近期,美国一列运载危险化学品的火车在美国俄亥俄州脱轨起火,导致危险化学物质氯乙烯泄漏,由于相关物质的致癌性等特性,使该事件得到了全世界的关注。
由于从事化学方向的研究,难免被朋友们问及对此事的看法,在这里笔者必须要说明,很遗憾,目前缺乏相关的检测数据,对大家关心的“危害到底有多大”等问题,我们无法给出准确的回答。今天,主要是想和大家谈谈另外两个问题, 氯乙烯既然有较高毒性,为什么化工里还非用它不可呢? 就不能用别的东西来替代吗?目前我国氯乙烯的生产和使用是什么情况呢?

当地时间2月6日,事故火车现场照片(图片来源:人民日报海外版)
前方“高危”警告
氯乙烯究竟为何物?为什么人们谈之色变?我们看它的结构式C2H3Cl就能知道,它把乙烯中的一个氢原子换为了氯原子。
虽然只有一个原子的差异,但是它的性质却有了翻天覆地的变化。

氯乙烯(图片来源:veer图库)
乙烯是一种惰性材料,是化学化工原料的基石,通过乙烯可以合成诸多高价值化学产品。
氯乙烯则是制备聚氯乙烯塑料(PVC)的基本原料,同时也可以与乙酸乙烯酯、丁二烯等聚合,还可以用作萃取、冷冻剂等,有着广泛的化学化工领域应用。
但同时,氯乙烯也是一种非常具有危险性的有毒的化学物质,已被列入世界卫生组织国际癌症机构一类致癌物,尤其是对人类的肝脏、肺部会有明显的损伤。不仅如此,燃烧氯乙烯将会产生*气光**和氯化氢等更大危害性的有毒气体,如*气光**一定情况下可以导致人立即死亡。
氯乙烯:既是“危险”的化工品,又是氯碱化工的重要一环
既然这么危险,那为什么一定要做氯乙烯呢?全面禁止氯乙烯的使用可以吗?
答案是:现阶段还是不行的。
除了其聚合物聚氯乙烯塑料(PVC)这一巨大的应用背景,还因为它是被包含在氯碱化工中的,基于我国的国情,与实际应用联系如此紧密的材料,并不能简单地一禁了之。
氯碱化工是指工业中通过电解氯化钠制氢氧化钠和氯气的过程,是烧碱(氢氧化钠)的主要工业制备方法。
中国是世界第一大烧碱生产国,占有世界烧碱产量的50%以上。现有的烧碱制备工艺主要是离子膜法电解盐水,烧碱主要的用途是工业中的各种预处理和吸收,其用量占总产量的50%以上。还有约25%的烧碱用在了造纸工业上。
因此,氯碱化工具有极其重要的作用。
但是,这个制备方法是不“完美”的。电解氯化钠的时候,除了生成我们想要的产物烧碱,还会产生氢气和氯气,这两个我们并不想要的产物就是常说的“副产物”。
它的总反应式如下:

其中,氯气是氧化性极强的气体,其腐蚀性非常大,如果氯气泄漏,在日光的照射下会产生*气光**等剧毒物质,有非常大的安全隐患,在工业中很难大量长期存储。
如果氯气不能被消耗或及时廉价存储,将严重影响到氯碱化工的生产成本。而考虑到烧碱是化工中极其基础的工业原料,其生产成本的增加会连续影响到工业的方方面面。

进口的液氯压缩机和小型液氯罐是氯碱工厂中最昂贵的设备(图片来源:作者拍摄)
上个世纪90年代,国内就曾出现过由于氯消耗量下降而使烧碱供应不足、价格飙升的情况,导致很多化工企业损失严重,而且相应产品价格增长,对国民经济也造成了相应影响。
因此,为了氯碱行业的稳定,同时减少氯气的储存,节约企业成本,必须对氯气进行优化利用。而氯气在化工、农业、医药卫生行业都有很广泛的应用,主要用途包括生产盐酸、有机溶剂、农药、消毒剂、无机盐和化工试剂等等,这些应用消耗了氯产量的约三分之二。
看到这里,是不是有些不耐烦了?我们说了这么多,和氯乙烯有什么关系?别着急,世界万物往往不像我们表面看到的那么简单,看似不想干的事情,其实可能也存在着千丝万缕的关系,更不用说看起来就很相关的“氯气”和“氯乙烯”啦!接下来,氯乙烯就登场了。
另一种廉价的大量储氯的方法,就是合成氯乙烯单体并生产聚氯乙烯塑料。
聚氯乙烯具有良好的机械性能、耐热性能,可以加工成管道和电缆绝缘材料而被广泛应用,是一个可以大规模生产的商品。 以2014年全国烧碱产量3180万吨计,氯的产量在2822万吨,其中用于聚氯乙烯塑料的氯就达到约1000万吨。
因此,运用氯气制备氯乙烯对于氯碱行业的发展至关重要。我们非但不能全面禁止它,还应该进一步地深入研究与其相关的生产技术以推动其发展。
不仅要做,还得找到自己的方法做
目前,氯乙烯的制备方法主要两种,一种是乙烯氧氯化法,另一种是乙炔氢氯化法。
乙烯氧氯化法以高浓度的乙烯、氯气为原材料,通过引入氧消除掉其中的部分氢原子,并用氯原子代替。这种方法比较适合于页岩气较多的国家和地区,如美国等。
首先,乙烯与氯反应生成二氯乙烷(式1),然后二氯乙烷热裂解成氯乙烯和氯化氢(式2),最后乙烯、氧气和氯化氢得到二氯乙烷(式3),总反应如式4所示。
乙烯氧氯化方法实现了氯的完全利用,并且该过程不涉及剧毒的汞基催化剂。

但在我国,乙烯和乙烷的价格都比较高,而煤炭资源相对丰富,就可以寻找其他可以代替乙烯和乙炔的原材料。
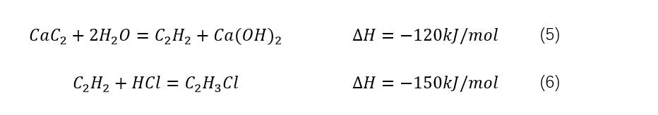
在煤炭丰富的地区,通过煤炭与氧化钙(CaO)在电炉里烧结为电石CaC2。再运输到氯碱企业,通过与水反应生产乙炔气(式5),纯化的乙炔与氯化氢反应生成氯乙烯(式6)。
这就使乙炔氢氯化法的成本比乙烯氧氯化法要低很多,同时具有投入少、产量高等优点,因此, 中国的氯乙烯单体工艺路线主要还是靠乙炔法实现。
在中国,每年用乙炔法制聚氯乙烯塑料约1300万吨,占聚氯乙烯塑料总产量的80%以上。

那么,解决了成本和产量问题,这个方法就“完美”了吗?
答案依然是否定的。
和烧碱的制备不太一样的是,这次的烦并非来自“副产物”,而是来自大名鼎鼎的“催化剂”。
现阶段, 工业上的乙炔氢氯化法需要用到氯化汞催化剂 ,每年所使用的汞数以万吨计,即使经过严格管控,仍旧会有少量流出到外部环境。众所周知,汞会对环境与生态造成严重的破坏,因此, 亟待能够替代汞的新催化剂和新催化过程的开发。
目前,适用于乙炔氢氯化过程的无汞催化剂主要包括贵金属催化剂、非贵金属催化剂与无金属催化剂这几大种类,贵金属催化剂主要使用金(Au)作为催化剂,具有优异的性能与稳定性,并在企业开展了8000+ h的工业示范项目,运行稳定,但贵金属价格昂贵,而氯碱工业本身利润较低,因此大规模工业应用受限,而典型的非贵金属催化剂,如铜基催化剂,目前稳定性还仍需进一步优化。
那能不能不用金属呢?
答案是可以的。

适用于乙炔氢氯化的不同催化剂类型(图片来源:作者制作)
便宜好用的催化剂,真香!
中科院大连化学物理研究所的包信和院士、潘秀莲研究员团队研制了一种新型的无金属催化剂,基于碳化硅(SiC)衍生的氮碳材料能够催化乙炔氢氯化生产氯乙烯。
这一方法通过含氯气体和氨气在高温下共同作用SiC,使得其中的Si原子生成SiCl4气体,剩下的C原子原位与氨气作用形成含氮碳层。整个过程中,巧妙地利用了SiC良好的导热性和易成型的特点,支撑了氮碳材料。
这种催化剂在接近工业空速的情况下,实现了约80%的乙炔转化率,选择性在98%,稳定性可以达到几百小时。

SiC@N-C材料制备示意图(图片来源:Nat. Commun., 2014, 5, 3688.)
基于以上研究结果,该团队又开发了一种新型多孔氮化硼材料,发现其具有优良的催化乙炔氢氯化反应的能力。
多孔氮化硼材料具有高的比表面积,丰富的孔结构(微孔和介孔),其具有丰富缺陷和边界。
令人惊喜的是,在最优条件下,活性可达99%,选择性99%,连续反应1000小时左右!不仅如此,这种材料活性维持的时间很长,失去活性的过程较为缓慢,综合性能还优于碳氮材料。这也为无金属催化体系提供了新的契机。

多孔氮化硼材料催化乙炔氢氯化过程(图片来源:Acs Catal., 2017, 7, 8572-8577.)
虽然,目前在产率上,上述碳氮材料、氮化硼材料等无金属催化剂仍不能与贵金属催化剂相比,但是其催化剂的材料只需要用到碳氮硼等常规元素,理论上说,成本可以降到非常低,从而为乙炔氢氯化的无汞化生产提供了一条新的路径,并有望进一步发展与推向产业应用。
这个体系也得到了国内外同行的高度认可,被认为是一项拥有巨大潜力的创新成果。

领域内专家评议(图片来源:ACS Sustainable Chem.Eng. 2019, 7, 17979)
技术带来的问题,相信可以由更好的技术来解决
近年来,类似的危险化工品事故发生时,往往会产生比较大的影响,每到此时,我们心中可能就会出现一个疑问,从安全角度考虑,危险化工品的制备是否需要禁止?
对此,笔者想说,化工产业在国民经济中占有重要地位,我们生活也离不开化工产品,一禁了之更不是解决问题的办法。化工生产一环套一环,牵一发而动全身,关键环节的变动甚至有可能影响到整个国民经济的发展。技术带来的问题,最终可以由技术来解决,采用高效保护措施,研发优化替代策略,来实现更安全、高效的目标,同时创造更高的价值,是科学家们正在努力的方向,也是科技让生活更美好的意义所在。
作者:方光宗 李学杨
作者单位:中国科学院大连化学物理研究所