据美军“真实-虚拟-构造”(Live-Virtual-Constructive,LVC)仿真训练的总承包商立方体公司网站于2019年8月7日发布的公告,其防务业务部门和作战空间仿真公司(BSI)签署协议,联合开发LVC训练解决方案。BSI是模拟威胁环境和计算机兵力生成工具的领导者。根据协议,双方将把BSI的现代空战环境(Modern Air Combat Environment,MACE)整合到立方体公司的空中和地面训练产品中,以满足军方日益增长的在现实和复杂战场环境中训练的需求。MACE将提供多域计算机兵力生成,包括模拟*器武**制导和发射、最先进的*器武**系统和基于物理的电磁波谱仿真。LVC环境作为未来主流的训练手段,为何会选中MACE?
一、 MACE简介
BSI公司的MACE 是一种美*用军**于联合作战、电子战训练和目标生成的计算机兵力生成/半自动生成(CGF / SAF)应用程序。MACE允许用户配置平台、*器武**、环境的参数,以及雷达脉冲、扫描范围和波束特性等。支持分布式交互仿真(DIS)体系结构,包括仿真管理、实体状态、毁伤评估和数据记录等,具有大规模和用户可扩展的作战环境,能够适用于多种仿真层级,尤其在交战级具有极高的逼真度。此外,MACE的视景系统能用于无人机系统和联合近距支援的实装训练中。MACE可以模拟五代机(国内称*四代第**)平台,包括低可观测平台、有源和无源电子扫描阵列(AESA和PESA雷达)以及复杂电磁环境的战场。MACE经认证可用于美空军的分布式任务操作网络(DMON),非常适合独立场景创建、任务预演和分布式任务模拟。凭借MACE强大的数据记录模块,可以记录DIS网络上的数据并且实时添加标注,显示出各类关键事件发生时间。最新版本的MACE已经加入了增强现实和虚拟现实技术。

增强现实镜头下的实时沙盘(美国作战空间仿真公司图片)
二、 MACE 主要特点 1 . 用户范围广

MACE部署地点(美国作战空间仿真公司图片)
MACE得到美空军分布式任务作战(CAF-DMO)认证,拥有800多个生产许可证。MACE目前应用于美空军A-10项目、第160特种作战航空团(SOAR)、分布式任务作战中心(DMOC)、分布式训练作战中心(DTOC)、分布式训练中心(DTC)、任务准备作战中心(MROC)以及100多套已部署和订购中的联合作战训练设备,包括先进的空中国民警卫队联合末端攻击控制员(JTAC)训练系统、联合终端控制训练和演习系统(JTC TRS)、JTAC/“战术空中控制组”(TACP)作战模拟套件、美海军联合虚拟环境(CAVE)等。此外,美空军研究实验室(AFRL)在其5米JTAC球幕以及联合战区空地模拟套件中使用MACE进行空中支援作战中心(ASOC)训练,并在其MQ-1“捕食者”/MQ-9“死神”无人机的综合网络作战环境(PRINCE)中使用MACE。两个主要的MQ-9“死神”收割者训练系统最近也切换到了MACE(这两个项目之间总共有大约100个系统)。美军特种作战司令部最近宣布,他们所有的模拟器将升级,使用MACE作为构造环境,包括AC-130、MC-130和CV-22模拟器。
MACE和MACE-EW都具有相同的信号生成能力。MACE-EW的区别在于包括两个独立的全向接收机、方位显示器、一个模拟的ALE-50拖曳诱饵和一个模拟的USQ-113通信干扰机。由于MACE-EW具有生成高保真雷达信号的仿真能力,也被广泛用作独立的或可联网的电子战模拟训练。BSI为英国和澳大利亚提供了两个独立的电子战培训教室。此外,所有美国空军作战系统军官(CSO)使用BSI模拟的电子战显示套件进行飞行训练。

电子战显示套件(美国作战空间仿真公司图片)
2 . 环境大、装备全
MACE有成熟的地理信息系统(GIS),使用了从OpenStreetmap全球栅格服务器和道路数据库,可以全球任何地点创建适合于训练和任务预演的场景。MACE是多线程的,可以提供极快的视觉和空气动力学计算,支持实时、多机对抗的快速解算。MACE既支持数字地形高程数据(DTED)又支持天基雷达地形任务(SRTM)高程数据,还可以直接从一些最流行的商业图像生成器中读取高程以实现极其精确的*器武**效果,甚至可以达到*弹子**弹道仿真的级别。MACE支持DTED0-DTED3,以及30米和90米SRTM。

地理信息图片(美国作战空间仿真公司图片)

对雷达通视仿真图(美国作战空间仿真公司图片)
市场上大多数的具备对抗功能的CGF/SAF项目要么是由部队的分支机构专门开发的,要么是为具体装备专门开发的,MACE从源头上是一种通用的作战模拟的全装备范围软件,在联合作战和联合防空模拟领域表现出色。MACE可以帮助用户淘汰掉多种专用仿真CFG,降低软件混乱的问题。

软件实体模型库界面(美国作战空间仿真公司图片)
3 . 复杂电磁环境下的高强度对抗模拟
MACE可以模拟复杂战场环境,包括由预警机、地面雷达网和防空火力组成的一体化防空系统(IADS)。IADS可以从FalconView(4.0或更高版本)导入,也可以在MACE中创建,甚至可以以PCI格式导入真正的电子作战命令(EOB),这是MACE与别的依赖脚本或简单规则触发雷达活动的仿真软件的最大区别。MACE还可以通过DIS模拟先进的第五代AESA和PESA雷达。每个传感器都被建模为脉冲级,由高保真发射器动态生成电磁波。MACE模拟空对空和地对空导弹以及空对地*器武**模型和弹道。教员可以通过添加或移动威胁(包括地空导弹系统和装备机载雷达和空对空导弹的飞机)来对场景进行实时动态输入。MACE用户界面使场景管理变得简单。MACE允许用户添加和删除实体、重新加载*器武**、使用*器武**、改变环境因素、电子战以及执行各种数据分析功能,而不会中断任何场景。
在MACE中,对作战空间中的每个传感器执行一个复杂的算法。MACE回答了大多数人对电子战仿真的质疑:传感器对目标是否通视?目标是否被防区外干扰遮蔽?如果存在干扰,传感器是否“烧坏”了?在分辨率单元中有投放箔条?雷达是否已经跟踪其最大目标数量?目标是否超出了雷达距离方程确定的传感器最大范围,考虑到传感器的频率和目标的雷达反射横截面,而不仅仅是简单的“最大范围”数字?雷达站是独立运行的,还是链接到IADS?节点是否仍能与其上级或下级通信?目标是否已分配给其他目标跟踪站?哪个目标最有威胁? 所有在MACE中以视觉和听觉呈现的威胁雷达信号实际上都是由威胁系统的参数动态生成的,将各种扫描速率和模式准确地呈现给用户。

人工发射控制界面(美国作战空间仿真公司图片)
4 . 模型高保真
雷达测距方程。MACE包括一个非常高保真的“目标模型”,用于作战空间中的每个传感器,足以让MACE运行脉冲级动态双向雷达距离方程。下图显示了目标跟踪雷达(TTR)的视线分析,其中外圆表示相关地对空导弹(SAM)的最大射程。左边的分析是由一个没有足够数据来运行雷达测距方程的程序运行结果,其一直延伸到最大射程。在右图中,MACE的分析包括地形和雷达距离方程,在这种情况下,会在SAM的运动范围内产生限制。这种特殊的分析针对的是雷达截面积为1平方米的目标。如果使用RCS较小的目标,左侧的图不会改变,但右侧的MACE检测范围会更小。

雷达距离模型对比图,其中右图为MACE(美国作战空间仿真公司图片)
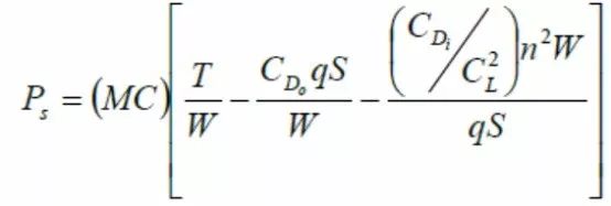
基于能量的飞机气动模型。MACE使用基于能量的空气动力学模型进行飞机飞行仿真。单位剩余功率(Ps)是描述飞机飞行性能的主要因素。当PS为正值时,飞机可以自由转弯、爬升或加速;当PS为负值时,飞机被迫减速或俯冲或两者兼而有之。PS也可用于描述飞机的包线,如果PS达到零,飞机既不能爬升也不能加速,因此飞机已经达到其最高或最高水平速度。当飞机机动时,根据在当前高度、马赫数和载荷的单位剩余功率,计算爬升率、滚转角和加速度。随着飞机的高度、速度和载荷的变化,其能量状态也随之变化。能量模型不断地更新可用的过剩功率,并调整其爬升率、滚转角和加速度,更新能量状态。基于能量的气动模型在模拟大量CGF时,在合理计算接近的飞机性能和有限的CPU使用之间是一个很好的平衡。最后的方程产生了一种相对简单的方法来开发包含必要参数(即推力、重量、阻力、载荷系数、机翼面积、马赫数和动态压力)的数据表,以产生精确的PS数据。

单位剩余功率计算方法(美国作战空间仿真公司图片)
MACE包括适用于所有旋翼机的6自由度模型、适用于所有地面、水面和水下平台的6自由度水动力模型以及适用于快速移动战斗机和慢速移动攻击型飞机的5自由度基于物理的可飞行模型。这些模型并非旨在提供飞行训练,而是构建一个“足够真实”的飞行模型,用于模拟飞机对人在环飞行中对控制输入的响应。在MACE中,您可以快速地将一个实体从构造(计算机)控制转移到虚拟(人在环)控制,然后再返回。例如,一名*军白**操作员可以控制并驾驶一架F-16战斗机,以支持蓝军。这些模型可以应用于MACE的任何航空实体。
MACE采用基于物理的空气动力学模型和制导模型进行导弹仿真。导弹的力学特性是从*器武**的推力、阻力和重量中推导出来的。*器武**推力由发动机的质量流量和比冲计算。阻力由导弹的阻力参考面积、阻力系数(亚音速和超音速)、速度和飞行高度的大气条件计算。当发射药燃烧时,导弹重量减小。制导模型将使导弹的飞行轨迹形成一个高抛、直接拦截或俯冲剖面,同时将目标保持在导引头的框架范围内。MACE还使用了一个基于物理的*弹炸**空气动力学模型。弹道飞行轨迹由阻力和重量决定。阻力由*器武**的阻力参考面积、阻力系数(亚音速和超音速)、速度和飞行高度的大气条件计算。*器武**的倾斜角度与它的飞行轨迹相匹配。弹道模型对于*弹炸**、火炮和*弹子**来说足够灵活。
5 . 软件扩展性好
MACE具有集成测试和训练使能结构(TENA)的接口,可与靶场进行互操作,适用于LVC仿真。任何MACE平台都可以是构造或虚拟的,用操纵杆可以对构造性实体进行人在环虚拟控制。

LVC应用示意图(美国作战空间仿真公司图片)
MACE采用数据驱动的方式,用户可以添加或编辑自己的威胁数据,以及电子战先关参数。MACE还具有一个插件API,用于编写自己的代码来扩展(Visual Studio 2017)。
MACE同时使用分布式交互仿真(DIS)标准的图像接口(Common Image Generator Interface, CIGI),以便在3D作战空间中呈现实体。MACE包括一个庞大的实体库,包括民用和*用军**飞机、地对空威胁、车辆、目标建筑物和人员。实体的例子包括飞行操纵面、机械雷达运动、人的动作(如运行或升起*器武**)和车辆控制(如刹车灯和运动部件)。
三、小结
第一,MACE的用户界面设计非常友好,并且功能强大,足以快速的构建简单或复杂的场景。此外,还有极高的保真度、通用性和用户可扩展性。为了适应未来主流的“虚”与“实”相结合的仿真,BSI公司也在对MACE做改善以提高在LVC环境中的互操作性。
第二,MACE在美军和北约内广泛使用,并且软件迭代升级很快。在优化升级过程中得到了很多一线部队和军方机构的大力支持,利用实战经验完善仿真工具。
第三,美军LVC训练总承包商立方体公司选择MACE作为其LVC仿真中的“C”,可能说明美军目前LVC仿真训练中“构造”能力不足,也可能说明“构造”在LVC中发挥的作用很大。
何晓骁先生已为《空天防务观察》提供9篇专栏文章,如下表:
| 序号 | 篇名 | 发表日期 |
| 1 |
美军“安全保密的真实-虚拟-构造高级训练环境”(SLATE)空战训练系统分析 |
2019年1月4日 |
| 2 |
美军在五代机测试真实-虚拟-构造空战训练技术 |
2019年1月23日 |
| 3 |
以色列自主研发空战训练系统 |
2月28日 |
| 4 |
空战训练系统鼻祖——美国立方体公司 |
3月20日 |
| 5 |
美军“联合仿真环境”的组成与建设发展 |
4月15日 |
| 6 |
美军真实-虚拟-构造空战训练网络构成及发展规划 |
4月24日 |
| 7 |
空战训练中电子战威胁模拟专家——莱昂纳多DRS公司 |
6月3日 |
| 8 |
美军分布式的仿真训练及“虚拟旗”军演情况分析 |
6月24日 |
| 9 |
美军现代空战环境仿真软件“MACE”特点分析(即本篇) |
8月20日 |
有兴趣的读者,可点击相关文章的“篇名”阅读原文。
(中国航空工业发展研究中心 何晓骁)
您可以*载下**航空工业发展中心航空行业信息港“ADR之声”APP,第一时间掌握航空行业最新动态、资讯、报告、分析和解读!
关注本公众号有以下三种方式:
您还可以关注我中心“民机战略观察”公众号,掌握和深入了解民用航空领域动向和进展!
您也可以关注我中心“航空科普”公众号,探索航空事业的前世今生!
本篇供稿:系统工程研究所
运 营:李沅栩