电容思维导图如下:

电容有四大作用:去耦、耦合(隔直通交)、滤波、储能。今天我们主要谈论去耦作用。
电容封装

相信大家都用过这几种电容,板子上最多的是多层陶瓷电容。
钽电容:主要用在电源电路中,博主被它炸过很多次......
去耦电容

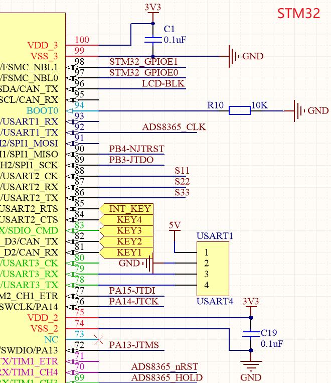
这是 STM32F103 最小系统原理图,STM32F103VET6 需要五路 3.3V 供电,他的 3.3V 一般来源于 LDO(低压差线性稳压器),比如 LM1117

LDO 比 DC-DC 的方式(TPS5430)更能提供稳定的电压,但对芯片来说依旧不够,我们需要在芯片供电引脚旁边加上 0.1uF 的去耦电容,让电压中的高频交流部分从电容走到地,从而芯片可以获得稳定的直流电压。因此, 去耦电容的摆放需要尽量靠近芯片管脚。
嵌入式物联网需要学的东西真的非常多,千万不要学错了路线和内容,导致工资要不上去!
无偿分享大家一个资料包,差不多150多G。里面学习内容、面经、项目都比较新也比较全!某鱼上买估计至少要好几十。
点击这里找小助理0元领取:点击文中蓝色字体领取吖


为什么是 0.1uF ?
分析电源完整性的时候我们常用的电容模型如下图所示:

ESR 是电容的串联等效电阻,ESL 是电容的串联等效电感,C 才是真正的理想电容。ESR 和 ESL 是由电容的制造工艺和材料决定的,没法消除。ESR 影响电源的纹波,ESL 影响电容的滤波频率特性。
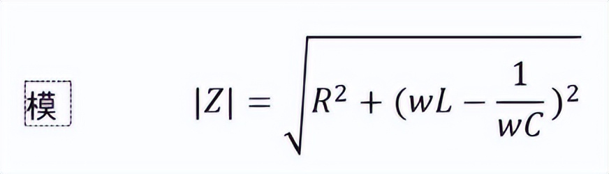
因此,有如下公式:


当频率很低的时候是电容起作用,而频率高到一定的时候电感的作用就不可忽视了,再高的时候电感就起主导作用了。电容就失去滤波的作用了。所以,高频的时候电容就不是单纯的电容了。实际电容的滤波曲线如下图所示。

参见上图,我们想要的最好的滤波效果是在“谷”底,就是曲线凹进去的尖尖,在这个尖尖的时候,滤波效果做好,能够滤除这个频段的干扰,但是,当频率很高的时候,这个时候0.1uF电容个滤波效果就没有0.01uF好了,以此类推,频率再高,选用的滤波电容的量级还要变小。
因此有时候可以采用多阻值电容并联的方式,获得最好的滤波效果。
文章链接:https://mp.weixin.qq.com/s/lm_avslXBEqPYLWLTXhGNw
转载自:嵌入式大杂烩
文章来源:芯片附近为什么都放 0.1uF 的电容?
版权声明:本文来源网络,免费传达知识,版权归原作者所有。如涉及作品版权问题,请联系我进行删除。