你肯定小学就学过了众数,中位数,平均数这些词,但是那个时候可没怎么说是集中趋势相关的。然后可能也学习了四分位数,先复习一下众数

众数的表现形式,一般用M0表示众数。
在EXCEL中,计算的表达式一般是:众数=MODE()

然后是中位数:用Me表示




数据的分布特征

集中趋势分析的概念
概念
1. 一组数据向其中心值靠拢的倾向和程度
2.测度集中趋势就是寻找数据水平的代表值或中心值
3.不同类型的数据用不同的集中趋势测度值
4.低层次数据的测度值适用于高层次的测量数据,但高层次数据的测度值并不适用于低层次的测量数据

平均数有三种:算术平均数,加权平均数,几何平均数。




计算时,几何平均记得减一


四分位数




不同的类型对应不同的值

众数,中位数,平均数的关系,哪边的曲线更长,就选哪边分布

众数、中位数和平均数的特点和应用
1.众数
·不受极端值影响具有不惟一性
数据分布偏斜程度较大且有明显峰值时应用
2.中位数
·不受极端值影响
数据分布偏斜程度较大时应用
3.平均数
·易受极端值影响数学性质优良
·数据对称分布或接近对称分布时应用
离散程度分析





Q1是四分之一的n,75,四分之三是225,
数据型数据:方差和标准差
性质
1.数据离散程度的最常用测度值
2.反映了各变量值与均值的平均差异
3.根据总体数据计算的,称为总体方差(标准差),记为σ2(σ);根据样本
数据计算的,称为样本方差(标准差),记为s²(s)

然后是各种公式

相对位置的度量: 标准分数
性质
1.也称标准化值
2.对某一个值在一组数据中相对位置的度量
3.可用于判断一组数据是否有离群点
4.用于对变量的标准化处理
5.计算公式为Z=xi-X
z分数只是将原始数据进行了线性变换,它并没有改变一个数据在该组数据中的位置,也没有改变该组数分布的形状,而只是使该组数据均值为0,标准差为1
相对离散程度: 离散系数
性质
1.标准差与其相应的均值之比
2.对数据相对离散程度的测度
3.消除了数据水平高低和计量单位的影响
4.用于对不同组别数据离散程度的比较
5. 计算公式为

偏态性质
1.数据分布偏斜程度的测度
偏态系数=0为对称分布偏态系数>0为右偏分布偏态系数<0为左偏分布
偏态系数大于1或小于-1,被称为高度偏态分布;偏态系数在0.5~1或-1~-0.5之间,被认为是中等偏态分布;偏态系数越接近0,偏斜程度就越低
2.偏态系数是已经去量纲后的参数(除以标差)



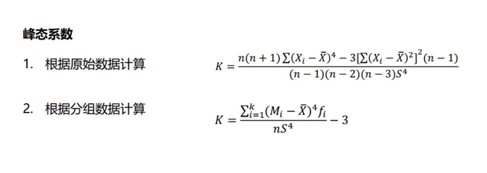
峰态性质
1数据分布扁平程度的测度
峰态系数=0扁平峰度适中峰态系数<0为扁平分布峰态系数>0为尖峰分布
2.偏态系数是已经去量纲后的参数(除以标差)



基础内容就是大概这么些