塑料的吸水性是指塑料吸收水分的能力。由于塑料中即使含有极少量水分也能显著影响其某些主要性能,如力学性能、电性能或光学性能,因此绝不能忽视塑料的吸水性。
吸水性是塑料的重要指标之一。了解吸水性,为合理选择材料,制订加工工艺,确定使用范围提供重要的依据。特别是在制订加工工艺时,对吸水性强的塑料材料,加工前都必须进行严格的干燥处理。因此在塑料生产中和制品使用过程中对吸水指标都有要求。
塑料的吸水性很大程度上取决于材料的基本类型和最终组成。只含有氢和碳的材料,例如聚乙烯和聚苯乙烯,都很耐水;而含有氧或氢氧基团的材料则很容易吸水,醋酸纤维素和尼龙是强吸水性塑料的典型例子。含有氯、溴或氟的材料具有防水性,氟碳化合物如聚四氟乙烯就是防水材料之一。加入填料、玻璃纤维和增塑剂后,这些添加剂会改变塑料的吸水性。
(一)试验原理
将试样完全浸入水中或置于相对湿度为50%的空气中,在规定温度下一定时间后,测定试样在试验之前和之后的质量差异,吸水性用质量差异和初始质量的百分数表示。在生产中,也可以通过测定干燥除水后试样的质量变化即失水量来表示。
(二)试验方法
塑料的吸水性试验参照国标GB/T 1034- -2008《塑料吸水性的测定》来进行测定,这里介绍最常用的两种方法,分别为:“23°C水中吸水量的测定”和"相对湿度50%环境中吸水量的测定”。
(三)试验步骤
(1)23℃水中吸水量的测定
①将试样成人(50.0土2.0)℃烘箱中干燥至少24h,确切时间依赖于试样厚度,之后在干燥器内冷却至室温,称量每个试样的质量m1,精确至0. 1mg,重复测量至试样质量变化稳定在土0.1mg内;
②将试样放入装有蒸馏水的容器中,按照相关标准规定,水温应控制在(23. 0士1.0)℃或(23.0土2.0)℃。 浸泡(24土1)h后, 取出试样,用清洁干布或滤纸迅速擦去试样表面所有的水,再次称量每个试样,精确至0. lmg (质量m2),从水中取出试样后,剩余操作应在1min内完成。
注:若考虑材料中可能含有水溶物,在完成上述步骤后,可以重复测量干燥试样的步骤,直到试样的质量m3恒定。
(2)相对湿度50%环境中吸水量的测定
①将试样放入(50.0土2.0)°C烘箱中干燥至少24h,确切时间需要依赖于试样厚度,之后在干燥器内冷却至室温,称量每个试样的质量m1,精确至0.lmg,重复测量至试样质量变化稳定在士0.1mg内。
②将试样放入相对湿度为(50士5)%的 容器或房间内,温度应控制在(23.0士1.0)C或(23.0士2.0)C。 放置(24+1)h后,称量每个试样,精确至0. 1mg (质量m2),从相对湿度为(50士5)%的容器或房间内取出试样后,剩余操作应在1min内完成。
(四)结果处理
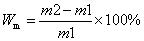
吸水率用试样相当于初始质量的吸水质量分数表示:

吸水质量分数
或

吸水质量分数
某些情况下,需要用试样相当于最终干燥后的质量表示:

吸水质量分数
(五)影响因素
(1)试样的尺寸和形状
水分通过与塑料表面接触进人塑料,因此试样的尺寸和形状是影响塑料吸水性的重要因素,因此标准规定每-类型的材料有统一尺寸和取材方法,如:薄膜、管材、片、棒直接在产品中截取;压制、注射等采用模具加工制成。
(2)试样的环境条件
要求尽可能在标准环境中进行,否则结果不准确,如:试样浸水再擦干后再次称量时,如果温度过高,湿度过低,那么称量时因为水分蒸发,质量会不断减轻,使结果偏低。
(3)水温及浸水时间要求
浸泡时的水温和漫水时间会影响吸水性,通常水温提高,浸水时间延长,吸水性会增大。因此,为了保证结果可靠有效,需要严格控制水温及浸水时间。
【免责声明:内容摘自网络,仅供参考学习】