今日土建超人长沙为大家分享 市政工程专业 必备考点第二部分内容:(专业基础知识)
1、投影是研究投影线、空间形体、投影面三者关系的。
2、用投影来表示物体的方法称为投影法。
3、投影分为两大类:中心投影法和平行投投影法。
4、隧道的作用:山岭隧道是为铁路、公路穿越山岭修建的建筑物。
5、隧道工程图的内容:洞身衬砌断面图、洞门图以及大小避车洞的构造图等。


7、沥青的三大指标:针入度、延度、软化点。
8、硅酸盐水泥的原料与生料的化学组成
生料主要化学成分:CaO,SiO2,Al2O3和Fe2O3。
9、硅酸盐水泥熟料的矿物组成
(1) 经高温煅烧后,以上四种化学成分化合为熟料中的主要矿物组成:
硅酸三钙:3 CaO∙SiO2简式为C3S
硅酸二钙:2 CaO∙SiO2简式为C2S
铝酸三钙:3 CaO∙Al2O3简式为C3A
铁铝酸四钙:3 CaO∙Al2O3 ∙Fe2O3简式为C4AF
10、细度是指水泥粉体的粗细程度或水泥分散度的指标。
11、混凝土外加剂:1)减水剂;2)引气剂;3)缓凝剂;4)早强剂;5)速凝剂;6)防水剂。
12、公理1 二力平衡公理
作用于同一刚体上的两个力,使刚体保持平衡的充分和必要条件是:这两个力的大小相等、方向相反,且作用在同一直线上。(等值、反向、共线)
13、二力构件:只受两个力作用而平衡的构件称为二力构件。(二力杆)
14、公理2 加减平衡力系原理
在已知力系上加上或减去任意的平衡力系,并不改变原力系对刚体的作用效应。
15、公理3 力的平行四边形法则
作用在物体上同一点的两个力,可以合成为一个合力。合力的作用点也在该点,合力的大小和方向,由这两个力为边构成的平行四边形的对角线来确定。
16、公理4 作用和反作用定理
两物体间的相互作用力总是大小相等、方向相反、沿同一直线,同时分别作用在这两个物体上,这两个力互为作用力和反作用力。
17、平面弯曲梁的强度条件

18、最大正应力发生在最大弯矩截面的上、下边缘处,该处的切应力为零,即正应力危险点处于单轴应力状态;
19、最大剪应力通常发生在最大剪力截面的中性轴处,该处的正应力为零,即剪应力危险点处于纯剪切应力状态;
20、高程测量原理: 利用一条水平视线,对立在待测高差两点上的水准尺进行观测,测定出两点之间的高差,然后由已知点的高程推算出未知点的高程。
21、高差=后视读数-前视读数:

22、误差传播定律:是指描述观测值中误差与其函数中误差之间关系的定律。
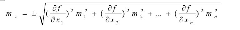
23、一般函数的中误差
设Z=f(x1,x2,…,xn),其中x1,x2,…,xn属于独立自变量(如直接观测值),他们的中误差分别为m1,m2,…,mn则函数Z的中误差为 :


25、等高距:相邻等高线之间的高差h。
26、等高线平距:相邻等高线之间的水平距离d。
27、等高线平距与地面坡度i:

注:由于h为定值,所以 i 与d成反比。
28、山脊:是沿着一个方向延伸的高地。山脊的最高棱线称为山脊线(分水线)。
29、山谷:是沿着一个方向延伸的洼地。贯穿山谷最低点的连线称为山谷线(集水线)。
30、孔隙比e :土中孔隙体积与土粒体积之比

31、孔隙率n :土中孔隙体积与总体积之比,以百分数表示。

32、土的饱和度Sr:土中孔隙水的体积与孔隙总体积之比,以百分数表示。

33、影响渗透系数的因素:
1)土粒大小与级配;2)土的密实度;3)土中封闭气体含量;
4)土的矿物成。


关注“土建超人长沙”,每日更新必备考点知识!