4.11.1基本问题
(1)定额项目分类
本节按部位划分为屋面工程、防水工程、变形缝三个部分。各部分按使用的材料品种划分子项,其分类如表4.42所示。

(2)定额的适用范围
屋面工程主要包括瓦屋面、刚性屋面、卷材屋面、涂料屋面、铁皮(金属压型板)屋面、屋面排水等。防水工程适用于楼地面、墙基、墙身、构筑物、水池、水塔及室内厕所、浴室的防水,建筑物±0.00以下的防水,防潮工程按防水相应项目计算。变形缝指的是建筑物和构筑物变形缝的填缝、盖缝和止水等,按变形缝部位和材料分项。
定额规定:水泥瓦、粘土瓦、小青瓦、石棉瓦规格与定额不同时,瓦材数量可以换算,其他不变。变形缝填缝断面与定额取定不同时,用料可以换算,人工不变。木板盖缝断面取定为20cm x 2.5cm,设计断面不同时,用料可以换算,人工不变。
目前,屋面防水和地下室防水在设计和施工上受到极大重视。国家标准规定了屋面防水等级,按不同等级进行防水设防。许多类别的建筑物,如高层建筑要求二道或多道防水设防(一种防水材料能够独立成为防水层的称为一道),因此,在概预算中应列出项目,按相应计算规则计算工程量。
(3)卷材的几种铺贴方法
1)满铺法
满铺法亦称实铺法,是在油毡下满涂胶粘剂,使卷材与基层的整个接触面积用胶粘剂粘结在一起。
2)空铺法
空铺法是指卷材与基层之间只在四周一定宽度范围内实施粘贴,其余部分则不加粘贴,使第一层油毡与基层之间存在空隙。
3)点铺法
点铺法是指卷材与基层之间只实施点的粘结,要求粘结点应多于5个点/㎡,每点面积应达到100mm x 100mm,粘结总面积要达到接触面的6%左右。
4)条铺法
条铺法是指卷材与基层之间只做条带粘结,但要求粘结总面积不应小于整个接触面的25%左右。
5)冷贴法
冷贴法是指将胶粘剂直接涂刷在基层表面或卷材粘结面上,使卷材与基层实施粘结,而不需要热施工的铺贴方法。
4.11.2计算规则
(1)屋面工程
1)瓦屋面、金属压型板屋面
包括挑檐部分均按图4.80中尺寸的水平投影面积乘以屋面坡度系数(见表4.43),以平方米计算。不扣除房上烟囱,风帽底座、风道、屋面小气窗和斜沟所占面积,但屋面小气窗出檐与屋面重叠部分的面积,应并入屋面工程量内计算。


2)卷材屋面
卷材屋面按图示尺寸的水平投影面积乘以规定的坡度系数(见表4.43) 以平方米计算。但不扣除房上烟囱、风帽底座、风道、屋面小气窗和斜沟所占的面积;屋面女儿墙、伸缩缝和天窗等处的弯起部分,按图示尺寸并人屋面工程量计算,无图示尺寸时,,女儿墙、伸缩缝的弯起部分可按250mm计算,天窗弯起部分可按500mm计算。卷材屋面的附加层、接缝、收头、找平层的嵌缝、冷底子油已计人定额内,不另计算。
3)涂膜屋面
涂膜屋面的工程量计算同卷材屋面。涂膜屋面的油膏嵌缝、玻璃布盖缝、屋面分格缝,以延长米计算。
4)屋面排水
①铁皮排水按图示尺寸以展开面积计算,如图纸无规定时,按铁皮排水单体零件工程量面积折算表(见表4.44)计算。咬口和搭接等已计人定额项日中,不另计算。

②铸铁、玻璃钢、塑料等水落管直径按图示尺寸以延长米计算,雨水口、水斗、弯头、短管以个计算。
(2)防水工程
①建筑物地面防水、防潮层,按主墙间净空面积计算,扣除凸出地面的构筑物、设备基础等所占面积,不扣除柱、垛、间隔墙。烟囱以及0.3㎡以内孔洞所占面积。与墙面连接处高度在500mm以内者按展开面积计算,并人平面工程量内,超过500mm时,按立面防水层计算。
②建筑物墙基防水、防潮层按墙长度乘以宽度以平方米计算。外墙长度按中心线,内墙长度按净长线。
③构筑物及建筑物地下室防水层,按实铺面积计算,不扣除0.3㎡以内的孔洞面积。平面与立面交接处的防水层,其上卷高度超过500mm时,按立面防水层计算。
④防水卷材的附加层、接缝收头、冷底子油等主料已计人定额内,不另计算。
(3)变形缝
变形缝按图示尺寸以延长米计算。
4.11.3计算实例
【例4.39】计算如图4.81所示四坡水瓦屋面工程量.已知屋面坡度的高跨比



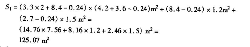
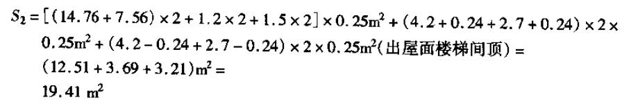
【例4.40】计算如图4.82所示卷材屋面工程量。女儿墙与楼梯间出屋面墙交接处,卷材弯起高度取250mm。

[解]该屋面为平屋面(坡度小于5%),工程量按水平投影面积计算,弯起部分并人屋面工程量内。
①水平投影面积

②弯起部分面积

③屋面卷材工程量

下期更新丨防腐、保温、隔热工程