
作者:
■宋小林
摘要:等差数列是高中数学的重要知识点,对等差数列的考查过程是一种对创新思维能力的考查.本文通过对等差数列的知识掌握程度和创新思维能力进行分析,提出相关题型快速解答策略.
关键词:等差数列;创新思维;求和公式
作者简介:宋小林(1981-),男,江苏省新沂人,本科,中小学一级教师,主要从事高中数学教学研究。
一、等差数列题型基础解法
1.利用等差数列概念解题
例1 已知数列{aₙ}是首项为a₁=1,公差值为d=3的等差数列,如果aₙ=2005,则n为( ).
思路分析:直接利用等差数列的通项公式进行求解.
解析:将已知条件代入通项公式aₙ =a₁+(n-
1)d中,可以得出:
2005=1+3(n-1)⇒n=699
2.利用等差数列性质解题
例2 在等差数列{aₙ}中,
(1)若S₁₀=30,S₂₀=80,求S₃₀
(2)若a₁+a₂+…+a₉=7,a₅₅+a₅₆ +…+a₆₃=25,求a₉₁+a₉₂+…+a₉₉.
解析:(1)由等差数列的求和公式可知:

图1
同理可以得出:

图2
=20a₁+190d=80
由此可以得出: a₁=2.1,d=0.2
等差数列前30项之和可表示为:

图3
=30a₁+435d=150
(2)由等差数列的求和公式可知:

图4
同理可以得出:
S₆₃-S₅₄=(63a₁+1953d)-(54a₁+1431d)
=25⇒9a₁+ 522d = 25
由此可以求得:

图5
则: a₉₁+a₉₂+…+a₉₉=S₉₉-S₉₀
=(99a₁+4851d)-(90a₁+4005d)
=9a₁+ 846d
由此可以求得:a₉₁+a₉₂+…+a₉₉=37.
二、等差数列题型巧解法
1.构造法
例3 设等差数列{aₙ}的前n项和为Sₙ,Sₘ₋₁=-2,Sₘ=0,Sₘ₊₁=3,则m=( )
(A)3 (B)4
(C)5 (D)6
解析:由等差数列的求和公式可知:

图6
可以得出:

图7
对以上等式分析可以得出数列{bₙ}为等差数列:

图8
根据等差数列性质有:
2bₘ=bₘ₋₁ + bₘ₊₁⇒

图9
求解可以得出:m=5.
2.函数法
例4⁽¹⁾ 已知等差数列{aₙ}中,a₁=1,前16项的
和为S₁₆=1,设Aₙ=a₂+a₄+a₈+…+a₂ₙ,求Aₙ的最大值.
解析:题目中已知 S₁₆=1,因此可以得出:
S16 = 16a₁+120d=1⇒

图10
由此可以得出:
a₂ₙ=a₁+(2ⁿ-1)d

图11
则:

图12
求Aₙ的最大值可通过求自变量n的函数Aₙ的最大值,求解得出:
当n=3时,Aₙ取最大值,

图13
三、方法总结
等差数列的考核形式多样,但其基础形式及相关性质是解答该类问题的根本.需要充分理解记忆等差数列基础知识,形成完整的思路框架,利用创造性思维在解答过程中快速准确求解⁽¹⁾.
参考文献:
⁽¹⁾宁永明,吴华.由教材定义出发,通过变式探索解题方法[J].新课程:中学,2019(5):6-8.
作者单位:
[江苏省新沂市第一中学(221400)]
文章来源:
数理化学习 高中版 2021年第7期 page 7~8
特别收录●等差数列基础知识
《数学辞海》第一卷中查阅等差数列,请看下图:


等差数列的常用公式如下:
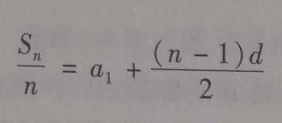
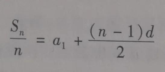
已知首项和公差,可以用下面的公式求和。

变形一下,得到下面的公式:

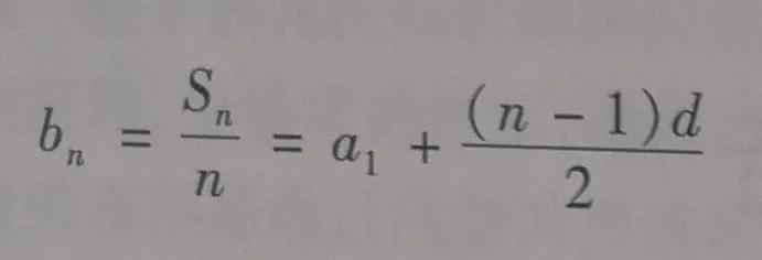
还有一个推论:

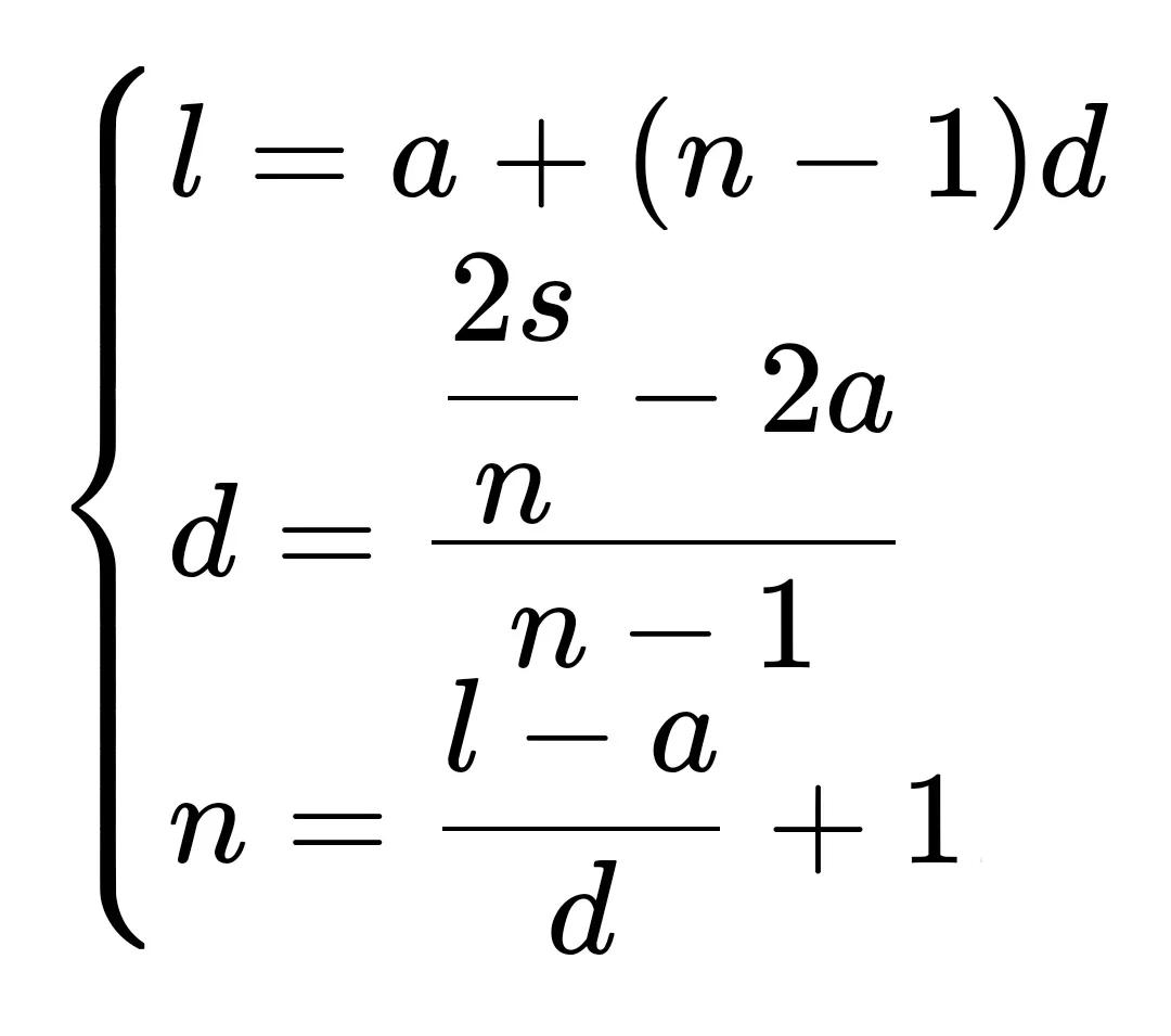
已知首项和末项,古希腊的毕达哥拉斯学派得到求和公式如下:

文字公式如下:
和=(首项+末项)×项数÷2
求项数,求公差和求末项的公式如下:

用上面的公式还可以推导出求公差的公式:

文字公式如下:
项数=(末项-首项)÷公差+1
首项=2和÷项数-末项
末项=2和÷项数-首项
末项=首项+(项数-1)×公差
等差数列的通项公式如下:
aₙ=a₁+(n-1)d
求首项的公式可以从求末项的公式中推导出来:

学好数学需要掌握好基础知识,万丈高楼平地起,夯实地基很重要。还有一些很深很难的知识点本文没有提及。以上,希望能够帮到同学们。
科学尚未普及,媒体还需努力。感谢阅读,再见。