碳水化合物是世界各地的饮食主食。他们在媒体上也受到很多负面关注。
随着新的时尚饮食的兴起和过时,每种人都有不同的想法来摄取适量的碳水化合物。
尽管它曾经被认为是一种超级食品,但糖(最简单的碳水化合物)现在却以反面的姿态出现。甚至有运动将糖重新分类为危险和令人上瘾的药物!
多糖(人们通常认为是“碳水化合物”)在几年前就广为流传,但现在人们意见不一。

由于健康风险,生酮饮食(低碳水化合物,高蛋白质和脂肪)已失宠,但是,关于碳水化合物是否对您有益仍然存在争议。
美运动员声称它们对运动表现和新陈代谢有益。营养学家警告血糖升高和体重增加的风险。
从健康食品辩论的背景来看,并不总是确切地知道什么是碳水化合物。该术语往往被用作所有淀粉类食品的统包。
尽管淀粉是碳水化合物,但也有许多其他碳水化合物。碳水化合物是大量营养素(需要大量消耗才能维持生命的分子)。
它们是地球上最丰富的生物分子,呈多种形式。糖,信号分子,部分或我们的免疫系统,核酸以及许多结构成分都是由碳水化合物形成的。
碳水化合物的化学成分赋予它们多种特性,可帮助它们发挥许多不同的作用。最重要的是,它们由基本单元形成,然后可以像乐高积木一样链接在一起以形成大而独特的分子。
在此方面唯一优于碳水化合物的生物分子是蛋白质。任何碳水化合物的常见分子式为C n(H 2 O)n。
这些分子的名称是从该比率得出的:每个碳原子(carbo-)都有相等量的水(-水合物)。由于碳,氢和氧的组合很容易被氧化,但往往不会自行分解。
因此碳水化合物具有很高的能量潜能和结构稳定性。这使其成为促进生化反应的理想选择。实际上,碳水化合物葡萄糖的氧化是为地球上所有生命提供动力的基本化学反应。
单糖
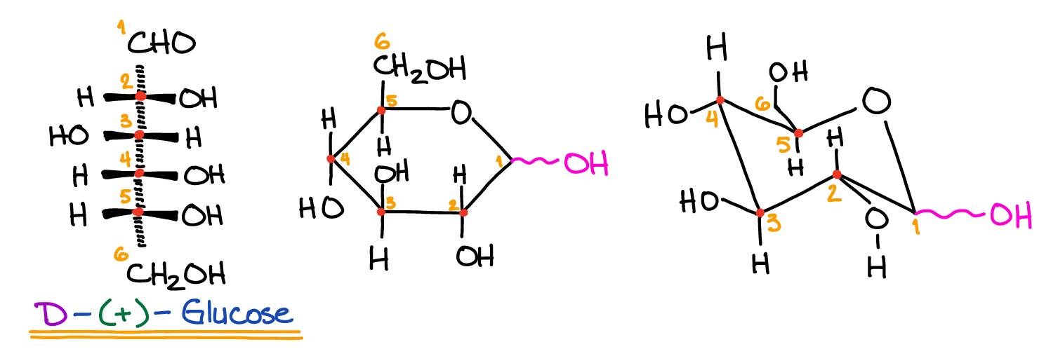
碳水化合物的最小*能官**团是单糖。词根“糖”源自希腊语中的“甜”一词,因为这些单位具有独特的甜味。单糖有时被称为单糖。
它们形成最简单的碳水化合物,是具有许多醇(-OH)*能官**团的碳链和特殊的双键氧(酮或醛糖),可以使链形成环。有许多简单的糖被消耗的例子。
葡萄糖是一种通过血糖评估来衡量的分子,是整个生命中生物能量的关键来源。
果糖是植物中制成的一种糖。它是高果糖玉米糖浆中甜味的来源。

半乳糖是哺乳动物产生的一种糖,可以与葡萄糖结合形成乳糖。

也有许多类型的单糖无法消化以获取能量。核糖是组成DNA和RNA的核苷酸中的主要结构成分。甘露糖是存在于称为糖蛋白的信号传导分子中的简单糖。
二糖
大多数人会熟悉的糖类型是二糖,即通过特殊键连接在一起的两个单糖。连接两个单糖的键称为糖苷键。之所以会发生这种情况,是因为单糖环中的特殊碳(异头碳)可以与不同单糖上的-OH基团结合而形成键加水。
二糖具有更大的双环结构,并具有基于连接单糖的各种特性以及糖苷键的位置和立体化学。许多天然存在的糖是葡萄糖的二糖和一些其他单糖。蔗糖(食用糖)由葡萄糖和果糖这两种单糖组成。乳糖(牛奶糖)由葡萄糖和半乳糖的单糖组成。

多糖类
大多数碳水化合物不以相对较小的单糖或二糖形式存在,而是形成通过糖苷键连接在一起的简单糖的大量链。这些结构的形式和功能高度不同,但统称为多糖。从技术上讲,碳水化合物一词包括所有糖类。
但是,用随意的语言,人们用它来指淀粉。多糖往往不具有单糖和二糖的特征性甜味。它们的大小可以相差很大,范围从仅几个单糖单元到数百个单糖的庞大复合物。它们也可以具有不同的结构。
糖苷键出现在每个单元的同一位置的多糖会形成长链,这些长链会围绕自身缠绕而形成螺旋结构。或者,一些单元可以具有多个糖苷键,从而导致松散的分支结构。最后,多糖可以完全由一个单糖单元(同质多糖)组成,也可以具有两种或三种不同单糖(杂多糖)的重复模式。
均多糖
用作能源的多糖倾向于是由葡萄糖组成的均多糖。在植物中,这种能源称为淀粉,有两种。直链淀粉是直链淀粉。它形成紧密的螺旋状,堆积成晶体结构。由于直链淀粉包装紧密,因此能量密度更高,但溶解性较差,难以消化。
支链淀粉是具有短分支链的淀粉。它易于消化,易溶于水,但能量密度较低,因为分支阻止了紧密堆积。厨师使用淀粉作为能源和增稠剂。动物和真菌具有类似于淀粉的分子,称为糖原。
糖原不是形成像淀粉一样的螺旋结构,而是形成附着在中央蛋白质上的葡萄糖高度分支链的颗粒。它在肝脏中制成,可作为肌肉组织的中期能量存储。一罐垃圾邮件底部的透明果冻状物质主要是糖原。
均多糖也可以形成坚固的结构材料,纤维素是一种坚固的纤维材料,有助于在植物和微生物中形成细胞壁。它是由葡萄糖的线性链构成的。但是,与直链淀粉不同,糖苷键的形状使结构不溶且难以消化。
纤维素在食品中被称为膳食纤维,由棉纤维,纸制品和木材构成。几丁质是自然界中经常发生的另一种结构同多糖。它形成了昆虫的外骨骼和鱼鳞。像纤维素一样,几丁质在线性葡萄糖的不溶链上形成。然而,每个葡萄糖单元都被修饰为具有连接的胺基(-NH 2)。

杂多糖
杂多糖以重复方式包含两个或三个不同的单糖。这些碳水化合物通常与形成称为糖脂或糖蛋白的杂化结构的脂质或蛋白质紧密结合。这些分子广泛存在于植物,动物和微生物中。这些分子的组成和形状具有极大的多样性,许多分子的确切结构仍然未知。
许多杂多糖与医学有关。例子包括透明质酸,其在软骨,皮肤和神经组织中用作高度亲水的减震剂和润滑剂;肝素,一种天然存在于血液中的抗凝剂和免疫球蛋白(抗体),对主动免疫系统至关重要。
结论
碳水化合物是一大类生物分子,其功能的复杂性和多样性可与蛋白质相媲美。它们的大小可以从相对简单的单糖到广泛的多糖复合物。它们具有结构稳定性和高势能的独特组合,使其成为大分子中促进新陈代谢的理想选择。
但它们还具有许多其他功能,包括结构和细胞信号传导。我们仅通过将碳水化合物视为面食和土豆来破坏碳水化合物。它们是地球上所有生命必不可少的独特且高度多样化的分子家族。
聚合猫
泛化工领域综合性新媒体,化工人学习交流优质平台,化工企业产品推广优质渠道。海量化工动态、原料配方、技术干货、化工会展,尽在聚合猫!