你能解出下面的式子吗?

这是1911年 拉马努金 尚未成名时公开提出的第一个问题。答案会在下面的“数学”章节公布,如果你想试着求一下,记得在滑到那里之前得到答案。
斯里尼瓦萨·拉马努金 (Srinivasa Ramanujan)是有史以来最伟大的数学家之一。今天的数学家还没能完全理解他的成果。他的工作不仅被应用到数学中,后来还被用到物理学的黑洞和弦论中。

著名数学家小野健(Ken Ono)写道:“拉马努金的智慧甚至比全世界所有顶尖数学家的加起来还要多。”
与拉马努金相识的大数学家林特伍德(J. E. Littlewood)说“所有自然数都是拉马努金的密友”,他仿佛知道每个数字的个性一样。
弗里曼·戴森(Freeman Dyson)这样评价他:“我觉得拉马努金更像莫扎特,在他眼里数学是一门自然而然、显而易见的学问。他的天赋是我们无法理解的奇迹。”
更出名的是这样一则轶事:
著名数学家哈代乘出租车去医院看望拉马努金。为了帮他解闷,哈代告诉拉马努金说,出租车的编号是1729,“一个看起来没什么意思的数字”。拉马努金却说:“不,这是个非常有趣的数字。在所有能用两种方式写成两个自然数立方和的数字中,它是最小的那个。”拉马努金指的是,我们现在把这种数叫做 的士数 。
尽管拥有非凡的成就,但拉马努金基本上是 自学成才 ,没有接受过正规的数学教育。
他对 分析 、 数论 、 无限级数 和 连分数 等领域做出了重大贡献,包括解决当时被认为无法解决的数学问题。事实上,人们估计在拉马努金短暂的一生中,他发现了大约3900个有意义的公式!
拉马努金的故事是数学界最伟大的故事之一。通过对薄薄一本书的启发和研究,拉马努金能够提出数千个定理。其中一些是对数学界已经证明和已知的结果的重新发现(他独立推导出了欧拉、高斯等人在他之前发现的许多结果),还有一些是前所未见的新发现。
在这里,我们将尝试了解拉马努金的生平和数学天赋。我们还将看到他的一些惊人成就,直到今天,数学家们还不知道他是如何取得这些成就的。
自学成才的神童
拉马努金小时候就才华出众。
1887年,拉马努金生于印度。全家住在一个传统的小房子里。他的母亲是家庭主妇,有时会去当地寺庙祈诵。大约十岁时,拉马努金以全地区第一的成绩从小学毕业。进入中学后,他第一次接触到了正式的数学。
13岁时,他借到了一本 高等三角学 的书,掌握了这个领域。这个年纪,他已经独立发现了一些复杂的定理。14岁时,他帮助老师把1200名学生分派给35名老师指导。
在数学考试里,拉马努金只用一半时间就能答完题,并且他对几何和无穷级数也十分熟悉。1902年,拉马努金已经了掌握如何求解 三次方程 。后来,他发展出了自己独特的 四次方程 解法。
真正唤醒拉马努金天赋的转折点是在1903年,16岁的拉马努金拿到了一本凯尔(G. S. Carr)的《 纯粹和应用数学基本结果概要 》。这本书写于1886年,总结了当时已知的绝大多数数学结论。据说拉马努金仔细地研究了这本书里面5000个数学定理。
第二年,拉马努金发现并研究了伯努利数,并将 欧拉-马斯切罗尼常数计算到了小数点后15位 ——这是一项里程碑式的成就。当拉马努金1904年中学毕业时,校长说他是一个应当获得比满分还高的分数的优秀学生。
接下来在大学里,只有数学才能让拉马努金集中注意力。这给他带来了一些麻烦,因为他很难通过其他课程。他最终肄业,也没找到工作。他陷入了极端贫困中,经常食不果腹。然而,他仍然尽一切可能进行独立研究。
当时,拉马努金疾病缠身,到1910年下半年,他已经十分虚弱了。他把笔记本交给一位朋友,并叮嘱朋友,如果自己出现意外,就把笔记本寄给其他数学家。好在拉马努金最终康复并拿回了笔记本。就在同一年,其他数学家逐渐了解了拉马努金的才华。最终,他的一些工作发表在了印度数学会的学报上。
拉马努金与哈代
1913年一月16日,拉马努金向当时第一流的数学家哈代(G. H. Hardy)写了一封信。在信的开头,拉马努金提到自己是自学成才。他写道:“我是一名职员…… 我并未受过大学教育…… 但我 正在为自己开辟一条新道路……”
接下来是几页数学推演,其中一些内容之前有人推导过,还有一些不完全正确,但这封信结尾有三个非凡的公式。哈代被这几个公式震惊了,他回信说:
这些公式完全征服了我。我之前从未见过类似的东西……能写下它们的人一定是最顶尖的数学家。这些公式肯定是对的,因为没有人会拥有发明它们的想象力。
哈代
哈代请同事林特伍德来审读这些论文。林特伍德同样被拉马努金的天才所震惊。在与林特伍德讨论过这些论文后,哈代总结说拉马努金一定是“最优秀的数学家,一个拥有非凡创造力和力量的人”
随后哈代给拉马努金回信,请他来英国学习。但哈代也强调证据的重要性,“很有必要让我看一下你所写断言的证明。”
拉马努金在信中只简单写下了受书启发得到的公式,而完全没有写证明。但对于数学家而言,没有证明的命题并不比猜想更好。他们很快建立了通信联系,拉马努金给哈代寄了更多的数学内容。
仅仅在最初两封信中,拉马努金就给哈代提供了120个定理!哈代不知道的是,拉马努金有厚厚两本记满了漂亮的数学命题的笔记本,其中第二本就有21章。在与林特伍德一起看过笔记本中一部分内容以后,哈代评论说,“只有 欧拉 和 雅克比 能与拉马努金并肩。”
拉马努金在剑桥与哈代和林特伍德合作了近五年。尽管拉马努金的天赋肉眼可见,但他们之间的合作并不容易。哈代追求严谨的证明,但拉马努金有着完全不同的信仰,并且十分坚定。他相信女神在梦中赋予他数学直觉。
哈代和拉马努金开始一起证明拉马努金的一些命题。哈代竭尽所能以现代数学的方式教育和指导拉马努金。
一战期间,拉马努金在英国的处境十分困难。他是素食主义者,但几乎买不到蔬菜。作为印度人,他在英国受到了严酷的种族歧视,而且非常孤独(尽管他有无穷多个自然数朋友)。好在,拉马努金最终克服了这些障碍。
1918年5月2日,拉马努金凭借 “对椭圆函数及对数论的贡献” 当选英国皇家学会会员,他也是皇家学会史上最年轻的会员之一。1918 年 10 月 13 日,他成为第一位当选为剑桥大学三一学院院士的印度人。
拉马努金的数学
每篇介绍拉马努金的文章都会包含一些他的数学成果,所以在这里,我们列出了他的一些发现。但需要强调的是,这篇文章不可能包含他发现的所有公式,因为总共有 3900 个!
哈代曾说拉马努金的发现异常丰富,而且往往有比最初看上去更丰富的内容。拉马努金的发现还有另一个鲜明的特点,那就是它通常都涉及到很大的数字或者很复杂的表达式,几乎只能用计算机才能计算。当然,在20世纪初,还没有这样的计算机。
事实上,我们并不清楚拉马努金是如何做到的。这是整篇故事里最大的谜团。
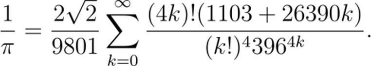
拉马努金的π表达式
这部分很有趣,拉马努金发现 了1/π 的一个新的表达式,这是一个无穷级数。

这个级数收敛得极快,现在人们用来计算π的算法就以它为基础。这个级数的第一项就给出了π的前七位有效数字,前两项给出了15位有效数字。事实上,每多计算一项,这个级数就可以多给出8位有效数字!
发散级数
拉马努金研究了 无穷发散级数 ——根据阿贝尔的说法,这是魔鬼的杰作,凡人不可触碰。然而,拉马努金可以给不同的发散求和赋予一些数学意义。其实,一个后来震撼互联网的发散级数就是拉马努金发现的:

我们可以通过为等号赋予特殊的含义来使这个式子成立。事实上,这样的结果与物理中的一些实验现象吻合,例如两个金属板之间的 卡西米尔力 。
无穷嵌套平方根
回到印度以后,拉马努金向数学界提出了一项挑战:求出下列 无穷嵌套平方根 的值。

拉马努金等了六个月,但没人能给出答案。于是他直接发表了答案,答案并不复杂,就是3。
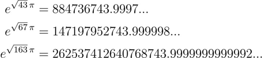
几乎是整数
没人知道拉马努金是怎么做到的,但他确实找出了这样几个 很接近整数的 幂指数 :

实际上,上面公式中的平方根通过L函数、椭圆曲线和模形式理论与所谓“ 类数 ”相联系。
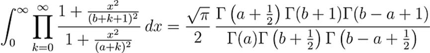
无限连乘的积分
在寄给哈代的第一封信中,拉马努金在第三页末尾写下了一个逆天的积分:

它在0 < a < b + 1/2时成立。
一般来说,把这种倒霉函数连乘再积分,还能得到封闭且美观的解,是一件几乎不可能的事。这实在让人难以相信。
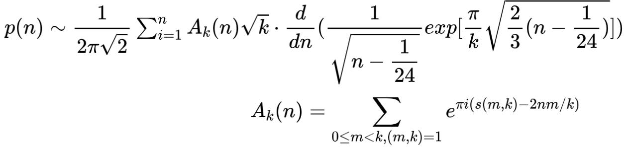
划分数
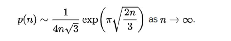
在集合论中,一个集合分成的一组非空子集叫做 划分 。对于一个n元集合,不同划分的方式叫做 划分数p(n )。

拉马努金推导出了下面这个用于计算划分数 的公式

其中,

这个级数的第一项就是p(n)的一个很好的近似,而拉马努金发现

拉马努金的公式优美、巧妙而独特。有些公式如同神迹,直到今天我们仍不知道拉马努金是怎么得到它们的,这是一个巨大的谜团。
最后的评论
拉马努金的成果主要包括:
-
解出了没人觉得有解的 上古数学谜题
-
启迪并引领了许多 现代数学的研究领域 ,比如数论中模形式的重要性、韦伊猜想(Weil conjectures)、L函数和朗兰兹纲领(Langlands program)
-
黑洞物理、类θ函数、弦论和量子引力理论等 物理理论
拉马努金的身体一直不好,最终不幸病逝于1920年。他临终前的工作后来成为黑洞和弦论等复杂物理理论的数学基础。当然,拉马努金没法想象出黑洞这样的东西,但这洽洽凸显出他强大的直觉和天赋。
著名物理学家加来道雄这样评价拉马努金:“拉马努金是整个数学界,甚至可能是整个科学史上最奇怪的人。他如同一颗爆发的超新星,照亮了数学最黑暗、最深刻的角落,然后在 33 岁时不幸被肺结核击倒,就像他的前辈黎曼一样。”
人们把拉马努金的故事改编成了小说和电影,希望他的故事能继续激励年轻人追求数学——不仅作为一门学科,而且作为一门艺术。
作者:Kasper Müller
翻译:藏痴
审校:牧羊
原文链接:Ramanujan: The Greatest Mathematical