科学无国界
我们是知识的搬运工
认真阅读下面的文章,并思考文末互动提出的问题,严格按照 互动:你的答案 格式在评论区留言,就有机会获得由 中信出版·大方和梯 提供的优质科普书籍 《太空是什么形状的?》 一套。

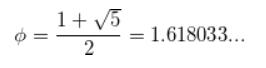
“ 黄金比例 ”是一个我们已经习以为常的概念,关于它的故事我们已经听得很多了,然而数学家们还想到一个新奇的角度——从“剪指甲”开始,竟然也能剪出“ 黄金比例 ”来,不光如此,还有其他所谓的“ 金属数字 ”。由此引出了一系列有趣的性质。
这篇文章将会向您讲述一个优美的几何问题,并由此延伸到一类特殊的数字: 由著名的黄金比例推广而来的金属数字。
黄金比例来源于下面的几何问题:给定一条线,将其分成一条长线段和一条短线段,使得整条线段的长度和长线段之比等于长线段和短线段之比。

令(A+B)/A=A/B
我们把长线段命名为A,短线段为B,取(A+B)/A=A/B,这样就得到了黄金比例:

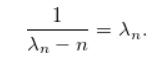
我们也可以尝试将原始线段分成n段较长的线段(都称为A)和一段长度较短的线段(成为B)。仍然要保证整条线段与A的长度之比等于A与B的比。这个问题中的数字我们称之为金属数字,我们叫它 λ n 。对于所有的自然数n≥1,λ n 满足:

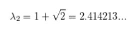
黄金比例对应λ 1 ,那么对于n=2,我们以此类推,把它叫做白银比例,


像这样分割线段,其中就包含了白银比例
事不宜迟,现在我们就来看看与金属数字有着有趣的联系的几何问题吧!它的出发点十分简单,一切从剪指甲说起……
指甲问题
假设你现在要剪指甲,指甲刀找不到了,只有一把能剪直线的剪刀。你能通过不断剪直线,剪出圆润光滑的、更短的指甲吗?
为了分析这个问题,我们先来做一些简单的假设。我们可以用一个半圆来近似表示指甲的形状。为了方便,设半圆的半径为1。

一个半径为1的半圆
对于剪指甲,我们需要一个直截了当的方法。我们要先将圆剪成一个等边三角形,像这样:

我们将底边叫做基准边。除了基准边外的每条边,我们将他们叫做外露边,它们的长度都相同。由勾股定理,此时外露边的长度是,之后每一步都剪去一个角,于是这个形状有了更多的外露边,且每条长度都相等:

剪指甲的步骤。由上到下依次为:2条外露边,1个外露顶点;3条外露边,2个外露顶点;4条外露边,3个外露顶点;5条外露边,4个外露顶点;6条外露边,5个外露顶点;(无限增加)
我们所剪出的形状实际上是正多边形的一部分。剪的次数越多,对应的正多边形的边数就越多。如果我们有无限多的时间,就可以一直剪下去,多边形的边数就会趋近无穷大。事实证明就像下面要讲的完整圆问题一样,这样做下去最终会形成一个圆弧。

给一个正多边形添加更多的边,就会越来越逼近一个圆
白银比例
新剪出来的指甲比原来的短多少呢?要算出这个量,首先要知道描述指甲形状的那个圆(我们称作圆O),是由哪些特征来定义的。首先我们注意到,三角形基准边的两个端点(在下图中用红点标注),这两点是在最终的圆上的。这是因为在我们的操作中,这两个点从未被剪掉。等腰三角形的两个外露边是最终形成的圆的切线。

基准边的终点是圆O上的点,两条外露边是在这些点处与圆相切的
我们知道,在圆上一点处,切线与半径是互相垂直的。因此我们得到了圆O的两条半径,在下方的图中用绿线表示。

绿线是圆O的半径
根据图中的对称性,你会更加确信两条半径与刚开始的等腰三角形的两条外露边具有同样的长度,也就是。并且,两条半径恰好在原始圆的“南极”相交。当然了,圆O的两条半径相交于圆O的圆心。所以我们知道了圆O的圆心就是初始圆形的南极,且圆O的半径是。
现在我们从原始三角形的基准线出发来测量高度。原始的指甲在基准线以上的高度是1(初始圆的半径)。

指甲在剪过之后,高度变成原来的多少倍
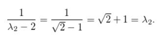
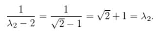
我们可以很容易地看到新指甲的长度是-1。现在我们有

就像上面提到的一样,这个数字被称作白银比例λ 2 ,上面的式子反映了这样一个事实:

但除此之外还有更多有意思的东西……
圆的家族
在我们上面的的问题中,第二个圆的圆心是在第一个圆的南极处,并且半径扩大了倍。由此我们还可以构造第三个圆:圆心是第二个圆的南极,半径是第二个圆的半径乘上。同样地,我们可以由第三个圆画出第四个,以此类推,画出一个无限的圆家族。在这个家族中,后一个圆的半径大小总是前一个圆的倍,且圆心在上一个圆的南极处。

一个圆的家族
这一系列圆之间的交点也延伸出了一个有趣的性质。这些交点分布于两条直线上,我们把这些直线叫做交点直线。

交点直线如图所示,其中y轴的截距正是白银比例
其实,这两条线中也蕴含了白银比例。他们在y轴上的交点坐标是(0,λ 2 )。(你可以自己试着算一下。这里给出一个证明 )
我们讨论指甲问题时,到处都有白银比例的身影。如果你算一下,你会发现这似乎取决于下面这个式子:

更多的金属数字
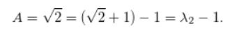
上面我们用一种方式构造了一系列圆。若是将这种方式推广,我们就可以通过构造圆来得到所有其他的金属数字。我们把这个比例叫做A。上面的结构中,A=,这是与下式的白银比例相联系的:

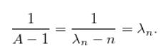
那么,如果对于任意其他自然数n,我们用类比的方法,令这个比例等于A n = λ n -(n-1),会产生什么样的结果呢?
同样,从一个半径为1,圆心位于(0,0)的圆开始构建圆的家族。第二个圆的圆心落在第一个圆的南极位置,即(0,-1),它的半径是A n 。第一个圆的最高点到x轴的距离与第二个圆最高点到x轴的距离的比值是:

上文我们用两个圆弧代表了指甲的形状,这里正是上文结果的一个类比。

两个圆x轴以上部分的高度之比
那么交点直线呢?可以证明,对于A=λn-(n-1),两条交点直线会相交在y轴的(0, λn )点处。
下面的这个交互小程序可以让你尝试各种不同大小的比值A。小程序里点击右侧区域上方的双箭头,可以隐藏左边的区域,方便看到图的更多部分。为了帮您找到对应于金属数字的值,头四个是:

作者: Gokul Rajiv Yong Zheng Yew
翻译:xux
审校:Dannis
原文链接:
https://plus.maths.org/content/fingernail-problem-and-metallic-numbers
tian
福
tian
利
xiang
时
shang
间
今天我们将送出由 中信出版·大方和梯 提供的优质科普书籍 《太空是什么形状的? 》 。

2016年,LIGO和它的兄弟观测台首次发现了引力波存在的证据;2017年,卡西尼号在完成对土星的超近距离观测后终结了它20年的使命;2019年,首张黑洞照片拍摄制作完成;2020年,SpaceX完成人类历史上第一次民营太空公司载人航天任务……21世纪以来,我们对太空的探索取得了惊人的成就,但我们对太空的困惑依然很多。 “太 空有边界吗? 宇宙的膨胀有终点吗? 暗物质、暗能量是什么? 如果平行宇宙存在,我们怎么看待自己的命运与存在呢?”面对这么多问题, 本书已经把相关的关键概念和关键节点一网打尽,让你在加入讨论前获得充分的装备,在纷繁的话题丛林中不再迷路。本书还特别采用分层排版,请以适合你的任意方式开始探索吧!
【互 动 问题:你还知道 哪些源自生活的有趣数学问题? 】
请大家严格按照 互动:问题答案 的格式在读者讨论区(不用在评论区啦)留言参与互动,格式不符合要求者无效。
截止到本周四中午12:00,点赞数排名第二、四、五的朋友将获得我们送出的图书一本。
为了保证更多的朋友能够参与获奖 ,过往四期内获过奖的朋友不能再获得奖品,名次会依次顺延
*本活动仅限于微信平台
编辑:Dannis
近期热门文章Top10
↓ 点击标题即可查看 ↓
1. 蟹黄到底是蟹的什么器官?
2. 吃太多被退货,也就大熊猫干得出来
3. 为什么妖怪吃唐僧都用蒸的?| No.230
4. 远 古 巨 猫
5. 量子力学都不懂?还在说你知道量子科技?
6. 玻璃,竟然还可以这么智能!!!
7. 食堂的“一两”包子、“二两”饭,你吃饱了吗?
8. 《自然》封面:刷新纪录!室温超导在超高压下首次被实现
9. 为什么冰箱是个柜子,而冰柜又是个箱子?| No.229
10. 这年头,不懂些物理都不好意思说自己是合格的吃货