求圆体积公式
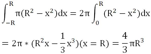
球体半径R,把球平行地切成许多圆形薄片,每个圆形薄片的半径r=√(R²-x²)(x是该薄片到球心的距离,更准确地说是横向坐标,范围是-R到R)。

因此薄片的面积是π(R²-x²),
球体体积=薄片体积的和=薄片面积的和×薄片厚度d
相当于对π(R²-x²)这个式子,让x从-R到+R以间距d走一遍求和,再乘以d
相当于求积分:

如果看不懂积分,就写成求和式计算,再让d趋于无穷小。
求圆表面积公式
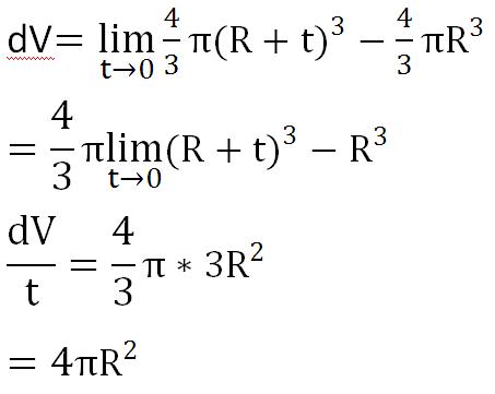
从几何思考,半径增长一点,体积增长多少?
把球看成洋葱那样一层一层的球壳包起来的,设球壳厚度是t。
当一个球的半径从R增加到R+t时,其体积从4/3πR³增加到了4/3π(R+t)³
同时相当于,这个球增加了一个厚度为t的壳。
因此dV就是增加的壳的体积,而dV/t则是壳的表面积:

圆的周长2πr与面积

从以上图形可以很直观地看出,圆的半径微分为dr,展开后可以近似为一个以R为底,2πr为高的三角形,可得面积为πr²。
如果从定积分的角度去分析,变量r,对应直线函数2πr,则直线下的面积∫2πrdr=πr²。
辐射积分
我们的生活中,存在辐射现象。太阳源源不断的把太阳能辐射到地球,冬天取暖用的火炉向外辐射能量。其实数学中也存在这样的“辐射现象”,不过我们先要了解辐射的特点。辐射无非就是说,辐射源不间断的向四面八方的空间均匀的发射能量;看来它的特点是:辐射源、发射方向四面八方、变化是均匀的。在几何中符合辐射条件的几何空间群有是:圆、圆柱、球。
圆是以圆心为辐射源,圆柱是以中心轴L为辐射源,球是以球心为辐射源。这样的辐射几何空间是有定积分的,把他们的辐射单元求和(积分)就可以得到相应的圆的面积、圆柱和球的体积了,我把它们这样形式的定积分称为辐射积分。
球的体积的导数 = 球的表面;
圆的面积的导数 = 圆的周长;
圆的周长的导数 = 整个圆的圆周角;
因为圆是最特别的图形。
圆的周长:
= ∑小扇形的弧长
= ∑圆的半径×小扇形的弧度
= ∑圆的半径×Δθ
= r∑Δθ
= 2πr
=∫rdθ
= 2πr
圆的面积:
= ∑小圆环的周长×小圆环的宽度
= ∑2πr×Δr
=∫2πrdr
= πr²
球的体积 = ∑小球壳的面积×小球壳的厚度。
= ∑4πr²×Δr
=∫4πr²dr
= 4πr³/3
这些都是积分基本思想、基本方法。
就是:“分割、求和、取极限(过渡到积分)”。
导数是指空间变化率:
如果球体的半径在变,对半径的求导的意义是:
“半径每变化一个单位所引起的球体体积大小的变化”
它在大小的量值上正好等于球表面的面积。
圆的面积、周长的解释完全类似。
但对于椭圆(球)、三角形、正方形、立方体...都不成立!
正方体的体积与面积的关系
正方体要处理成体积的导数就是表面积,必须要换求导变量。
原因是方体的原边x的微小增量是不和体积的增量成表面积变化关系。
先看一下正方体的组成,它是由6个锥体拼凑而成,6个锥体的顶点对称在正方体的空间中心,它们的底面是6个正方形表面。
正方体体积v=x³,也就等于6个锥体的体积和(那么每个锥体体积为vz=1/6*x^3),
单独一个锥体的高度h=1/2*x,x为正方体的边长。
正方体表面积s=6x²,
由h=1/2*x, x=2h,
v=(2h)³=8h³
s=6(2h)²=24h²
dv=s=24h²
h其实就是沿正方体底面到正方体空间中心的距离,(6个锥体的高)。
从视觉上判断,h的微小变化,可以导致正方体表体如洋葱一样剥离表面。
假设将球镀上一层非常薄的金属膜(原球半径是r,膜厚度为dr),那么膜的体积就是V(r+dr)-V(r)=V’*dr
又由于膜非常薄,故体积=面积*dr=S*dr
所以,dV=V’*dr=S*dr
S=V’
球体积是球半径R的函数,对R求导数才能得球面表面积。
如果用直径D来表示的话,则球体积v(D)=π*D³/6,对D的导数v’(D)=π*D²/2,而球的表面积为π*D²,显然v’(D)并不是球的表面积。
而对正方体也是如此,若取正方体边长的一半做为变量,则V=(2a)³=8a³,求导得v’=24a²=表面积。
-End-