
椰壳纤维
文 |怪谈Talk
编辑 | 怪谈Talk

前言
具有天然填料的复合材料越来越多地被用作合成材料的替代品,从欧盟汽车工业中天然纤维素纤维聚合复合材料的代表中可以看出这种趋势,由于对可再生资源的偏好,这一趋势完全合乎逻辑。
实验程序本身遵循明显的假设,并着重于描述未经处理和碱处理的天然植物纤维、椰子和马尼拉麻纤维的机械性能,这些纤维在复合材料中有很大的应用潜力。
结果和讨论部分有助于介绍纤维素纤维机械性能评估的单独方法,并允许根据植物纤维中半纤维素和木质素的含量明确定义最佳碱化过程,研究碱处理对椰壳纤维和蕉麻纤维表面微观结构和拉伸性能的影响。

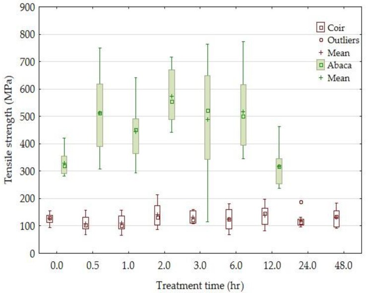
将这些纤维在实验室温度下浸入5%的NaOH溶液中,时间间隔为30分钟、1小时、2小时、3小时、6小时、12小时、24小时和48小时,漂洗并干燥。
用扫描电镜(SEM)对碱处理前后的纤维表面微观结构进行了评价,SEM分析表明,NaOH溶液中的碱处理导致纤维表面的连接物质逐渐去除,从纤维表面的可见变化可以明显看出碱的作用。

纺织工业中天然纤维的运用
天然纤维在复合材料中的应用非常普遍,主要是在纺织工业中,天然纤维可以来自种子、水果(棉花、椰子等),叶子(龙舌兰、菠萝、芦荟、剑麻、亚麻等)和茎(竹子、亚麻、黄麻、洋麻等。
长度和厚度由植物的类型、生长条件等决定,与合成纤维相反,由此可见,天然纤维的尺寸不会受到直接影响,在天然纤维中,需要考虑它们的特性,如物理和机械性能的结构和各向异性。
用于优化复合材料体系界面相互作用的各种纤维处理(例如碱处理)的有效性可以通过比较处理前后的拉伸强度值来评估。

这种方法在工程中很常见,即使在很小的尺寸下也能在一定程度上有效,因此它也可以应用于作为复合材料增强材料的人造纤维(玻璃、芳族聚酰胺和碳)。
当前增加可再生资源产品份额的趋势导致了用天然纤维替代合成纤维的努力,正如许多人所提到的,天然纤维具有许多优点,例如它们的低质量(密度)和它们的价格。
纤维的机械性能影响复合材料的最终质量,因此有必要确定和优化这些性能,然而,拉伸强度的测定在天然植物纤维中是一个问题,因为公布的值非常分散,并且对产生的生物复合材料的机械特性的描述不足,使得它们的应用很困难。

对天然纤维拉抗强度的测定
由于三个原因,比较不同的测量结果是困难的,为抗拉强度的计算设定样品的横截面尺寸是一个问题,用作测试样品的一束天然纤维,其横截面具有不规则的形状并且包含孔隙。
横截面积计算的程序不规范,一些出版物甚至没有提到如何确定横截面积,在大多数情况下,假设从横向尺寸计算出的束的完全圆形横截面,使用将样品绕纵轴旋转36°时测量的五个值确定横向尺寸。
相反,圆形横截面不合适,并通过扫描电子显微镜(SEM)确定横截面面积,认为是一个完整的椭圆形横截面,其面积由两个测量的垂直尺寸计算得出,用六边形代替真实的横截面积,并通过将样品旋转60°从三维计算面积。

通过纤维体积和长度的比例确定横截面积,证明计算的抗拉强度值主要取决于横截面面积测定的方法和精度,同一纤维束的强度往往不同,不同方法得出的结果无法比较。
测试了四种不同的样品横截面测定方法,并建议在碱处理前后使用其他横截面面积计算方法(横截面形状发生变化),由于SEM技术,可以精确地找到横截面积,但是该设备很昂贵,并且在样品量较高时该过程很长。
第二个复杂因素是拉伸强度不是恒定的,即使是相同类型的天然纤维(相同的“材料”),但这取决于纤维的横向尺寸,这种情况是由于在抗拉强度计算中通常假设纤维的整个横截面,不考虑流明。
例如通过孔隙率测定法,横截面是多孔的,不同厚度的纤维具有不同的孔隙率,较粗的纤维具有较小的“细胞壁内腔”部分的值,纤维具有较低的密度,并且横截面包含较低百分比的材料。

与较细的纤维相比,较粗的纤维强度较低,一定厚度的天然纤维可以具有不同程度的孔隙率或不同的横截面形状,因此,拉伸强度难以用于评价天然多孔纤维的处理效果,拉伸强度值的差异不一定仅仅是由纤维处理引起的。
这可能是未处理纤维和选择用于处理的纤维的各种横截面尺寸的结果,甚至在处理开始之前,不同组的样品可以具有不同的横截面和不同的强度,并不总是能够使用大量的样品使得纤维横截面的差异在统计上不显著。
除了不一致的横截面尺寸测定程序和所得拉伸强度对测试纤维尺寸的依赖性之外,植物生长的局部条件(天气、土壤)的影响、用于从植物中获得纤维的程序和成熟度等,代表了关于相同类型纤维的公开值广泛分布的第三个原因。

受到聚合物基体的低粘附力阻碍
一种现有的确定纤维机械性能的方法更适合,尤其是对于具有小的、不规则的和多孔的横截面的天然纤维,当评估纱线强度时,它通常用于纺织工业,计算断裂韧度f (cN/tex ),而不是拉伸强度Rm (MPa)。
虽然这是纺织工业中的一种常用方法,但在评估作为复合材料增强材料的天然纤维的机械性能(在工程中)时,很少考虑断裂韧度。
对聚合物基体的低粘附力阻碍了天然纤维在复合材料中的广泛应用,它没有实现从基体到纤维的负荷转移,并且纤维的相对良好的机械性能没有被充分利用,已经对纤维进行了各种物理和化学处理,以提高粘合性。

比如碱化,即将纤维浸泡在氢氧化钠水溶液中,是一种常见的化学处理方法,从历史上看,这是最古老的方法,用来提高颜色在棉纤维上的附着力,自19世纪中叶以来,这种方法被称为丝光处理。
从化学的角度来看,天然植物纤维首先由纤维素、半纤维素和木质素组成,其余的是果胶、蜡和其他表面杂质,不同类型的纤维由不同比例的这些组分组成,通过氢键相互连接的纤维素分子链是微纤维的形式。
它们通过半纤维素和木质素彼此结合,并产生基本纤维和束,天然纤维的机械性能取决于各个组分的比例大小,纤维素OH的游离羟基-导致纤维中不希望的亲水性。
由于单个纤维组分在NaOH溶液中的不同溶解度以及NaOH与羟基反应的能力,碱化会改变所呈现的性质,纤维素几乎不溶,而半纤维素则相反,很容易溶解,木质素仅在有限程度上可溶,较高浓度和温度的NaOH溶液有助于提高溶解度。

表面木质素的溶解达到了双重效果,纤维表面被粗糙化,同时暴露的纤维素羟基的反应在更大程度上得以进行,由于纤维素的这种交联,分子链和微纤维强度增加,游离羟基中的氢原子被钠原子取代。
这样可以在基体和纤维之间达到更高的粘附力,由于空穴的消失,同时观察到纤维横截面的减小(收缩),从而增加了复合材料中纤维的有效接触表面。
经常公布的碱化导致纤维理论拉伸强度的增加,可以根据定义部分地由横截面的减小和孔隙率的减小引起,而没有承载纤维素的损失。

如果溶解了足够的木质素,纤维束就会分解;相反,由于基质在单根纤维间的有限磨合,接触会恶化,NaOH的过度作用可能导致机械性能的恶化,不仅是复合材料,而且是单根纤维。
基于以上所述,显然有必要确定纤维浸入NaOH溶液的合适浓度、最终温度和最佳时间,这对于每种类型的纤维来说是不同的。

关于合适参数的数据差别很大,碱处理不应导致纤维机械性能的本质退化,通过研究发现,天然纤维中的木质素含量与最佳碱参数之间存在一定的相关性,更多的木质素导致更长的作用时间,并且最终需要更高浓度或温度的NaOH溶液。
实验部分测定了未处理和碱处理的天然植物纤维的力学性能,纤维素纤维的碱化被选作实验方案,因为它是一种简单而有效的化学处理方法。
测量结果通过计算抗拉强度韧度进行评估,抗拉强度韧度根据文献背景进行分析,并允许定义用于确定纤维素纤维机械特性的最佳方法程序。
研究碱处理对椰壳纤维和蕉麻纤维表面微观结构和拉伸性能的影响,研究了纤维表面微观结构与纤维拉伸性能之间的关系,以及不同时间间隔的5% NaOH溶液处理对纤维拉伸性能的影响。

纤维表面的SEM分析结果,通过将未处理的纤维(标记为0 h处理)和碱处理的纤维在实验室温度下浸入5%的NaOH溶液中从0.5 h开始不同的时间间隔来比较它们的机械性能,支持它们用于作为复合材料的天然椰壳纤维和马尼拉麻纤维的表面改性。
椰子纤维是从生长在棕榈树上的椰子皮中获得的,椰子纤维是天然植物纤维,木质素含量最高,半纤维素含量最低,由于其成分,椰子纤维的性能无法与其他类型的纤维相比。
蕉麻纤维(主要产于菲律宾)取自植物芭蕉的叶子,相反,蕉麻纤维的木质素含量相对较低。
实验结果对于确定用于确定纤维机械性能的统一最佳方法具有明确的影响,所述纤维目前用作基于可再生资源的现代复合材料中的填料。

结语
研究结果集中在两种重要的生物纤维素纤维,即椰壳纤维和蕉麻纤维的机械性能的评估可能性,这两种纤维在5%的NaOH溶液中进行碱处理。
在使用特定的生物纤维素基纤维之前,总是需要测量它们的机械性能并优化碱处理参数,即处理时间和NaOH浓度,由于许多陈述的原因,不可能依赖已发表的结果,即其他测量,尽管他们测量了相同植物类型的纤维。

扫描电子显微镜(SEM)分析确定了椰壳纤维和蕉麻纤维的表面和微观结构的细节,并表明它们没有相同的表面碱处理过程。
必须使用不同的时间间隔来达到最佳的处理条件,即最佳的拉伸性能,碱处理有两个作用:它使纤维表面变得粗糙,并逐渐瓦解纤维的结合,这些效应在阿巴卡纤维中表现得更快。
随着纤维横向尺寸的增加,即在蕉麻纤维中,拉伸强度降低,测试纤维的孔隙率随着纤维横向尺寸的增加而增加,同时承载纤维的材料的质量减少。