轻松办公-OfficeExcel函数精解
(三十五)
1、 BETAINV函数
- 函数功能
返回指定的 beta 分布累积 beta 分布的概率密度函数的反函数值。即,如果 probability = BETADIST(x,...),则 BETAINV(probability,...) = x。beta 分布函数可用于项目设计,在给定期望的完成时间和变化参数后,模拟可能的完成时间。
- 语法
BETAINV(probability,alpha,beta,A,B)
参数说明:
- Probability Beta 分布的概率值。
- Alpha 分布参数。
- Beta 分布参数。
- A 数值 x 所属区间的可选下界。
- B 数值 x 所属区间的可选上界。
注解:
- 如果任意参数为非数值型,函数 BETAINV 返回错误值 #VALUE!。
- 如果 alpha ≤ 0 或 beta ≤ 0,函数 BETAINV 返回错误值 #NUM!。
- 如果 probability ≤ 0 或 probability > 1,函数 BETAINV 返回错误值 #NUM!。
- 如果省略 A 或 B 值,函数 BETAINV 使用标准的累积 beta 分布,即 A = 0,B = 1。
- 如果已给定概率值,则 BETAINV 使用 BETADIST(x, alpha, beta, A, B) = probability 求解数值 x。因此,BETAINV 的精度取决于 BETADIST 的精度。BETAINV 使用迭代搜索技术。如果搜索在 100 次迭代之后没有收敛,则函数返回错误值 #N/A。
- 示例

2、 BINOMDIST函数
- 函数功能
返回一元二项式分布的概率值。函数 BINOMDIST 适用于固定次数的独立试验,当试验的结果只包含成功或失败二种情况,且当成功的概率在实验期间固定不变。例如,函数 BINOMDIST 可以计算三个婴儿中两个是男孩的概率。
- 语法
BINOMDIST(number_s,trials,probability_s,cumulative)
参数说明:
- Number_s 为试验成功的次数。
- Trials 为独立试验的次数。
- Probability_s 为每次试验中成功的概率。
- Cumulative 为一逻辑值,决定函数的形式。如果 cumulative 为 TRUE,函数 BINOMDIST 返回累积分布函数,即至多 number_s 次成功的概率;如果为 FALSE,返回概率密度函数,即 number_s 次成功的概率。
注解:
- Number_s 和 trials 将被截尾取整。
- 如果 number_s、trials 或 probability_s 为非数值型,函数 BINOMDIST 返回错误值 #VALUE!。
- 如果 number_s < 0 或 number_s > trials,函数 BINOMDIST 返回错误值 #NUM!。
- 如果 probability_s < 0 或 probability_s > 1,函数 BINOMDIST 返回错误值 #NUM!。
- 一元二项式概率密度函数的计算公式为:


式中:
等于 COMBIN(n,x)。
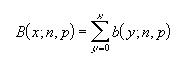
一元二项式累积分布函数的计算公式为:

- 示例

3、 CHIDIST函数
- 函数功能
返回 χ2 分布的单尾概率。χ2 分布与 χ2 检验相关。使用 χ2 检验可以比较观察值和期望值。例如,某项遗传学实验假设下一代植物将呈现出某一组颜色。使用此函数比较观测结果和期望值,可以确定初始假设是否有效。
- 语法
CHIDIST(x,degrees_freedom)
参数说明:
- X 为用来计算分布的数值。
- Degrees_freedom 为自由度的数值。
注解:
- 如果任一参数为非数值型,函数 CHIDIST 返回错误值 #VALUE!。
- 如果 x 为负数,函数 CHIDIST 返回错误值 #NUM!。
- 如果 degrees_freedom 不是整数,将被截尾取整。
- 如果 degrees_freedom < 1 或 degrees_freedom > 10^10,则函数 CHIDIST 返回错误值 #NUM!。
函数 CHIDIST 按 CHIDIST=P(X>x) 计算,式中 X 为 χ2 随机变量。
- 示例

更多精彩内容将在以后的章节分享给朋友们,请添加好友至收藏,欢迎点赞并关注后期内容更新!