免责声明:中学生创作,仅供交流,不作为学习的理论依据,若您需要通过网络知识提升自己,请看其他平台的知识,WhatToLearn不是传播知识的媒介,而是中学生交流平台。

2022年普通高等学校招生全国统一考试(浙江卷)试题回归课本分析

(II)|CD|
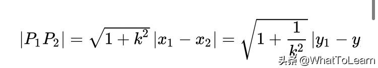
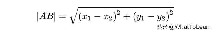
求两点距离的公式
1.斜率式(点在斜率为k直线上)

2.两点式

如何选择斜率式还是两点式,在圆锥曲线中一般选择斜率式。
既然是斜率问题,那么自然就离不开圆锥曲线三部曲:一设、二立、三韦达(前面我们分析过)
问题?
一设:是设C(x1,y2),D(x1,y2)还是设A(x1,y2),B(x1,y2)?
如果设C,D那么这两点是未知的,因为你只知道有两点在直线l上,却不知道它的位置,所以应该设A,B,因为PA,PB与直线l有交点,直线的交点就是C,D的位置,即知道C、D在直线上位置,我们就可以通过斜率式计算|CD|的距离.
AB的方程为:y=nx+m(韦达定理必用方程)
PA的方程为y=ax+b(为了求点C坐标而设)
PB的方程y=cx+d(为了求点D坐标而设)
二联立:
联立圆锥曲线与直线AB的方程(必要方程)
联立PA与直线l求点C的横坐标(或纵坐标)
联立PB与直线l求点D的横(或纵)坐标
三韦达:
求A,B横(或纵)坐标的和与积
当你做到这一步的时候,基本结束了,但是这里是求最值。
求最值的方法有常见的求最值方法有:1.配方法:2.判别式法:3.利用函数的单调性 首先明确函数的定义域和单调性,4.利用均值不等式,5.换元法:6.数形结合法7.利用导数求函数最值.
注意:这几种方法需要联合起来一起用