
上次给大家分享了《2018年最全的excel函数大全14—统计函数(8)》,这次分享给大家统计函数(9)。
STDEVPA 函数
描述
根据作为参数(包括文字和逻辑值)给定的整个总体计算标准偏差。 标准偏差可以测量值在平均值(中值)附近分布的范围大小。
用法
STDEVPA(value1, [value2], ...)
STDEVPA 函数用法具有下列参数:
-
Value1, value2, ...Value1 是必需的,后续值是可选的。 对应于总体的 1 到 255 个值。 也可以用单一数组或对某个数组的引用来代替用逗号分隔的参数。
备注
-
STDEVPA 假定其参数是整个总体。 如果数据代表总体样本,则必须使用 STDEVA 计算标准偏差。
-
对于规模很大的样本,STDEVA 和 STDEVPA 返回近似值。
-
此处标准偏差的计算使用“n”方法。
-
参数可以是下列形式:数值;包含数值的名称、数组或引用;数字的文本表示;或者引用中的逻辑值,例如 TRUE 和 FALSE。
-
直接键入到参数列表中代表数字的文本被计算在内。
-
包含 TRUE 的参数作为 1 来计算;包含文本或 FALSE 的参数作为 0(零)来计算。
-
如果参数为数组或引用,则只使用其中的数值。 数组或引用中的空白单元格和文本值将被忽略。
-
如果参数为错误值或为不能转换为数字的文本,将会导致错误。
-
如果要使计算不包括引用中的逻辑值和代表数字的文本,请使用 STDEVP 函数。
-
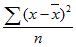
STDEVPA 使用下面的公式:

其中 x 是样本平均值 AVERAGE(value1,value2,…) 且 n 是样本大小。
案例

STEYX 函数
描述
返回通过线性回归法预测每个 x 的 y 值时所产生的标准误差。 标准误差是在针对单独 x 预测 y 时的错误量的一个度量值。
用法
STEYX(known_y’s, known_x’s)
STEYX 函数用法具有下列参数:
-
Known_y’s必需。 因变量数据点数组或区域。
-
Known_x’s必需。 自变量数据点数组或区域。
备注
-
参数可以是数字或者是包含数字的名称、数组或引用。
-
逻辑值和直接键入到参数列表中代表数字的文本被计算在内。
-
如果数组或引用参数包含文本、逻辑值或空白单元格,则这些值将被忽略;但包含零值的单元格将计算在内。
-
如果参数为错误值或为不能转换为数字的文本,将会导致错误。
-
如果 known_y’s 和 known_x’s 的数据点个数不同,函数 STEYX 返回错误值 #N/A。
-
如果 known_y’s 和 known_x’s 为空或其数据点个数小于三,则 STEYX 返回错误值 #DIV/0!。
-
预测值 y 的标准误差计算公式如下:

其中 x 和 y 是样本平均值 AVERAGE(known_x’s) 和 AVERAGE(known_y’s),且 n 是样本大小。
案例

T.DIST 函数
描述
返回学生的左尾 t 分布。 t 分布用于小型样本数据集的假设检验。 可以使用该函数代替 t 分布的临界值表。
用法
T.DIST(x,deg_freedom, cumulative)
T.DIST 函数用法具有以下参数:
-
X必需。 需要计算分布的数值。
-
Deg_freedom必需。 一个表示自由度数的整数。
-
cumulative必需。 决定函数形式的逻辑值。 如果 cumulative 为 TRUE,则 T.DIST 返回累积分布函数;如果为 FALSE,则返回概率密度函数。
备注
-
如果任一参数是非数值的,则 T.DIST 返回 错误值 #VALUE!。
-
如果 deg_freedom 1,则 T.DIST 返回一个错误值。 Deg_freedom 不得小于 1。
案例

T.DIST.2T 函数
描述
返回学生的双尾 t 分布。
学生的 t 分布用于小样本数据集的假设检验。 可以使用该函数代替 t 分布的临界值表。
用法
T.DIST.2T(x,deg_freedom)
T.DIST.2T 函数用法具有以下参数:
-
X必需。 需要计算分布的数值。
-
Deg_freedom必需。 一个表示自由度数的整数。
备注
-
如果任一参数是非数值的,则 T.DIST.2T 返回 错误值 #VALUE!。
-
如果 deg_freedom 1,则 T.DIST.2T 返回 错误值 #NUM!。
-
如果 x 0,则 T.DIST.2T 返回 错误值 #NUM!。
案例

T.DIST.RT 函数
描述
返回学生的右尾 t 分布。
t 分布用于小型样本数据集的假设检验。 可以使用该函数代替 t 分布的临界值表。
用法
T.DIST.RT(x,deg_freedom)
T.DIST.RT 函数用法具有以下参数:
-
X必需。 需要计算分布的数值。
-
Deg_freedom必需。 一个表示自由度数的整数。
备注
-
如果任一参数是非数值的,则 T.DIST.RT 返回 错误值 #VALUE!。
-
如果 deg_freedom 1,则 T.DIST.RT 返回 错误值 #NUM!。
案例

T.TEST 函数
描述
返回与学生 t-检验相关的概率。 使用函数 T.TEST 确定两个样本是否可能来自两个具有相同平均值的基础总体。
用法
T.TEST(array1,array2,tails,type)
T.TEST 函数用法具有下列参数:
-
Array1必需。 第一个数据集。
-
Array2必需。 第二个数据集。
-
tails必需。 指定分布尾数。 如果 tails = 1,则 T.TEST 使用单尾分布。 如果 tails = 2,则 T.TEST 使用双尾分布。
-
Type必需。 要执行的 t 检验的类型。
参数

备注
-
如果 array1 和 array2 的数据点个数不同,且 type = 1(成对),则 T.TEST 返回错误值 #N/A。
-
参数 tails 和 type 将被截尾取整。
-
如果 tails 或 type 是非数值的,则 T.TEST 返回 错误值 #VALUE!。
-
如果 tails 是除 1 或 2 之外的任何值,则 T.TEST 返回 错误值 #NUM!。
-
T.TEST 使用 array1 和 array2 中的数据计算非负 t 统计值。 如果 tails=1,在假设 array1 和 array2 是具有相同平均值的总体中的样本的情况下,T.TEST 返回较高 t 统计值的概率。 tails=2 时,T.TEST 返回的值是 tails=1 时返回值的两倍,并对应假设“总体平均值相同”时较高的 t 统计绝对值的概率。
案例

TREND 函数
描述
返回线性趋势值。 找到适合已知数组 known_y’s 和 known_x’s 的直线(用最小二乘法)。 返回指定数组 new_x’s 在直线上对应的 y 值。
用法
TREND(known_y’s, [known_x’s], [new_x’s], [const])
TREND 函数用法具有下列参数:
-
Known_y’s必需。 关系表达式 y = mx + b 中已知的 y 值集合。
-
如果数组 known_y’s 在单独一列中,则 known_x’s 的每一列被视为一个独立的变量。
-
如果数组 known_y’s 在单独一行中,则 known_x’s 的每一行被视为一个独立的变量。
-
Known_x’s必需。 关系表达式 y = mx + b 中已知的可选 x 值集合。
-
数组 known_x’s 可以包含一组或多组变量。 如果仅使用一个变量,那么只要 known_x’s 和 known_y’s 具有相同的维数,则它们可以是任何形状的区域。 如果用到多个变量,则 known_y’s 必须为向量(即必须为一行或一列)。
-
如果省略 known_x’s,则假设该数组为 {1,2,3,...},其大小与 known_y’s 相同。
-
New_x’s必需。 需要函数 TREND 返回对应 y 值的新 x 值。
-
New_x’s 与 known_x’s 一样,对每个自变量必须包括单独的一列(或一行)。 因此,如果 known_y’s 是单列的,known_x’s 和 new_x’s 应该有同样的列数。 如果 known_y’s 是单行的,known_x’s 和 new_x’s 应该有同样的行数。
-
如果省略 new_x’s,将假设它和 known_x’s 一样。
-
如果 known_x’s 和 new_x’s 都省略,将假设它们为数组 {1,2,3,...},大小与 known_y’s 相同。
-
Const可选。 一个逻辑值,用于指定是否将常量 b 强制设为 0。
-
如果 const 为 TRUE 或省略,b 将按正常计算。
-
如果 const 为 FALSE,b 将被设为 0(零),m 将被调整以使 y = mx。
备注
-
有关 Microsoft Excel 对数据进行直线拟合的详细信息,请参阅 LINEST 函数。
-
可以使用 TREND 函数计算同一变量的不同乘方的回归值来拟合多项式曲线。 例如,假设 A 列包含 y 值,B 列含有 x 值。 可以在 C 列中输入 x^2,在 D 列中输入 x^3,等等,然后根据 A 列,对 B 列到 D 列进行回归计算。
-
对于返回结果为数组的公式,必须以数组公式的形式输入。
注意:在 Excel Online 中,不能创建数组公式。
-
当为参数(如 known_x’s)输入数组常量时,应当使用逗号分隔同一行中的数据,用分号分隔不同行中的数据。
案例

TRIMMEAN 函数
描述
返回数据集的内部平均值。 TRIMMEAN 计算排除数据集顶部和底部尾数中数据点的百分比后取得的平均值。 当您要从分析中排除无关的数据时,可以使用此函数。
用法
TRIMMEAN(array, percent)
TRIMMEAN 函数用法具有下列参数:
-
Array必需。 需要进行整理并求平均值的数组或数值区域。
-
百分比必需。 从计算中排除数据点的分数。 例如,如果 percent=0.2,从 20 点 (20 x 0.2) 的数据集中剪裁 4 点:数据集顶部的 2 点和底部的 2 点。
备注
-
如果 percent 0 或 percent 1,则 TRIMMEAN 返回 错误值 #NUM!。
-
函数 TRIMMEAN 将排除的数据点数向下舍入到最接近的 2 的倍数。 如果 percent = 0.1,30 个数据点的 10% 等于 3 个数据点。 为了对称,TRIMMEAN 排除数据集顶部和底部的单个值。
案例

VAR.P 函数
描述
计算基于整个样本总体的方差(忽略样本总体中的逻辑值和文本)。
用法
VAR.P(number1,[number2],...)
VAR.P 函数用法具有下列参数:
-
Number1必需。对应于总体的第一个数值参数。
-
Number2, ...可选。对应于总体的 2 到 254 个数值参数。
备注
-
VAR.P 假定其参数是整个总体。如果数据代表总体样本,请使用 VAR.S 计算方差。
-
参数可以是数字或者是包含数字的名称、数组或引用。
-
逻辑值和直接键入到参数列表中代表数字的文本被计算在内。
-
如果参数是一个数组或引用,则只计算其中的数字。数组或引用中的空白单元格、逻辑值、文本或错误值将被忽略。
-
如果参数为错误值或为不能转换为数字的文本,将会导致错误。
-
如果要使计算包含引用中的逻辑值和代表数字的文本,请使用 VARPA 函数。
-
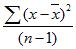
函数 VAR.P 的计算公式如下:

其中 x 为样本平均值 AVERAGE(number1,number2,…),n 为样本大小。
案例

VAR.S 函数
描述
估算基于样本的方差(忽略样本中的逻辑值和文本)。
用法
VAR.S(number1,[number2],...)
VAR.S 函数用法具有下列参数:
-
Number1必需。对应于总体样本的第一个数值参数。
-
Number2, ...可选。对应于总体样本的 2 到 254 个数值参数。
备注
-
函数 VAR.S 假设其参数是样本总体中的一个样本。如果数据为整个样本总体,则应使用函数 VAR.P 来计算方差。
-
参数可以是数字或者是包含数字的名称、数组或引用。
-
逻辑值和直接键入到参数列表中代表数字的文本被计算在内。
-
如果参数是一个数组或引用,则只计算其中的数字。数组或引用中的空白单元格、逻辑值、文本或错误值将被忽略。
-
如果参数为错误值或为不能转换为数字的文本,将会导致错误。
-
如果要使计算包含引用中的逻辑值和代表数字的文本,请使用 VARA 函数。
-
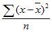
函数 VAR.S 的计算公式如下:

其中 x 为样本平均值 AVERAGE(number1,number2,…),n 为样本大小。
案例

VARA 函数
描述
计算基于给定样本的方差。
用法
VARA(value1, [value2], ...)
VARA 函数用法具有下列参数:
-
Value1, value2, ...Value1 是必需的,后续值是可选的。 这些是对应于总体样本的 1 到 255 个数值参数。
备注
-
VARA 假定其参数是总体样本。 如果数据代表的是样本总体,则必须使用函数 VARPA 来计算方差。
-
参数可以是下列形式:数值;包含数值的名称、数组或引用;数字的文本表示;或者引用中的逻辑值,例如 TRUE 和 FALSE。
-
逻辑值和直接键入到参数列表中代表数字的文本被计算在内。
-
包含 TRUE 的参数作为 1 来计算;包含文本或 FALSE 的参数作为 0(零)来计算。
-
如果参数为数组或引用,则只使用其中的数值。 数组或引用中的空白单元格和文本值将被忽略。
-
如果参数为错误值或为不能转换为数字的文本,将会导致错误。
-
如果要使计算不包括引用中的逻辑值和代表数字的文本,请使用 VAR 函数。
-
函数 VARA 的计算公式如下:

其中 x 是样本平均值 AVERAGE(value1,value2,…) 且 n 是样本大小。
案例

VARPA 函数
描述
根据整个总体计算方差。
用法
VARPA(value1, [value2], ...)
VARPA 函数用法具有下列参数:
-
Value1, value2, ...Value1 是必需的,后续值是可选的。 对应于总体的 1 到 255 个值参数。
备注
-
VARPA 假定其参数是整个总体。 如果数据代表总体样本,则必须使用 VARA 计算方差。
-
参数可以是下列形式:数值;包含数值的名称、数组或引用;数字的文本表示;或者引用中的逻辑值,例如 TRUE 和 FALSE。
-
逻辑值和直接键入到参数列表中代表数字的文本被计算在内。
-
包含 TRUE 的参数作为 1 来计算;包含文本或 FALSE 的参数作为 0(零)来计算。
-
如果参数为数组或引用,则只使用其中的数值。 数组或引用中的空白单元格和文本值将被忽略。
-
如果参数为错误值或为不能转换为数字的文本,将会导致错误。
-
如果要使计算不包括引用中的逻辑值和代表数字的文本,请使用 VARP 函数。
-
VARPA 的公式为:

其中 x 是样本平均值 AVERAGE(value1,value2,…) 且 n 是样本大小。
案例

WEIBULL.DIST 函数
描述
返回 Weibull 分布。 可以将该分布用于可靠性分析,例如计算设备出现故障的平均时间。
用法
WEIBULL.DIST(x,alpha,beta,cumulative)
WEIBULL.DIST 函数用法具有下列参数:
-
X必需。 用来计算函数的值。
-
Alpha必需。 分布参数。
-
Beta必需。 分布参数。
-
cumulative必需。 确定函数的形式。
备注
-
如果 x、alpha 或 beta 是非数值的,则 WEIBULL.DIST 返回 错误值 #VALUE!。
-
如果 x 0,则 WEIBULL.DIST 返回 错误值 #NUM!。
-
如果 alpha ≤ 0 或 beta ≤ 0,则 WEIBULL.DIST 返回 错误值 #NUM!。
-
Weibull 累积分布函数的公式为:

-
Weibull 概率密度函数的公式为:

-
当 alpha = 1,函数 WEIBULL.DIST 返回指数分布:

案例

Z.TEST 函数
描述
返回 z 检验的单尾 P 值。
对于给定的假设总体平均值 x,Z.TEST 返回样本平均值大于数据集(数组)中观察平均值的概率,即观察样本平均值。
用法
Z.TEST(array,x,[sigma])
Z.TEST 函数用法具有下列参数:
-
Array必需。 用来检验 x 的数组或数据区域。
-
x必需。 要测试的值。
-
Sigma可选。 总体(已知)标准偏差。 如果省略,则使用样本标准偏差。
备注
-
如果 array 为空,则 Z.TEST 返回错误值 #N/A。
-
不省略 sigma 时,函数 Z.TEST 的计算公式如下:
Z.TEST(array,x,sigma) = 1- Norm.S.Dist((Average(array)- x) / (sigma/√n),TRUE)
省略 sigma 时,函数 ZTEST 的计算公式如下:
Z.TEST(array,x) = 1- Norm.S.Dist((Average(array)- x) / (STDEV(array)/√n),TRUE)
其中,x 为样本平均值 AVERAGE(array),n 为 COUNT(array)。
-
Z.TEST 代表基础总体平均值为 μ0 时样本平均值大于观察值 AVERAGE(array) 的概率。 在正态分布对称情况下,如果 AVERAGE(array) x,则 Z.TEST 将返回的值大于 0.5。
-
当基础总体平均值为 x,样本平均值从 x(沿任一方向)变化到 AVERAGE(array) 时,下面的 Excel 公式可用于计算双尾概率:
=2 * MIN(Z.TEST(array,x,sigma), 1 - Z.TEST(array,x,sigma))。
案例

以上是所有EXCEL的统计函数(9)描述用法以及使用案例。这次分享中存在哪些疑问或者哪些不足,可以在下面进行评论。如果觉得不错,可以分享给你的朋友,让大家一起掌握这些excel的统计函数(9)。