一、PVC的特性
聚氯乙烯材料在日常生活中非常易见,颜色也很丰富。最近笔者遇到稳定剂不同引起的颜色差异问题,并对其进行了深入研究,吐血整理了这篇文章,希望对读者你有所帮助。

图1 PVC发泡板
聚氯乙烯(PVC)是氯乙烯单体经聚合而成的热塑性树脂,其分子式为[CH2CHCl]n,分子量为3.6万~8.5万。

图2 PVC的分子结构化学式
由于PVC树脂键上带有负电性很强的氯原子,使分子键之间产生很大的引力,阻碍了分子键之间的滑动,因此PVC相当刚硬,并且具有良好的耐化学腐蚀性。但质脆而硬,缺少弹性。由于PVC的含氯量大于55%,因而具有阻燃性和自熄性。
PVC分子链的极性使树脂的加工温度较高,通常根据制品要求加入不同量的增塑剂减少分子间的引力和增加制品柔韧性。PVC在热、氧和光的作用下会脱出HCl而变色,材料性能降低,因此,在其加工过程中需要热、光稳定剂。
PVC可用热塑性塑料成型方法加工制品,但主要是挤出成型制品,如管材、板材、型材、电线电缆等制品。

图3 PVC异型材和管道
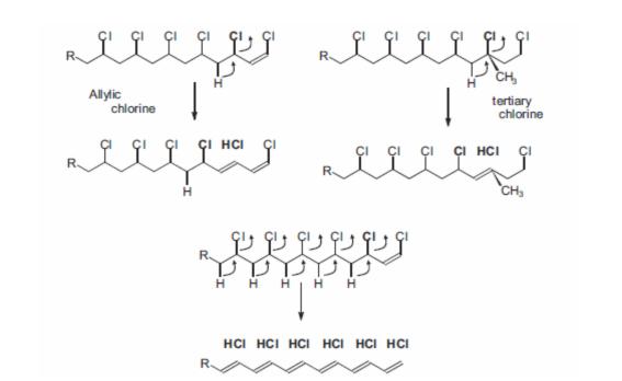
如果PVC的生产像图2化学式那样理想,并且由此得到的直链聚合物链中没有任何缺陷的话,那么PVC粉料的加工就会容易得多。但是,在聚合时有可能出现缺陷。最重要的缺陷是:
聚合时形成支化而导致的叔氯原子。
例如由于聚合反应的终止而形成的烯丙基氯原子。
PVC的降解从这些缺陷处开始。所以这些氯原子也称为不稳定氯原子,有缺陷的地方称为降解的起始位置。PVC的降解称为脱氯化氢,因为在这个过程中有氯化氢(HCl)脱离出来。HCl的脱出又产生新的缺陷。如果没有稳定剂的干预,这个过程会以类似拉链的方式继续下去,形成氯化氢和共轭双键,后者也称为多烯序列。一旦形成6至7个共轭双键,就可以观察到PVC呈现浅黄色。随着共轭双键的长度增加,黄色变得越来越深,再变成红色、棕色,最后到黑色。这时的PVC被称为“烧坏”了。

图4 由于热和剪切在烯丙基碳原子和叔碳原子处的PVC降解
简单来说,PVC是无定形高聚物,没有明显的熔点,加热到120~150℃时具有可塑性。由于它的热稳定性差,成型过程中需要稳定剂抑制其分解。对不同的制品还需要增塑剂、润滑剂、填充剂、着色剂等。
与加工有关的树脂性能包括:颗粒大小、热稳定性、分子量,鱼眼,松密度,纯度和杂质,孔隙率及表面构型。悬浮树脂中有些颗粒难以塑化,在薄膜中形成鱼眼,聚氯乙烯树脂的孔隙率大小与吸收增塑剂的快慢有很大影响。
所谓增塑剂的吸收时间就是指从增塑剂加入捏合机到料不污染吸收纸为止。
二、PVC着色的注意事项
下面以聚氯乙烯电线电缆对着色剂的质量要求为例,介绍聚氯乙烯着色的注意事项。
普通的PVC电线电缆是以用悬浮法工艺生产的疏松性聚氯乙烯树脂或共改性树脂为基本成分,再加上增塑剂、润滑剂、热稳定剂、填充剂以及着色剂等辅助成分,经混合、造粒等工序加工而成的,其规格可分为:绝缘级、普通绝缘级、普通护层级、耐寒护层级、柔软护层级、耐热级等。其颜色也多种多样,五花八门。按照线缆行业的约定,绝缘级和普通绝缘级的颜色有10类,即黑、白、灰、黄、橙、红、紫、蓝、绿和棕。普通护层级和柔软护层级的颜色分为4类,即黑、白、灰和深蓝,耐寒护层级则为黑色。
1.着色剂的分类
常用的着色剂可分为染料和颜料两大类。因染料在PVC树脂系统,尤其是软质PVC中迁移现象特别严重,故PVC电线电缆着色剂只能用颜料。由于颜料的性能(光学性能、牢度性能、加工性能及物理性能)与其分子结构、晶格类型,制造工艺密切相关,因而必须恰当选择,才能获得理想的使用效果。
2.着色剂的选用
就PVC电线电缆的着色而言,考虑到所用树脂及相关助剂的特征,结合颜料的特点,在选择着色剂时应当注意以下几个问题。
(1)耐光性
不同分子结构的着色剂,耐光性也不同。在阳光照射下,由于日光中紫外线的辐射,加之氧和水等物质的存在,着色剂的分子结构被破坏。着色剂的颜色与其对各种光波的吸收选择有关。如果着色剂的共轭体系被破坏,必然影响对光的吸收,引起色泽的变化。着色剂的分子结构愈稳定,耐光性愈好。
作为聚氯乙烯着色剂的耐光性应在5级以上,而着色剂的用量增多,耐光性提高。耐光性不仅与着色剂的分子结构和用量有关,而且还与增塑剂的用量有关。一般来说,增塑剂用量增多,耐光性降低。例如,软质聚氯乙烯塑料,增塑剂用量越多,着色剂用量虽不变,但着色剂的相对含量渐减,所以耐光性能降低,因此,硬质聚氯乙烯的褪色速度往往比软质迟缓。
此外,有的着色剂必须配置一定浓度才符合要求,若低于此浓度,则耐光性极差。例如,立索尔宝红BK的使用量必须在0.07%以上,耐光性才理想。对于不透明浅色制品,所用着色剂很少,不能达到一定浓度,可适当添加遮盖力大的无机着色剂,如钛*粉白**以提高耐光性。有两种耐光性不同的着色剂拼用时,由于耐光性较高地屏蔽了紫外线而使耐光性较低的着色剂受到保护,所以也会使耐光性提高。
在温度升高时,可提高着色剂在聚合物中的可溶性。但由于着色剂的耐热性不同,其着色效果也不相同。有的颜料受热时会发生晶型转变,如酞青蓝主要有两种晶型,色光有很大差别。在一般情况下是α型,在聚氯乙烯加工温度高于160℃时,就会转变为β型,红光蓝色就会变成绿光蓝色。
在一定温度下,着色剂和其他添加剂如抗氧剂或微量杂质(催化残留物)也可能发生反应,导致制品褪色。聚氯乙烯在加工受热时可分解放出氯化氢,对于一些无机着色剂,可在氯化氢的作用下发生化学反应而变色。着色剂除了适应聚氯乙烯塑料加工和成品使用温度外,还要考虑温度与时间的关系,如在160℃长时间加热和200℃短时间加热所采用的着色剂是有区别的,所以对硬质聚氯乙烯制品着色剂的要求与对软质的要求有所不同。
(3)分散性
聚氯乙烯着色剂要有良好的分散性,通常有机颜料的分散性优于无机颜料。分散性对着色剂的鲜艳度有直接影响,分散性不良的色光不鲜艳,着色率较低。
(4)迁移性
着色剂的迁移,就是指着色粒子在被着色系统中发生位移,尤其是从被着色体内部移至表面的现象。这种位移情况,在软质PVC着色系统中最为突出。
着色剂在聚合物中的迁移通常可以分为四种情况,即结垢、浮色、渗色和粉化。其中第一种现象直接发生在着色加工过程中,其余三种则发生在着色物的使用过程中。
着色剂在PVC树脂中的迁移性首先与其分子结构有关。一般而言,使用无机颜料,考虑其结垢性,其渗色、浮色和粉化性很小。有机颜料则不同,必须做全面考虑。
例如有机颜料的迁移性
1)其一与它在PVC树脂中的溶解度有关,在加工温度下溶解度越大,则一旦冷却后,其过饱和度就越高,再结晶的倾向及速度就越快,浮色就越明显。
2)其二与浓度有关,着色物中有机颜料添加量越高,则浮色的倾向也越大;
3)其三与有机颜料的分子量有关,分子量越大,分子的空间构型越复杂,则在树脂中的迁移速度就越慢,其浮色就越小;
4)其四还与着色的加工条件、着色物的使用环境等因素有关,如着色加工温度越高,潜在的浮色倾向就越高,着色物的使用环境温度越高,粉化及渗色的倾向就越大。
5)与PVC电线电缆料中的增塑剂含量有关,含量越高,有机颜料的迁移倾向就越大。
6)有机颜料的化学结构与增塑剂的化学结构越相似,则颜料的迁移倾向也就越大。
显然,一些分子量较低的有色酚类合成的不溶性单偶氮红色谱系有机颜料是不宜用于PVC电线电缆料着色的。

图5 五颜六色的电线
某些着色剂由于和树脂相容性差,或因溶解于增塑剂中,具有向制品表面迁移析出的现象,而严重时会起霜。渗色现象在软质聚氯乙烯塑料中发生较多,起霜就是在塑料表面缓慢形成的薄层着色剂沉淀,揩擦就可以将它去除,一般可在制品制成半年后发生。起霜与着色剂在聚合物中、在增塑剂或聚合物增塑体系中的溶解度有关。过程基本如下:在高温加工时,由于着色剂在树脂中溶解度大,当迅速冷却时,色料在体系中成为过饱和状态,经一定时间后,在塑料与空气界面形成着色剂微晶,晶体逐渐在表面成大,更多的着色剂向表面迁移,即起霜。
凡具有迁移性的着色剂,一般不宜作为聚氯乙烯塑料的着色剂,但由于目前聚氯乙烯着色剂的品种、数量和来源存在一定的困难,因此也采用某种色泽鲜艳而迁移性不强的着色剂,如碱性玫瑰精。采用时应掌握以下原则:
①着色剂具有迁移性,但仅为溶于增塑剂所造成(即微溶于增塑剂中),它与树脂相容性尚可,则考虑用于不加增塑剂或加入少量增塑剂的硬质塑料制品中。
②用于对色泽鲜艳度要求高,而对迁移性要求一般的制品。
③采用略有迁移性着色剂的用量要尽量减小。
(5)着色力
着色力的大小与着色剂的分散性或比表面积的大小有关,分散性越好,比表面积越大,着色力越高。由于有机颜料的分散性与比表面积都较无机颜料大,所以着色力较高,同时无机颜料的色泽鲜艳度低于有机颜料。
(6)PVC的老化性能
①影响PVC老化性能的因素:目前室外应用的着色PVC的比例是可观的并且不断增长,但是经过一段时间使用,会像其他塑料一样,由于老化的原因产生颜色变化,为了避免褪色需要进行以下约束:选用种类和用量最佳的着色剂,采用不透明颜料。
②老化现象:随着时间的推移,塑料由于老化而变坏,这是由于表面的降解。然而,不透明的有机、无机颜料和有机、无机颜料的共同作用可以延缓老化现象。

图6 PVC着色手套
(7)电性能
着色剂用于绝缘材料着色时,应当考虑所用着色剂的电性能。其影响主要体现在被着色材料的体积电阻、介电常数及击穿频度上。前两项与着色剂在被着色体中的分散程度有关。通常PVC树脂中加入着色剂后,总会或多或少的降低其电性能。其中影响的程度,以黑色和白色为最小,黄、红、橙和一些绿色居中,其他颜色则较大。
另外还与颜料中的水溶性电介质及含湿量等有关。一般纯度高的,水溶性电介质少的,极性小的,含湿量低的,其体积电阻较高。着色剂的介电常数对通讯电缆尤为重要。相邻绝缘层之间所用的着色剂的介电常数之差最好低于百分之一,否则会产生窜线等现象影响信息传输的质量。此外,若着色剂分散不良,某些地方存在较大的着色剂颗粒,通电时易被电流击穿,造成漏电,严重影响其绝缘性能。
(8)颜色稳定性
使PVC电线电缆发生颜色变化的因素主要如下:
①着色剂的耐光性。着色剂的耐光性与其本身的化学结构有关,同时与其浓度及是否与冲淡剂(如钛*粉白**)共用有关。无机颜料的耐光性,无论是浓色还是浅色,无论是单用还是钛*粉白**共用,其耐光性均较高。对于有机颜料而言,其耐光性优劣可归纳为:偶氮颜料<杂环颜料;不溶性偶氮颜料<偶氮色淀颜料;偶氮颜料<偶氮缩合颜料;小分子颜料<大分子颜料;颜料粒径小的<颜料粒径大的;与钛*粉白**共用<有机颜料单用;使用浓度低的<使用浓度高的。
②着色剂与被着色物在使用环境中接触到的化学品的化学发应。若发生化学反应,可能会改变着色剂的颜色性能,从而导致颜色变化。不过,这种因素是可以预测的,如群青类颜料在酸性环境中褪色;铬黑、钼铬红类颜料在硫化物存在下会生成硫化铅而使颜色暗淡。因此,只要在配色前,慎重选择着色剂就可以避免这个问题。
③PVC树脂老化。PVC树脂在光照下也会发生光化降解反应,使树脂的光反射率发生变化,这样也会引起颜色的变化。但其影响程度远小于前面两个因素。
④综合以上分析,用作PVC电线电缆的要求概括如下:
A、从着色剂品种来看。不用有机颜料(迁移性大);不用金属、珠光类特种着色效果的颜料(颗粒大、电性能差);少用群青蓝或紫类颜料(褪色快);少用氧化铁黄、氧化铁红、氧化铁棕和氧化铁黑类颜料(使PVC树脂分解);少用炉法炭黑(电性能及分散性能相对较差);少用含钙的色淀类颜料(吸湿性大,影响电性能);少用高级有机颜料(价格高、分散性较差)。
B、从着色剂的牢度性能来看。耐酸性一定要好,耐热性好,耐迁移性好,耐光性好。
C、从着色剂的物性指标来看。颜色稳定性较高(色差、着色力变化较小);吸油量较小(有利于分散);水溶性呈中性或微酸性(在PVC着色系统中稳定性好);水中电介质含量低(电性能好);含湿量低(加工性好,电性能好)。
(9)加工稳定性
PVC电线电缆的着色,一般是本体着色而非表面涂色。因此,无论使用色粉、色膏,还是用色母粒使PVC着色,前提条件是需要使PVC树脂处于熔融状态,从而使着色剂能均匀分布在熔体中。但是,在这样的加工条件下,着色剂本身可能会发生化学的或颜色的变化。
如某些偶氮颜料的耐热性较差,会发生分解成相应的色酚和色基,使色相发生变化。像某些偶氮的联苯胺黄类、联苯胺橙类颜料,彩度明显降低。
其二,着色剂中的某些成分可能会促使PVC树脂的降解,如铁离子和锌离子是PVC树脂降解反应的催化剂。因此,使用氧化铁(红黄棕黑)颜料或氧化锌、硫化锌和立德粉类白颜料会降低PVC树脂的降解产物发生作用,一方面色料褪色,另外一方面促进PVC树脂的降解。如群青类(蓝和紫)颜料耐酸性差,故在PVC着色加工过程中,会与PVC分解产生的氯化氢发生相互作用而失去应有的颜色及着色力。

图7 共同进步
总结:
经过一段时间的研究,机理与实践相结合,钙锌稳定剂引起PVC着色变浅原因找到了,也找出了解决的办法。欢迎加我讨论。