天津市和平区2021-2022学年九年级上学期期末化学~试题版
可能用到的相对原子质量:H1 C12 N14 O16 Na23 Mg24 AI127 S 32 CI 35. 5 K 39 Ca 40 Mn 55 Fe 56 Cu 64 Zn 65
第I卷
一、选择题(本大题共10小题,每小题2分,共20分。每小题给出的四个选项中,只有一个最符合题意)
1. 下列物质分别加入适量水中,充分搅拌,能够得到溶液的是( )
A. 蔗糖 B. 花生油 C. 面粉 D. 冰块
2. 下列图标解读不正确的是( )

A.不可回收

B.严禁烟火

C.当心爆炸

D.节约用水
3. 国家卫计委发布《中国居民膳食指南(2016)》,倡导健康安全的生活理念,下列说法不合理的是( )
A. 奶制品中含钙丰富,是日常饮食中钙的来源之一
B. 食物合理搭配,以保证各种营养素的均衡摄入
C. 硒、碘等微量元素在人体中的含量很小,对维持正常生命活动作用不大
D. 糖类和油脂在人体内经氧化释放能量,提供机体活动和维持恒定体温的需要
4. 下列实验方案错误的是( )
A. 探究NH4NO3溶解时的温度变化

B. 配制一定溶质质量分数的NaCl溶液

C. 验证木炭的还原性

D. 探究铁生锈条件

5. 下列实验方案不能达到目的的是( )
A. 用点燃的方法除去二氧化碳中的少量一氧化碳
B. 用溶解、过滤、蒸发的方法从粗盐(含泥沙)中提取纯净的氯化钠
C. 除去FeCl2溶液中的CuC12杂质,加入过量的铁屑充分反应,过滤
D. 除去水中的异味和色素,用活性炭吸附
6. 人人都应践行“绿水青山就是金山银山”的理念,下列说法不符合该理念的是( )
A. 保护金属资源,提倡合理开发
B. 化石燃料取之不尽,提倡大量使用
C. 为了使天空更蓝,提倡植树造林
D. 倡导“低碳”生活,提倡纸张双面使用
7. 如图所示实验,下列说法错误的是( )

A. 由甲图可知,O2占空气质量的21% B. 由乙图可知,白磷燃烧需要和空气接触
C. 薄铜片上的白磷燃烧,冒出白烟 D. 点燃红磷后,要迅速放入集气瓶中
8. a、b、c三种固体物质的溶解度曲线如图所示。下列说法正确的是( )

A. t1℃时,a物质的溶解度是30g
B. t2℃时,b的饱和溶液中溶质的质量分数为50%
C. t3℃时,各取15ga、b、c三种物质分别加入到50g水中充分溶解,能得到饱和溶液的是c
D. t3℃时:a、b、c三种物质的饱和溶液均降温到t1℃,三种物质溶质质量分数大小关系为b>c>a
9. 构建元素化合价和物质类别的二维图是学习化学的一种重要方法。下图是碳元素的“价类二维图”。下列说法错误的是( )

A. A点可能是CH4
B. B点对应的物质充分燃烧可得到D点对应的物质
C. 某化合物化学为CaCO3,它对应的点是F
D. C点对应的物质与水反应可得到E点对应的物质
10. 化学物质通常都有其“功”与“过”,以下对化学物质的评价不符合事实的是( )
A. 氧气可供人呼吸但会使食物变质
B. 化肥能促进植物生长但会污染土壤
C. 一氧化碳可用于冶炼金属但会使人中毒
D. 二氧化碳能灭火但会造成酸雨
二、选择题(本大题共5小题,每小题2分,共10分。每小题给出的四个选项中,有1-2个符合题意。只有一个选项符合题意的多选不得分;有2个选项符合题意的只选一个且符合题意得1分,若选2个有一个不符合题意则不得分)
11. 回收含铜废料(主要成分为Cu)中的铜,部分实验流程如下:

注:灼烧后得到黑色固体和残留物,残留物不溶于水和稀硫酸。
下列关于该流程的说法,错误的是( )
A. “灼烧”的主要目的是将Cu转变为CuO B. 滤液X中的溶质为FeSO4
C. “酸溶”和“还原”过程中发生的反应均为置换反应 D. 将Cu、Fe混合物加入足量稀硫酸中,充分反应后过滤得Cu
12. 下列各图像中有关量的变化趋势与选项要求相符合的是( )
A. 向足量的硫酸铜溶液中加入铁和镁固体混合物

B. 将金属铜加入硝酸银溶液中

C. T℃时,往饱和NaCl溶液中加入NaCl固体

D. 气体物质的溶解度与温度和压强的关系

13. 下列实验试剂或方法不能达到实验目的的是( )
|
选项 |
实验目的 |
实验试剂或方法 |
|
A |
鉴别硝酸铵和氢氧化钠 |
取样,分别溶解在水中,比较溶液温度 |
|
B |
鉴别碳和铁粉 |
取样,分别加入双氧水中,观察现象 |
|
C |
鉴别CO2和CO |
通入澄清石灰水后,观察现象 |
|
D |
区分棉纤维、涤纶、羊毛线 |
点燃,观察现象并闻气味 |
A. A B. B C. C D. D
14. 将一定量的铝粉投入到含溶质为Mg(NO3)2、Cu(NO3)2、AgNO3的溶液中,充分反应后过滤,滤液呈蓝色。下列说法错误的是( )
A. 滤渣中一定有Ag、Cu
B. 滤渣中一定有Ag,可能有Cu,没有Mg
C. 滤液中一定没有Cu(NO3)2、AgNO3
D. 滤液中一定有Al(NO3)3、Mg(NO3)2
15. 有两种铁的氧化物X、Y,质量分别是0.4g与0.435g,在高温的条件下分别用CO还原成铁单质,把各自生成的CO2分别通入足量澄清石灰水中,都得到0.75g沉淀,则X、Y的化学式为( )
A. FeO、Fe2O3 B. Fe2O3、Fe3O4 C. FeO、Fe3O4 D. Fe3O4、Fe2O3
第Ⅱ卷
三、填空题(本大题共3题,共20分)
16. 从下列选项中选择一种适当的物质填空,并将字母序号填写在横线上。
A.石墨 B.金刚石 C.乙醇 D.稀有气体 E.一氧化碳 F.炭黑
(1)可用来治炼金属的是_____________。
(2)用于多种电光源的是_____________。
(3)添加到橡胶中,增强耐磨性的_____________。
(4)可作干电池电极的是_____________。
(5)可用于裁切玻璃的是_____________。
(6)充分燃烧时,可生成两种氧化物的是_____________。
17. 我国自行研发的大型客机C919于近年成功试飞,请根据所学知识回答问题。
(1)下列金属制品的用途,利用金属导热性的是 。
A.铁锅

B.铜导线

C.钢丝绳

D.黄金饰品

(2)选用铝合金做飞机机身而不选用纯铝,主要原因是铝合金硬度和强度_________(填“大于”或“小于”)纯铝。
(3)飞机所用的下列材料属于合成材料的是 _________。(填序号)
A. 塑料扶手 B. 纯羊毛毯 C. 真皮座套 D. 铜制扣件
(4)飞机上的镀铬铁制品能防锈蚀,其防锈原理是阻止了铁与_________接触。
(5)若要验证飞机材料中的Fe、Cu和A1的金属活动性顺序,只需一种试剂直接与上述三种金属反应就能达到目的,该试剂是_________ 。(填序号)
A. 硫酸铝溶液 B. 硫酸亚铁溶液 C. 硫酸铜溶液
(6)某炼铁厂现用1000t含氧化铁80%的赤铁矿石,理论上可以炼出含铁97%的生铁的质量是_______t。(计算结果精确到0.1)
18. 为解决能源与环境问题,有学者提出如图1所示的含碳物质转化的技术路线。

(1)“可燃冰”中甲烷完全燃烧的化学方程式为___________。
(2)人类正面临常规能源枯竭的危机,下列有关能源的认识正确的是_________ 。
A. 提高能源利用效率
B. 积极寻找替代常规能源的新能源
C. 自然界的能量虽然守恒,但还是要节约能源
(3)反应④中,参加反应的CO2和生成的CH4的分子数目之比为__________。
(4)我国学者开发促进反应③的一种新型催化剂,催化过程微观示意图如图2,该过程的中间产物________(填化学式)、氧和氢进一步作用生成甲醇(CH3OH)和水。
(5)该技术路线有利用于实现_________(填标号)。
A. 碳循环利用 B. 减少碳排放 C. 减少白色污染
(6)将一定质量的甲醇与一定量氧气混合于密闭容器内,在一定条件下,发生如下反应:

当反应物完全耗尽且全部转化为生成物时,有5.4g水生成,同时消耗氧气的质量为_____g。
四、简答题(本大题共3题,共18分)
19. 书写下列方程式。
(1)检验二氧化碳的反应__________。
(2)乙醇燃烧的反应__________。
(3)一氧化碳还原氧化铁的反应__________。
20. 下列是MgSO4和KC1的溶解度表及溶解度曲线。

请分析后回答下列问题:

(1)代表KCl溶解度曲线的是__________(填“甲”或“乙”)。
(2)t3℃时,等质量的两种物质饱和溶液,均降温到t1℃,析出晶体质量关系甲______乙(填“>”“<”或“无法确定”).
(3)t2℃的范围为_________(填字母)。
A. 30-40 B. 40-50 C. 70-80 D. 80-90
(4)t3℃时MgSO4的饱和溶液降温到t1℃,溶液中溶质的质量分数的变化情况是_________(填字母)。
A. 始终不变 B. 先增大后减小 C. 先减小后增大 D. 先不变后减小 E. 先不变后增大
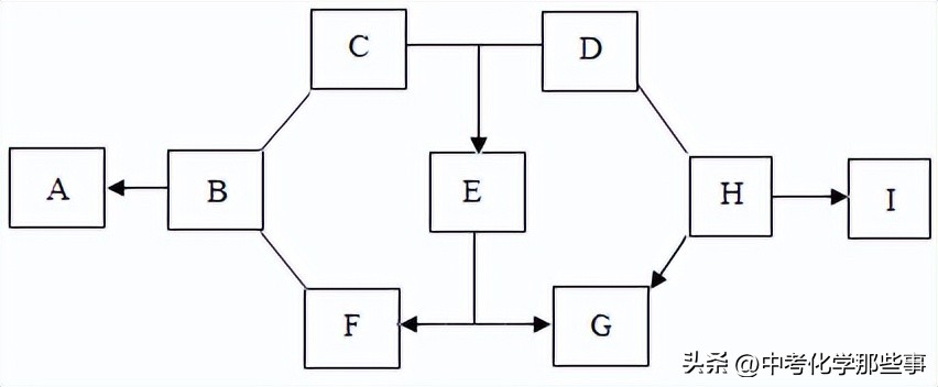
21. 下图中的A~I表示几种初中化学常见的物质,其中A、D、I是氧化物,I是一种有毒气体,B单质中的元素在地壳中的含量位居第三,C由三种元素组成,G为紫红色。图中“一”表示两端的物质间能发生化学反应,“→”表示物质间存在转化关系,部分反应物、生成物或反应条件已略去。

(1)写出G的化学式:_________。
(2)写出B→A反应的化学方程式:_________。
(3)写出E→G反应的化学方程式:_________。
(4)写出H→I反应的化学方程式:_________,此反应为_________。反应(填“吸热”或“放热”)。
五、实验题(本大题共3题,共22分)
22. 如图实验装置,完成实验。

(1)X的名称:___________。
(2)用高锰酸钾制取O2,选用__________装置(选填“A”“B”“C”),其反应方程式为:_________。
(3)实验室制取H2最常用的化学方程式:__________。
用如图装置制取干燥CO2气体。

(4)制取干燥CO2气体,导管口a接:____________(选填“b”或“c”);
(5)写出实验室制取CO2的化学方程式:____________。
23. 化学来源于生活,化学与生活密切相关。
(1)食品包装中常充N2以防腐.是由于N2的化学性质_______。
(2)“合理膳食,均衡营养”会让我们更健康。
①下列食品中富含糖类的是_______(填序号,下同)。
A鸡蛋 B馒头 C蔬菜
②为了预防佝偻病,幼儿及青少年可以补充一些含_______元素的食品。
(3)生活中的下列做法,有利于人体健康的是__________ 。
A食用霉变的花生 B倡导不吸烟 C食用甲醛溶液浸泡的海产品
(4)已知石蜡的着火点约为190℃,蜡烛的火焰由气态石蜡燃烧形成。如图所示,在温度计示数为280℃以上时,快速推动活塞,会观察到蜡烛立即熄灭。蜡烛熄灭的主要原因是_______(填序号)。

A移走可燃物 B隔绝氧气 C降低温度至者火点以下
(5)影视舞台上经常见到云雾缘绕,使人如入仙境的景象。产生这种景象可用的物质是______。
24. 制作“叶脉书签”需用到10%的氢氧化钠溶液。现配制50g质量分数为10%的氢氧化钠溶液。

(1)配制溶液的正确操作顺序为________(填序号,下同),其中操作错误的是_________。
(2)若用氢氧化钠固体配制,需称量氢氧化钠的质量为_________g。
(3)用氢氧化钠固体配制10%的氢氧化钠溶液过程中需要用到的仪器除了托盘天平、药匙、量筒、烧杯、胶头滴管、试剂瓶外,还需要_________。
(4)下列操作正确的是 (填字母)。
A. 倾倒液体时,标签朝向手心
B. 在托盘天平的左右托盘上垫滤纸称量氢氧化钠固体
C. 量取液体后读数时,应仰视液面
D. 将配制好的氢氧化钠溶液装入试剂瓶中,塞好瓶塞并贴上标签
(5)若用20%的氢氧化钠溶液加水(水的密度为1g/cm3)配制50g质量分数为10%的氢氧化钠溶液,需20%的氢氧化钠溶液的质量为________g;配制时应选用________mL的量筒量取水(填“10”或“50”)。
六、计算题(本题共2题,共10分)
25. 过氧乙酸是生活中常用的消毒剂,其分子结构如图所示。计算:

(1)过氧乙酸的相对分子质量__________。
(2)过氧乙酸中碳、氢元素质量比__________。
(3)15.2g过氧乙酸中氧元素的质量为__________g。
26. 某补钙片的主要成分为CaCO3,每片钙片重0.5g(假设钙片中其他成分不含钙元素,不溶于水且不与任何物质发生反应)。化学兴趣小组为测定钙片中钙元素的含量,进行了如图实验:

根据图示信息,完成下列各题:
(1)钙片中钙元素的质量分数为_________。
(2)所用稀盐酸中溶质质量分数?
(3)求恰好完全反应时所得溶液溶质质量分数?(要求写出计算过程)