最近,有同学问了五三上这样一道解三角形的题目:

这道题目是一道陈题,有给出的标准答案(见后面),不过笔者觉得倒是可以使用对偶的方法来解决。所谓对偶方法,就是利用一些“对称”的性质来解,这种方法在求函数值域和三角函数值时比较常用,如下:

对于三角函数求值,还需要和倍角公式结合:





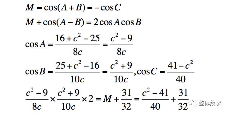
下面给出开头题目的对偶解法以及标答:



最近,有同学问了五三上这样一道解三角形的题目:

这道题目是一道陈题,有给出的标准答案(见后面),不过笔者觉得倒是可以使用对偶的方法来解决。所谓对偶方法,就是利用一些“对称”的性质来解,这种方法在求函数值域和三角函数值时比较常用,如下:

对于三角函数求值,还需要和倍角公式结合:





下面给出开头题目的对偶解法以及标答:


