两栖怪物
历史证明,人类要接受一种新数,往往是非常困难的,甚至还曾经为此弄出过人命。第一个发现无理数的古希腊人希帕斯就被毕达哥拉斯的忠实信徒们抛进大海喂了鲨鱼。负数虽然没有弄出人命,但是在好几个世纪中把欧洲的数学家们搞得晕头转向。大名鼎鼎的英国数学家、牛津大学教授瓦里斯为负数闹了一个大笑话,他说:“负数比无穷大还要大”,连后来的大数学家欧拉,对此也深信不疑呢!直至十九世纪,有些数学家如德·摩根、马塞勒还说负数“十分荒唐”,主张把它“从代数里驱逐出去”!

图1 古希腊学派
正当欧洲数学家们被无理数和负数弄得晕头转向还没有完全清醒过来的时候,他们又遇

最早遇到这种数的人,是法国的舒开(1484年)。但第一个认真讨论这种数的,是文艺复兴时期意大利有名的“怪杰”、三次方程解法获得者之一的卡丹。卡丹在1545年提出一个


图2 复数的框图
几乎过了100年,1637年,解析几何的创始人笛卡儿才给这种“虚幻之数”取了一个名字叫“虚数”(和“实数”相对)。又过了140年,大数学家欧拉还是说这种数只是存在

牛津大学教授瓦里斯富有想象力,给虚数找到了一个巧妙的“解释”:假设某人欠地10

最有名的是莱布尼兹评论虚数时那一段颇带几分神秘色彩的话:“圣灵在分析的奇观中找到了超凡的显示,这就是那个理想世界的端兆,那个介于存在与不存在之间的两栖怪物,那个我们称之为虚的-1的平方根。”看,虚数竟成了上不沾天、下不沾地的“两栖怪物”!
虚数开始出现以后,经过了两个多世纪,还得不到人们的正式承认。为什么?
“眼见为实”
大家知道,把一个实数和一个纯虚数相加,得到形如a+bi这种数,叫做复数。复数这个名词是德国大数学家高斯给出的。高斯一边感到这种数有点虚无缥缈,但一边又觉得它很有可爱之处。你看,如果不承认这种数,代数方程有的无解,有的一个解,有的两个解……五花八门,毫无规律;如果承认了它,代数方程都有解,而且n次方程不多不少恰好有n个解!此外,对复数进行代数运算,其结果还是复数(实数和纯虚数只是复数的特例),这样形成了一个完整的数域。
复数既然有这么多的“好处”,为什么数学家对它总是疑虑丛生、迟迟不愿接受呢?直至十九世纪中期,剑桥大学的教授们仍然抱着“厌恶”的心情,对它进行*制抵**。简单点说,就是因为这种数“看不见”,同时也“用不上”,缺乏实践的基础。

图3 复数集
为此立了一功的,是挪威测量学家末塞尔,他找到了复数的几何表示法。大家知道,所有实数都可以用直线上的点来表示,正数用0右边的点来表示,负数用0左边的点表示;

于承认了负数和无理数。末塞尔发现,所有复数a+bi都可以用平面上的点来表示,而且复数a+bi与平面上的点一一对应(图3)。这样一来,复数就找到了一个“立足之地”,而且开始在地图测绘学上找到了它的应用。


图4 复数表示法
复数在几何上找到了“立足之地”以后,人们对它就另眼相看了。从十八世纪末起,以欧拉为首的一些数学家,开始发展一门新的数学分支,叫做复变函数论。大家都学过函数,但在中学里,函数自变量的取值范围仅限于实数。如果把函数自变量z的取值范围扩大到复数,那么这种函数就叫做复变函数。即复变函数W=f(z),其中z,W都是复数。
因为一个复数可以表示为平面上的一个点,那么自变量z的取值范围就是平面上的一个点的集合,相应的函数W的取值范围却是另一平面上的一个点的集合。从几何角度来看,所谓复变函数,就是把甲平面上的一个图形A(点的集合)变换成乙平面上的一个图形B(也是点的集合)。研究复变函数性质的一门学科,就是复变函数论。十九世纪以后,由于法国数学家柯西、德国数学家黎曼、魏尔斯特拉斯的巨大贡献,复变函数论取得了飞跃的发展,并且在空气动力学、流体力学、电学、热学、理论物理学等方面有了广泛的应用。把这种“虚幻之数”第一次应用到工程部门取得重大成就的,是俄罗斯“航空之父”儒可夫斯基,下面就讲一讲他的一些有趣的故事。
“航空之父”
尼古拉·叶哥洛维奇·儒可夫斯基1847年1月17日生于俄国弗拉基米尔省,21岁毕业于莫斯科大学的应用数学专业。他是一个多面手,特别在航空方面很有造诣,后来就专心从事飞行的研究。
1890年,儒可夫斯基在俄国自然科学家会议上作了《关于飞行的理论》的演说。第二年完成了有名的关于飞行的著作《论鸟之飞翔》。他通过长期的观察和研究,发现了鸟类飞行的许多奥秘,作出了一个大胆的预言:飞机可以在空中“翻筋斗”,即在铅直的平面内打圈。当时不少人对他的预言将信将疑,也没有哪一个飞行员敢于冒险去尝试。十多年以后,陆军中尉聂斯切洛夫实现了世界上第一次飞机在空中“翻筋斗”,以后,这种特技飞行就称为“聂斯切洛夫筋斗”。儒可夫斯基的预言实现了,他的预言就是根据复变函数的理论计算出来的。

图5 儒可夫斯基
儒可夫斯基生长的时代,飞机刚刚飞上了天。飞机为什么能飞上天,它应该怎样设计,怎样改进,这一切一切全凭实验来摸索,找不到可靠的理论根据,特别是无法运用数学这个有力工具。由于盲目的实践,所以成功的机会少,失败的时候多。一般的科学家都认为,飞行这门学问只能以实验为基础。莫斯科航空学校校长勃劳茨就曾经说过:“要想依靠数学来建立航空学的某些定律,是再危险不过的事了。”
儒可夫斯基不相信这一套。他研究了围绕和流过障碍物的不断运动着的气流分子(图6),于1906年(就是莱特克弟的飞机飞上天空后的第三年)发表了论文《论连接涡流》,成功地解决了空气动力学的主要问题,创立了以空气动力学为基础的机翼升力原理,并找到了计算飞机翼型的方法。这一切的成就,都依赖于那个前人感到不可捉摸的“虚幻之数”,以及由它引申出来的复变函数论。

图6 不同模型下的气流分子
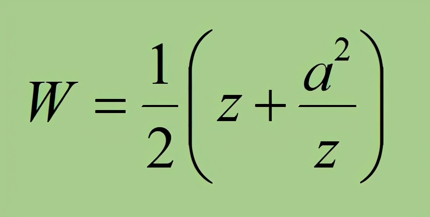
儒可夫斯基翼型,依赖于有名的儒可夫斯基变换,这是一个分式线性的复变函数

其中z为自变量,W为函数,a是一个常数。前面说过,当自变量z的取值范围是平面上一个点集时,函数W的取值范围是另一平面上的一个点集。复变函数把z平面上一个图形A变换成W平面上的一个图形B(这种变换又称为转绘”)。上述儒可夫斯基变换,能把z平面上以P(P不在坐标轴上)为圆心的圆,变成W平面上飞机翼型的截面图。这个翼型就是有名的儒可夫斯基翼型(图7)。

图7 儒可夫斯基翼型
实际上,儒可夫斯基从理论上提出的这个翼型,要想完全照样制作是困难的。实际使用的翼型是根据实验结果描出的经验曲线制作的。但是,由于这种理论上的翼型能够用解析式完美地表达出来,对具有这种假想翼型的飞机性能就可以作充分的计算或估计,然后把计算的结果和实际的翼型作比较,就可以为设计各种优良翼型提供资料。总之,有了理论翼型,就可以指导我们的实践,避免实践上的盲目性。所以儒可夫斯基翼型在航空工程学上有着重大的意义,而为从事这项工作的人们所熟悉。1916年儒可夫斯基的重要著作《航空理论基础》译成法文,成了航空工程师和飞机设计家的必备手册。
儒可夫斯基70岁时,赶上了俄国十月革命。革命后,由于对航空事业作出的巨大贡献,他担任了当时世界上最大的航空科学研究院(后来就以他的名字命名)的领导工作。
1921年在纪念他工作50周年的时候,列宁发布了一道命令,尊称他为“俄罗斯航空之父”。晚年,他的手瘫痪了,还孜孜不倦地为祖国培育新一代的航空人才。在他1921年3月17日逝世前不久,还在计划给航空小组的学生讲授“陀螺仪”的专门课程呢!