
空山新雨后,天气晚来秋。明月松间照,清泉石上流。竹喧归浣女,莲动下渔舟。随意春芳歇,王孙自可留。

山居秋暝——浣女归来
相当美的一首诗,从诗中就能想象得到,在清澈的河流旁坐着位端庄的淑女,一件件衣服,像河水里的鱼儿,污渍随着河流而下,浣女的脸上露出了微笑。
当然,我们从环保角度来讲这样洗衣服是不好的,不仅浪费水资源还污染环境,不提倡,那么问题来了:是不是衣服洗的次数越多,越干净呢?

请看这个问题:假如洗衣机里有一缸用洗衣粉洗好第一遍的衣服,再清洗就可以了,假如污渍(洗衣粉泡沫加上污渍)重a千克,现在共有30千克水,那么是先加入少量水再加入大量水洗,还是先加入大量水后加入少量水洗?这两种方法哪种洗的更干净呢?还有没有更好的方案呢?
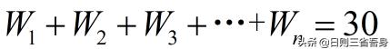
假设第一遍洗过的衣服连水共重10千克,设将30千克水分n次来使用,水量分别是w1,W2,W3,……Wn,且

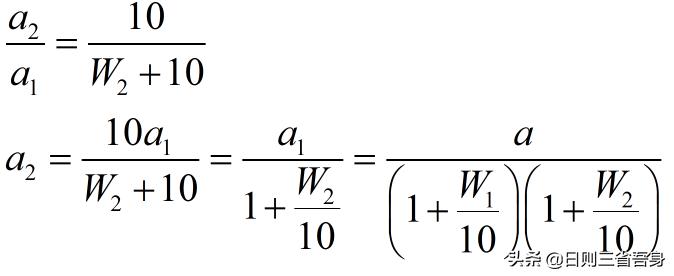
第一次,将衣服放在W1千克的水中漂洗,设a千克的污渍均匀溶在(W1+10)千克水中,漂洗后,衣服连水仍然重10千克。那么,根据比例关系,我们可以求出,经过第一次漂洗后,污渍还剩a1,见下图

同理,经过第二次漂洗,污渍剩余a2,见下图

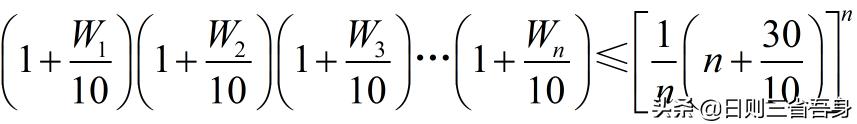
以此类推,进行到最后一次时,衣服上残留的污渍重量为:

从上式中知:a是常数,要使残留污渍的量最小,必须使等号右边的分母最大,即

最大即可.
引入概念:平均不等式
任意n个非负实数,W1,W2,W3,……Wn,的算术平均值不小于它们的几何平均. 如下式:

等号的取得条件是:W1=W2=W3=……Wn.
将此不等式用于

得:

即:

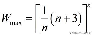
且当W1=W2=W3=……=Wn时,即将30千克水平均分n份时,污渍残留最少,效果最好。
很明显,分得次数越多,残留越少,效果越好,那么,从综合角度考虑,将时间因素,衣物磨损因素等加进去,n取多少时最好呢,两次?三次?五次?十次?它们之间的差别有多大呢?在这里,我们设

见下表:

从表中可以看出,分三次洗的话,污渍重量已经不足原来的八分之一了,以后的变化率不是太大,已经很干净了,所以综合考虑的话,漂洗三次为最佳,省钱,环保,节能。
我们研究数学要深层次些,因为上表中各项数据仍在变化,它们是否收敛呢?(有无最值),我们将n值放大,见下表:

由表可见,当n取100亿和1000亿时,剩余污渍量趋于相同,接近20.0855419……
下面,我们再将Wmax那一行的数字开3次方(为什么开3次方,因为水的重量30千克是衣服重量10千克的3倍),得结果如下:

这些三次方根无限趋近于一个常数:2.71828……
没错,这就是欧拉发现的自然底数e≈2.71828……它和圆周率在数学上的地位同等重要,并且这两个数也有着千丝万缕的联系,我们下次再介绍这个神奇的数字e.