以前在互联网上有这么一个论调,带偏了很多人。那就是一些街头采访里问男人多少多少岁应该有多少多少存款。或者就是问如果男人30岁了,还一事无成,是不是就代表失败了。类似这种调性的所谓街头采访和论调其实一直在洗年轻人的脑,想表达一个核心观念,那就是——一个人如果到了指定年龄(通常是30岁),如果既没存款,又一事无成,那么这个人就是个“废柴”!
而我恰巧看到了一篇文章,里面就在问:“如果一个人40岁了,还在投简历找工作,很丢人吗?”

其实这个问题如果按照我文章开头的那个论调来看,那肯定丢人,丢人丢到家的那种丢人!说40岁找工作还丢人的,抛出的论点无非就是——当一个人已经40岁了,那么他的社会地位、人脉、以及存款肯定都已经比一般人要丰富的多了。
所以,按照这个说法,如果40岁还不能利用这些东西实现自己的价值,比如自己开个公司,或者在一个公司当管理层,那么这样一个人不丢人谁丢人?
我不说那么多大道理,我只你举一个例子,通过这个例子,我们来想想,到底40岁还在找工作丢不丢人!
如果一个公司有100个人,管理层有10个人,剩下90个人都是普通员工。那么,管理层在整个公司的占比其实就是10%。
假设这10%的人一年走一个,然后每年再从剩下90个人里挑一个来提拔,如果一个人不幸正好排在第90位。不好意思,TA想要成为管理层,所需要经历的时间就是90年!或者我们把这个时间再减少一半,那也是45年。

一个人如果是从20岁开始上班,那么可能他到65岁退休才有可能挂一个“名誉管理层”。并且,如果你想把这个时间往前提一点,那么你就要做出比常人还要优秀的成绩出来才行。
不可否认,有的人可能在二十几岁就能达到这个小目标。但是这些人肯定都是一些出类拔萃的人,什么叫“出类拔萃”,这个不用我去解释了吧?
还有人会说:“你就不知道换公司啊?就知道傻乎乎在一个公司搞内耗!”
这里我就要说一个类似于哲学的问题了。如果所有因为内耗导致的晋升缓慢都可以用换公司来解决的话,会涉及到一个问题,那就是平行线问题。
意思就是大家能力都很强,都觉得自己公司看不到自己的光芒,想要去换一家公司的时候,就会涉及到一个“坑位”问题。

之前说了,公司的管理层大概占公司的10%左右,此时100个人同时应聘一家公司的管理层,必定会有90个人被刷下来。被刷下来的人再去别的公司应聘那10%的管理岗,还会有80个人被刷下来......
无论什么时候,管理岗的位置都是小于普通岗位的,所以必定会有90%的人是普通再普通不过的上班族。
有人会说:“既然当不了管理,你可以去创业呀!”
回答这个问题,我们先要了解下,目前中国注册企业的数量。
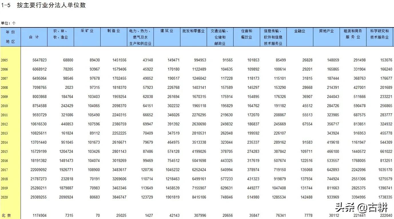
下图是国家统计局,《中国统计年鉴》——2020年按地区和登记注册类型分企业法人单位数量表:

根据《中国统计年鉴》登记的企业数量显示,截止2020年,全国登记的企业单位数量为25055456个,其中私营企业登记数量为22835565个。
截止2020年,中国总人口为14亿零1200万人。折合每64个人里,有一个人是做企业的。这么算可能有些不严谨,就算25个人里有一个是做企业的吧!那也会剩下24个人不是开公司的。这24个人里按照上面说的10%的人为管理层,那也剩下至少20个人是个普通上班族!
而2005年开始,我们国家注册企业的法人数量才500多万,那时候我们的总人口也才13亿啊!
具体数据可以看下图:

而从这张图里我们可以看出,从2016年开始到2020年,注册企业的法人人数短短4年就增加了1000多万人。
再反观过去十年,十年前注册企业的法人也就1000万出头而已。
做企业还有风险,我们就假设这些人全部都是成功的,那么能够自己出来创业的和只能老老实实当普通上班族的人,倾斜度还是挺大的。
所以,不是你想创业就能创业的!
也许我说了那么多,可能还会有人认为,40岁出来找工作还是很丢人。
没办法,因为人的认知是有局限性的。我无法让所有人认同我的观点。

但是我想说的是,总得有人去干那些普通再普通不过的活,总得有人平淡无奇地过一生吧。如果每一个人最终都能到达金字塔的顶端,那也只能说明一个问题,那就是——你爬的不是金字塔,而是一个正方形塔!但机会还是留给少数人的,最终正方形塔还是会变成金字塔,原先正方形塔两边的人,终究会落下来!