一文看懂企业职工养老金算法
我省目前企业退休职工养老金是根据《关于贯彻国务院〈关于完善企业职工基本养老保险制度的决定〉的实施意见》(晋政发〔2006〕32号)文件计发,按照“新人新办法”、“中人”实行过渡办法、“老人老办法”分别计算养老金。
1、“新人”新办法: 山西省人民政府《关于贯彻<国务院关于建立统一的企业职工基本养老保险制度的决定>的实施意见》(晋政发〔1998〕21号)文件实施后(即1998年7月1日以后)参加工作、缴费年限(含视同缴费年限)累计满15年的人员称为“新人”,退休后按月发给基本养老金。
“新人”基本养老金组成:基本养老金=基础养老金+个人账户养老金
(1)基础养老金=(参保人员退休时全省上年度在岗职工月平均工资+本人指数化月平均缴费工资)÷2×本人累计缴费年限(含视同缴费年限)×1%(缴费年限不满1年的,计算到月)
参保人员退休时全省上年度在岗职工月平均工资(参保人员退休时全省退休人员月计发基本养老金基数),每年省人社厅会同省财政厅联合发布。
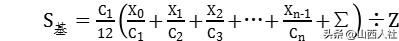
本人指数化月平均缴费工资具体的计算方法:先用本人退休当年、前一年、前二年至缴费起始年历年本人缴费工资分别除以退休前一年、前二年、前三年至缴费起始年的前一年全省在岗职工平均工资,求出每年缴费指数,与本人视同缴费年限缴费指数和相加后(视同缴费年限每年的缴费指数均按 1.0确定)除以本人累计缴费年限(含视同缴费年限),得出平均指数,再乘以参保人员退休时本人退休时全省上年度在岗职工月平均工资(全省退休人员月计发基本养老金基数)。
本人指数化月平均缴费工资计算公式:

式中:S基为计算基础养老金时的本人指数化月平均缴费工资;
X0、X1、X2…Xn-1:为职工退休当年,前一年、前二年…前n-1年的本人缴费工资,本人缴费工资可通过三晋通app或民生山西app查询;
C1、C2、C3…Cn:为职工退休前一年,前二年,前三年,…前n年当年全省在岗职工平均工资;
∑:为参保人员视同缴费年限缴费指数之和,视同缴费年限的缴费指数每年均按1.0确定;
Z:为参保人员累计缴纳基本养老保险费的年限(含视同缴费年限)。
视同缴费年限概念:现行基本养老保险制度建立以前,我国企业职工实行的是企业养老制度,个人不缴费,退休后由企业发放职工退休金。1991年国务院《关于企业职工养老保险制度改革的决定》规定,基本养老保险基金由企业和职工共同缴费。1995年,国务院发布《关于深化企业职工养老保险制度改革的通知》,确立了基本养老保险待遇与缴费年限和缴费工资挂钩的制度,同时明确“实行个人缴费制度前,职工的连续工龄可视同缴费年限”。

计算结果称为基础养老金平均缴费指数
在计算基础养老金时,职工从事特殊工种工作年限折算的工龄不作为视同缴费年限。
(2)个人账户养老金:个人账户养老金月标准为个人账户累计储存额除以计发月数,计发月数由国家统一颁布执行。
个人账户养老金计发月数表

2、“中人”过渡办法: 晋政发〔1998〕21号文件实施前(即1998年7月1日以前)参加工作,晋政发〔2006〕32号文件实施后(即2006年1月1日以后)退休且缴费年限(含视同缴费年限)累计满15年的人员称为“中人”,在按上述办法发给基础养老金和个人账户养老金的基础上,加发过渡性养老金,过渡性养老金中的过渡系数为1.3%。
“中人”基本养老金组成:基本养老金=基础养老金+个人账户养老金+过渡性养老金
过渡性养老金=本人指数化月平均缴费工资×按11%及其以上比例(2006年1月1日以后事业单位转制为企业以及机关、事业单位调入企业的职工按8%)建立基本养老保险个人账户前本人缴费年限(含视同缴费年限)×1.3%
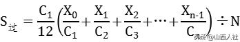
计算过渡性养老金时,本人指数化月平均缴费工资具体的计算方法:先用本人退休当年、前一年、前二年至缴费起始年历年本人缴费工资分别除以退休前一年、前二年、前三年至缴费起始年的前一年全省在岗职工平均工资,求出每年缴费指数,将历年指数相加除以本人实际缴费年限,得出平均指数,再乘以参保人员退休时本人退休时全省上年度在岗职工月平均工资(全省退休人员月计发基本养老金基数)。
计算过渡性养老金时,本人指数化月平均缴费工资计算公式:

式中:S过为计算过渡性养老金时,本人指数化月平均缴费工资;
X0、X1、X2…Xn-1:为职工退休当年,前一年、前二年…前n-1年的本人缴费工资;
C1、C2、C3…Cn:为职工退休前一年,前二年,前三年,…前n年当年全省在岗职工平均工资;
N:为参保人员本人实际缴纳基本养老保险费的年限。

计算结果称为过渡性养老金平均缴费指数
在计算过渡性养老金时,职工从事特殊工种工作年限折算的工龄可以作为计算过渡性视同缴费年限,但折算的年限最长不得超过5年。
注意:在计算基础性养老金和过渡性养老金时,本人指数化月平均缴费工资计算办法有明显区别,不可相互代替。
3、“老人”老办法: 《关于贯彻国务院〈关于完善企业职工基本养老保险制度的决定〉的实施意见》(晋政发〔2006〕32号)实施前已经离退休的人员称为“老人”,仍按国家和省原来的规定发给基本养老金,同时执行基本养老金调整办法。
示例:甲先生,男,1960年2月出生,1978年2月在我省地方企业参加工作,1992年1月开始缴纳养老保险直至2020年2月退休,缴费期间均按照全省社会平均工资100%水平缴纳。
根据甲先生的经历可知,甲先生属于“中人”,其基本养老金构成为基础养老金、个人账户养老金、过渡性养老金。
要想知道养老金能领多少,有几个关键的参数需了解一下:①假定2020年退休人员月计发基本养老金基数为6000元;②参加工作至退休时累计缴费年限为42年1月,其中视同缴费年限13年11月,实际缴费年限28年2月;③通过三晋通app或民生山西app查询甲先生历年缴费工资,计算得出甲先生基础养老金平均缴费指数为“1.0”;④通过三晋通app或民生山西app查询甲先生历年缴费工资,计算得出甲先生过渡性养老金平均缴费指数为“1.0”;⑤经查询,按11%及其以上比例建立基本养老保险个人账户前甲先生缴费年限(含视同缴费年限)为19年5月;⑥经查询,甲先生个人账户累计储存额为70000元。将以上关键数据代入养老金计发公式:
基础养老金=(6000+6000×1.0)÷2×42.0833×1%=2525元
个人账户养老金=70000÷139=503.60元
过渡性养老金=6000×1.0×19.4167×1.3%=1514.5元
基本养老金=2525+503.60+1514.5=4543.1元
通过计算可知,甲先生退休时每月可领到基本养老金为4543.1元。
退休后,在国家调整基本养老金待遇时,再加上调整待遇部分,即为甲先生每月应领取的基本养老金。