为烟叶化学成分众多, 并且指标间的关系既独立又联系, 本质上是一种“灰色”关系, 灰色关联在研究烟叶质量评价指标关系中具有 较大优势 。在烟叶质量评价时, 指标间的相互关系一直是研究热点, 已报道的化学成分与外观质量、物理特性及感官质量间的关系研究大多采用相关分析、通径分析和回归等方法。 如李东亮等和邓小华等分别采用方差分析和典型相关分析研究了烟叶化学成分同外观质量的关系, 指出了两组变量间相关性达到显著水平的指标。

烟叶内在成分复杂多变, 单一变量间及变量组间的相关性不仅是简单对应关系, 更多是复杂的网状联系, 传统关系分析方法已满足不了实验需要, 而利用灰色关联却能揭示多变量间的网状联系, 全面认知烟叶品质指标间的关系。

陈伟等对烤烟的*碱烟**含量与物理性状关系进行了灰色关联分析, 设*碱烟**含量参考数列X0, 设各物理性状 (如长宽比、单叶面积和单叶重等) 分别为比较数列Xi。利用公式计算出*碱烟**与各物理性状间的关联度值并进行排序, 结果表明, 单叶重与*碱烟**关系最为密切, 二者关联度值为0.777 8, 其次顺序为单叶面积>叶面密度, 而*碱烟**同含梗率和长/宽比的关联度却较小, 试验分析结果与采用逐步回归和通径分析结果一致。该研究认为, 在*草烟**大田栽培生产实践中, 应根据*碱烟**的调控目标来划定合适的单叶重和单叶面积范围, 且还需兼顾各物理性状的协调发展。

邓小华采用标准化处理转换烟叶化学指标原始数据后, 取分辨系数ρ=0.1、Δmin=0, 再与参考数列焦油量进行灰色关联分析, 结果表明, 焦油与总植物碱的关联度数值最大, 二者关系最为紧密, 其后顺序表现为总氮>氯>钾>硫>还原糖>总糖。这说明影响烤烟焦油量作用最大的化学指标是总植物碱, 这与相关分析中焦油量与总植物碱存在极显著正相关的结论相一致。

试验成果对烤烟的降焦减害研究具有现实指导意义, 暗示降低上部烟叶总植物碱含量可作为降焦减害的有效方法。邓小华[35]基于灰色关联分析还指出, 烤烟中不同品质指标对焦油量的影响程度存在差异, 如外观质量指标中的成熟度对焦油量贡献最大, 物理特性指标里贡献最大的是叶片厚度, 化学成分指标是*碱烟**含量, 而评吸质量指标是燃烧性。

胡建军等同样采用灰色关联分析模型来研究烟叶主要化学成分与感官质量的关系, 首先令参考数列X0={X0 (k) , k=1, 2, ……, 27}, X0依次表示X0香气量、X0香气质、X0杂气、X0刺激性、X0劲头、X0余味、X0浓度, 其中k表示相应烟叶等级, 设比较数列Xi={Xi (k) , k=1, 2, ……, 27}, Xi依次表示Xi总糖、Xi总氯、Xi*碱烟**、Xi蛋白质、Xi糖碱比。另外, 该研究还推导出正负关联计算公式, 区别出了因素间关联的正负关系, 结果表明, 化学成分总氮、*碱烟**和蛋白质等指标与感官指标劲头、浓度在5%水平上正相关, 而与香气质、香气量、刺激性和余味等感官指标呈显著负相关;总糖、糖碱比等化学指标与香气质量等感官指标呈显著正相关, 而与吸食劲头等呈显著负相关。

胡建军等还对表征烤烟品质优劣的化学指标进行了新的诠释, 认为*碱烟**含量和总氮是较为重要的化学指标, 总氮含量对香气量的影响较为明显, 而*碱烟**对劲头含量的影响最为显著, 以往对糖碱比等单一指标参数的解读过于片面, 可能需要修正一些评价观念。

谭仲夏等[37]以样品综合感官评吸为参考数列, 比较数列依次为总糖、还原糖、总氮、*碱烟**、蛋白质、K2O含量、糖差、糖碱比、氮碱比, 对各化学指标与感官评分计算关联度并加以排序, 评价了各烟叶内在质量因子对感官质量的影响程度, 首次提出以总糖和糖差为主效指标而其余因子为辅助指标的观点。邱坤等对不同品种烤烟内在品质与香气质量进行灰色关联分析, 结果表明, 与香气量关系最密切的化学指标依次是总氮>蛋白质>*碱烟**>总糖>钾, 其次顺序表现为施木克值>还原糖>氯>糖碱比>钾氯比; 与烟气香气质量关系最密切的因素排序是总氮>*碱烟**>蛋白质>总糖>还原糖, 其次是钾>施木克值>氯>糖碱比>钾氯比。

灰色关联分析模型是对运行机制模糊的灰色关系进行序列化和模式化, 进而量化和序化灰色关系, 为复杂系统的建模提供重要的分析手段。其原理是依据比较数列与参考数列几何形状的相似程度来判断因素间关联程度, 此法能解决线性关系不明确的问题。为了定量描述出系统因素间的关联程度, 各种形式的相关系数被相继提出, 但这些是建立在具备大量数据的数理统计理论上的, 相比之下, 计算量小的灰关联分析应用更加方便, 结果与定性分析吻合。灰色关联方法的评价结果与以往统计方法有部分出入, 在*草烟**质量评价因素分析上具有明显优势, 在分析烟叶不同组分间相互关系上具有较大潜力。 事实证明, 通过灰色关联分析方法计算和把握灰色关联度, 能够区分出烟叶化学组分因素主次关系, 深入挖掘数据信息。

灰色关联度模型
1.不同关联度模型算法比较
作为灰色关联分析的实质, 灰色关联度的量化模型可直接影响到关联分析结果, 其模型的算法优化一直是研究热点。从起初的邓氏关联度到绝对关联度、T型关联度、斜率关联度、C型关联度等, 灰色关联度的算法得到了改进和拓展, 依据构造原理可概括为3类:以距离定义的关联度模型、以斜率定义的关联度模型、以斜率差定义的关联度模型。

2.绝对关联度
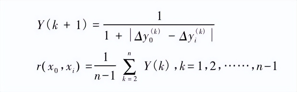
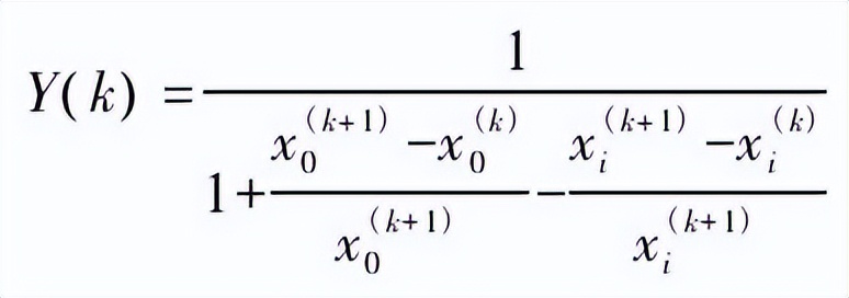
绝对关联度是依据因素间的时间序列曲线变化势态相似度来计算, 取决于某一时段上两时间序列曲线斜率的接近程度, 如果两曲线在对应时段上斜率一样或相差很小, 表明二者的关联度大。绝对关联度计算公式如下:

式中Δy0 (k+1) =y0 (k+1) -y0k, yi (k) =xik/xi1
若绝对关联度r>0.6接近于1, 则说明两因素的关联性紧密;若r<0.5接近于0, 则关联性差。虽然绝对关联度克服了邓氏关联度的部分缺陷, 但其在规范性、一致性和临界值的确定上仍存在较大缺陷, 数据的初值化转换干扰了关联度的排序, 结论还有待验证。

3.T型关联度
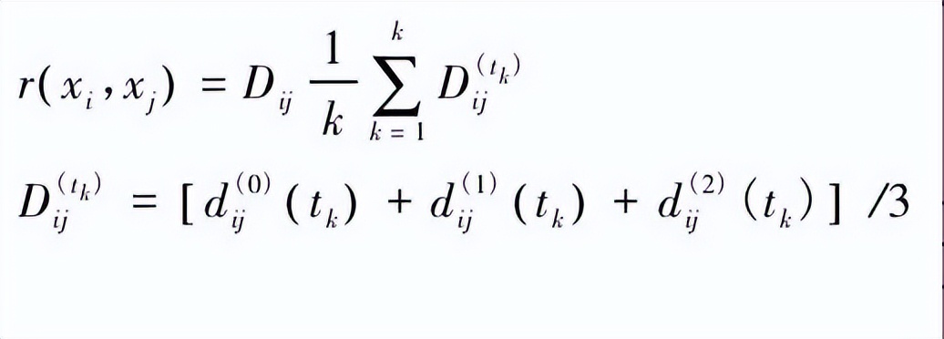
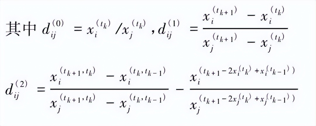
T型关联度的原理是依据时间序列相对变化态势的相似程度来计算关联度, 两离散时间序列变化态势的相似度是由序列在时段Δtk=tk-tk-1间标准化后的原始变量增量大小来计算, 如果对应时段间的两Δtk增量一样或接近, 则认为两序列在时段Δtk间的关联度大, 反之则小。两时间序列的关联度是由各时段Δtk间关联系数的加权平均数所得, Δtk为权数[46,47]。T型关联度计算公式如下:


T型关联度考虑了时间这个重要因素, 具备对称性、唯一性和可比性, 即使各关联度中的参照序列不一样, 也具备可比性。另外, T型关联度还具有规范性, 当关联度|r (x1, x2) |≤1且r (x1, x2) =1当且仅当x2 (tk) =x1 (tk) +c (k=1, 2, ……, n;c为常数) 时, 认为时间序列x1与x2是平行关系。
4.斜率关联度
斜率关联度的基本思想是根据系统因素时间序列曲线的平均相对变化势态的相似程度来计算其灰色关联度。


斜率关联度具备对称性、唯一性和可比性的特性, 只与序列变化率有关, 而与其在空间的相对位置没有关系, 数据量纲化处理不会影响其关联度的值, 斜率关联度可表征出两比较序列间正负关系。
5.C型关联度
C型关联分析既适用于动态分析, 又可应用于总体分析, 是在“同异*动反**态关联分析”中提出的基于标准事物与分析对象间关于速度、位移对立性、差异性、同一性等基础上构建的一种关联分析方法, 其计算公式如下:



吕锋等选用实际数例对各关联度模型进行算法比较, 发现以上关联度模型均存在缺陷, 均无法满足灰色关联公理。目前这些关联度计算模型存在以下不足: (1) 关联度不具有对称性。关联度可以被认为是衡量两个因素序列之间的相关性, 那么就应当具备对称性; (2) 关联度的值不具有唯一性。影响关联度的因素有许多, 如参考序列和比较序列的数据分辨系数、转换方式等不同均会对最后的关联度值产生影响, 造成关联度不具备唯一性; (3) 不能同时满足平行性和一致性; (4) 对负关联度的研究较少。实际上两个因素序列之间的相关关系, 既有正相关, 也有负相关。

6.加权关联度模型
一般关联度是由视为等权的点关联系数平均值所得, 而实际上不同点关联系数的可信度有一定差异, 直接平均计算缺乏可信性。当部分指标超标情况严重时, 等权平均会掩盖重点变动指标对于整体评价结果的影响, 加权关联度对不同时点关联系数赋予了相应的权重值, 有效控制了关联系数的波动性, 使得评价结果更贴合实际。各时点关联系数的权重定义是加权关联度的核心, 对其模型评价的精度有明显影响, 指标权重的确定有数十种方法之多, 主观人为确定对评价结果干扰较大。客观赋权法效果可能更好, 如孟宪林等采用功能区类别方法对表征水质优劣的各个指标赋予不同权重, 构建了水质加权关联度评价模型, 提高了地表水环境功能评价的准确性。加权关联度计算公式如下:

另有研究表明, 可依据各个指标值变异程度, 计算熵值来确定各目标权重系数并对全部指标进行加权, 构建出基于灰熵优化的加权关联度模型, 最后, 对评价内容进行客观综合评价。如果某个目标的信息熵越小, 就表明其指标变异度越大, 蕴含的信息量越大, 则其应被给予较大权重;若目标信息熵越大, 其权重则相应越小。

展望
烟叶质量是一个比较模糊的概念, 在化学成分这个复杂集合内大量信息未能充分显示, 而灰色系统理论正是基于这种“贫信息”基础上建立起来的, 通过对已知数据信息的分析挖掘, 将灰色信息“白化”可使得整个系统平台更为明朗清晰, 使决策者掌握更为准确的信息和更高的信息质量, 以便做出最优决策。应用于烟叶质量评价中的灰色方法只是灰色系统理论中一部分, 作为一种能够充分挖掘数据信息的数学思想, 灰色系统理论使烟叶质量评价更为规范和科学, 灰色系统在*草烟**质量评价上的应用是比较合理的, 比传统统计方法更具有优势。