粘胶纤维属于人造纤维的一个主要品种,属于再生纤维素纤维。由天然纤维素经碱化而成碱纤维素,再与二硫化碳作用生成纤维素黄原酸,溶解于稀碱液内得到的粘稠溶液称粘胶,粘胶经湿法纺丝和一系列后处理工序即成粘胶纤维。
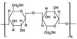
基本组成是纤维素 (C6H10O5)n ,与棉相似,较耐碱而不耐酸,但耐碱耐酸性均较棉差。其染色性与棉相似,染色色谱全,染色性能良好。

横截面为锯齿形,纵向平直有沟槽。


粘胶纤维的基本组成是纤维素 (C6H10O5)n ,与棉相似,密度与棉纤维接近。此外粘胶纤维的热学性质也与棉相似。
粘胶纤维的断裂强度、初始模量以及定伸长回弹率都较棉纤维小,相比之下,棉纤维的稳定性更好。

粘胶纤维化学性质:
1)较耐碱而不耐酸,但耐碱耐酸性均较棉差。
2)粘纤的染色性能与吸湿性能和纤维本身含有大量羟基(—OH)有着密切关系,羟基基团大量吸附水分子或其它分子,吸湿性越好的纤维染色性就越好。
3)粘胶纤维由于它在制造过程中经历过多次物理和化学反应造成纤维素大分子团裂解,使其大分子变短,分子间隙较大,排列也疏松零乱,分子中的羟基可极性也好,在这些方面要比棉花更胜一筹。所以粘胶纤维的染色性比棉花要好一些,不仅适用染料多、色谱广,染色的色彩也鲜艳。

粘胶纤维的主要品种:
1 普通粘胶纤维
(1)粘胶棉型短纤维切断长度35~40mm,纤度1.1~2.8dtex(1.0~2.5旦)与棉混纺可做细布、凡立丁、华达呢(350g/m2)等。
(2)粘胶毛型短纤维,切断长度51~76mm,纤度3.3~6.6dtex(3.0~6.0旦),可纯纺,也可与羊毛混纺,可做花呢,大衣呢等。
2 富强纤维
(1)是粘胶纤维的改良品种。
(2)纯纺可做细布、府绸等。
(3)与棉、涤等混纺,生产各种服装。
(4)耐碱性好,织成织物挺括,洗涤后不会收缩和变形,较为耐穿耐用。
3 粘胶丝
(1)可做服装、被面、床上用品和装饰品。
(2)粘胶丝与棉纱交织,可做羽纱,线绨被面。
(3)粘胶丝与蚕丝交织,可做乔其纱,织锦缎等。
(4)粘胶线与涤、锦长丝交织,可做晶彩缎、古香缎等。
4 粘胶强力丝
(1)强力比普通粘胶丝高一倍。
(2)加捻织成帘子布,用于汽车、拖拉机、马车轮胎。
5 高卷曲高湿模量粘胶纤维
高卷曲高湿模量粘胶纤维(以HR表示)是新一代粘胶纤维,它具有较高的强度和湿模量、适中的伸长和良好的卷曲性能,加上粘胶纤维本身又具备优良的吸湿性、透气性、不产生静电、染色性能好、纤度和长度可灵活调整等特点,是一种性能较为全面的纺织纤维原料。
粘胶纤维和粘胶织物的特点:
1)粘胶纤维吸湿性好,可纺性优良,常与棉、毛或各种合成纤维混纺、交织、用于各类服装及装饰用纺织品。
2)粘胶纤维面料具有超强的抗静电性能,不会产生附着在身体上的感觉,因而十分滑爽,特别适合运动穿着。其含湿率最符合人体皮肤的生理要求,具有良好的透气性和调湿功能,被国内外媒体一致称为 “会呼吸的面料”。它的织物具有手感柔软、光滑凉爽、透气、抗静电、染色绚丽等优点。
3)粘胶纤维织物缺点是手感较重,弹性差并且容易褶皱,不挺括;不耐水洗、不耐磨、容易起毛、尺寸稳固性差,缩水率较高。