一、背景
rrweb 全称 'record and replay the web',是当下很流行的一个录制屏幕的开源库。与我们传统认知的录屏方式(如 WebRTC)不同的是,rrweb 录制的不是真正的视频流,而是一个记录页面 DOM 变化的 JSON 数组,因此不能录制整个显示器的屏幕,只能录制浏览器的一个页签。
二、基本使用
https://github.com/rrweb-io/rrweb/blob/master/guide.zh_CN.md
import rrweb from 'rrweb';
let events = [];
let stopFn = rrweb.record({
emit(event) {
events.push(event); // 将 event 存入 events 数组中
if (events.length > 100) { // 当事件数量大于 100 时停止录制
stopFn();
}
},
});
// rrweb *放播**器回放
const replayer = new rrweb.Replayer(events);
replayer.play(); // *放播**
Demo 地址: https://www.rrweb.io/demo/checkout-form
三、实现原理
3.1 包的组成
rrweb 主要由以下三个包构成:
3.1.1 rrweb
主要提供了 record 和 replay 两个方法, record 负责从一开始录制 DOM 全量信息,到后面监听页面的变化(mutation),并将每次的变化 emit 出来传给开发用户。 replay 负责将 record 录制的一系列 JSON 数据重组再回放出当时的页面内容。
3.1.2 rrweb-snapshot
主要提供了 record 中用的两个方法:序列化 node 节点获得用于传递变化信息的 serializeNodeWithId 和获取页面快照的 snapshot ;此外还提供了 replay 中用到的一个方法:还原页面快照帮助构建回放 DOM 的 rebuild 。
3.1.3 rrweb-player
为 rrweb 设计了一套全新 UI 的*放播**器,可以实现拖拽进度条、调整*放播**速度等功能。
3.2 录制过程 record
整体思路:初始化时获取当前页面的全量快照,添加监听器监听页面不同类型的变化(比如 DOM 的变化以及鼠标、滚动以及页面 resize 等的变化),当以上这些变化(mutation)发生时,根据类型的不同分别进行不同的序列化处理,并将处理好的数据 emit 出来。序列化处理时,给每个序列化的 node 节点分配一个 ID,并维护一个从 ID 到 node 节点的映射以及一个 node 节点到序列化后 serializedNode 节点的映射。

Q :为什么需要序列化节点?直接用原生的 node 节点不行吗? A :由于需要经过网络传输存储在后端,如果直接用 node 节点对象首先是无法通过网络传输(必须要序列化),其次后端也无法存储。因此需要设计出一种合适的(能完整表达一个节点的所有信息,如位置、属性等)数据结构来序列化节点。
3.2.1 前置知识
Node.nodeType( https://developer.mozilla.org/en-US/docs/Web/API/Node/nodeType ): 代表 node 节点的不同类型,在 rrweb 中我们常用到的有 ELEMENT_NODE 、 TEXT_NODE 和 DOCUMENT_NODE 。
双向链表: https://juejin.cn/post/7078915940418748430
MutationObserver( https://developer.mozilla.org/zh-CN/docs/Web/API/MutationObserver ):可以监视 DOM 树的变更,当发生变更时会调用传入构建函数的 callback。它最重要的特点是会批量异步处理 DOM 的变化,比如对于多个 appendChild 和 removeChild 会批量处理调用一次 callback。
3.2.2 源码阅读
为了解主流程原理,对源码进行了大幅简化。首先从我们调用的 rrweb.record 方法进入:
function wrapEvent(e) {
return Object.assign(Object.assign({}, e), { timestamp : Date . now () } );
}
function record(options = {}) {
let incrementalSnapshotCount = 0;
wrappedEmit = ( e, isCheckout ) => {
emit ( eventProcessor (e), isCheckout);
if (exceedCount || exceedTime) {
takeFullSnapshot ( true );
}
};
takeFullSnapshot = (isCheckout = false) => {
wrappedEmit(wrapEvent({
type: EventType.Meta,
data: {
href: window.location.href,
width: getWindowWidth(),
height: getWindowHeight(),
},
}), isCheckout);
// 获取了文档的全量快照,同时维护了一个节点和 ID 的映射 mirror
const node = snapshot ( document , {
mirror,
// ...
});
wrappedEmit ( wrapEvent ({
type : EventType . FullSnapshot ,
data: {
node,
initialOffset: {
// left: ,
// top: ,
},
},
}));
};
const handlers = [];
const observe = ( doc ) => {
return initObservers ({
mutationCb : ( m ) => wrappedEmit ( wrapEvent ({ type : EventType . IncrementalSnapshot , data : Object . assign ({ source : IncrementalSource . Mutation }, m), })),
mousemoveCb : ( positions, source ) => wrappedEmit ( wrapEvent ({
type : EventType . IncrementalSnapshot ,
data : {
source,
positions,
},
})),
// 其他监听器...
}, hooks);
};
const init = () => {
takeFullSnapshot ();
handlers. push ( observe ( document ));
recording = true ;
};
init ();
return () => {
handlers.forEach((h) => h());
recording = false;
};
}
record 中定义了多个关键的函数。 init 中执行了 takeFullSnapshot 和 observe(document) :
- takeFullSnapshot :获取文档的全量快照,作为后面增量快照的基准。首先 emit 了一个 meta 信息,然后执行 snapshot(document, {...}) ,会遍历整个文档树,为每个节点创建一个唯一的 ID 并序列化,维护在 mirror 对象的映射中。mirror 中维护了一个 ID 到原生 node 节点的映射和一个原生 node 节点到序列化后的 serializedNode 的映射,后面所有对 DOM 的操作变化都会实时维护在这两个映射中。这个映射主要用在回放中,可以试想如果只在本地构建重组 DOM 树,可以直接用原生的 node 节点组装起来(直接利用原生 node 的自带属性,如 parentNode 、 nextSibling 、 previousSibling 等);但是如果需要传递一系列增量快照到远端存储并试图重建时,就必须传递可以序列化的信息,必须要有 ID 和序列化后的节点信息,这样用每个节点的 ID 加上这个节点本身的一些信息(比如节点类型,属性等)就可以重新构建。最后 emit 一个 fullSnapshot 信息,将序列化好的整个 DOM 树当作参数。
- observe :初始化各种监听器,以两种主要的变化举例:鼠标的移动和 DOM 的变化。它们都包了两层,第一层先通过 wrapEvent 封装一个带 timestamp 时间戳(用于后续还原*放播**时使用)的 payload,然后再执行 wrappedEmit 函数,这个函数包装了外界传参进来的 emit 方法,也就是说带时间戳的 payload 会被作为入参传给 rrweb 使用的开发者所写的 emit 方法。
这些 payload 根据变化类型的不同会有各自的属性,来帮助*放播**时还原录制的现场,比如鼠标的移动就需要鼠标的位置信息:
function initObservers(o, hooks = {}) {
const mutationObserver = initMutationObserver(o, o.doc);
const mousemoveHandler = initMoveObserver(o);
// 其他监听器...
}
function initMoveObserver({ mousemoveCb, sampling, doc, mirror, }) {
const threshold = typeof sampling.mousemove === 'number' ? sampling.mousemove : 50;
const callbackThreshold = typeof sampling.mousemoveCallback === 'number'
? sampling.mousemoveCallback
: 500;
let positions = [];
const wrappedCb = throttle((source) => {
const totalOffset = Date.now() - timeBaseline;
mousemoveCb (positions. map ( ( p ) => {
p. timeOffset -= totalOffset;
return p;
}), source);
positions = [];
}, callbackThreshold);
const updatePosition = throttle((evt) => {
const target = getEventTarget(evt);
const { clientX, clientY } = isTouchEvent(evt)
? evt.changedTouches[0]
: evt;
positions. push ({
x : clientX,
y : clientY,
id : mirror. getId (target),
timeOffset : Date . now () - timeBaseline,
});
wrappedCb(typeof DragEvent !== 'undefined' && evt instanceof DragEvent
? IncrementalSource.Drag
: evt instanceof MouseEvent
? IncrementalSource.MouseMove
: IncrementalSource.TouchMove);
}, threshold, {
trailing: false,
});
// 使用 addEventListener 就可以实现
const handlers = [
on ( 'mousemove' , updatePosition, doc),
on ( 'touchmove' , updatePosition, doc),
on ( 'drag' , updatePosition, doc),
];
return () => {
handlers.forEach((h) => h());
};
}
首先对几种鼠标变化添加 addEventListener 监听器,当发生变化时执行 updatePosition 函数把获得的 position 作为 mousemoveCb 函数的入参传出来,最终给到上文的 emit 方法。注意其中做了节流的处理,rrweb 支持用 sampling 属性来配置抽样的频率。
再来看看我们最关注的 DOM 变化是如何转换成增量快照的。和鼠标移动的处理方式一样,在 initObservers 函数中调用处理 mutation 的 initMutationObserver 函数,其中我们创造了一个 MutationBuffer 对象 mutationBuffer 并 init 用来存放每次的 DOM 变化,然后利用创造一个 MutationObserver 对象 observer , observer 观察文档所有内容的变化。
function initMutationObserver(options, rootEl) {
const mutationBuffer = new MutationBuffer(); // 存放本次变化有关的信息
mutationBuffers.push(mutationBuffer);
mutationBuffer.init(options);
const observer = new MutationObserver(mutationBuffer.processMutations.bind(mutationBuffer));
observer.observe(rootEl, {
attributes: true,
attributeOldValue: true,
characterData: true,
characterDataOldValue: true,
childList: true,
subtree: true,
});
return observer;
}
当变化发生时,执行 mutationBuffer 的一个方法 processMutations ,mutation 的类型有三种:
- characterData:纯文本类型的变动;
- attributes:节点属性类的变动;
- childList:节点的新增、删除和移动。
我们最关注第三类节点的变化:
class MutationBuffer {
constructor() {
this.frozen = false;
this.locked = false;
this.removes = [];
this.mapRemoves = [];
this.addedSet = new Set();
this.movedSet = new Set();
this . processMutations = ( mutations ) => {
mutations. forEach ( this . processMutation );
this . emit ();
};
this.emit = () => {
// ...
};
this.processMutation = (m) => {
switch (m. type ) { // 判断mutation的类型
case 'characterData': {
// ...
}
case 'attributes': {
// ...
}
case 'childList' : {
m. addedNodes . forEach ( ( n ) => this . genAdds (n, m. target ));
m. removedNodes . forEach ( ( n ) => {
const nodeId = this.mirror.getId(n);
const parentId = isShadowRoot(m.target)
? this.mirror.getId(m.target.host)
: this.mirror.getId(m.target);
if (isBlocked(m.target, this.blockClass, this.blockSelector, false) ||
isIgnored(n, this.mirror) ||
!isSerialized(n, this.mirror)) {
return;
}
else if (this.addedSet.has(m.target) && nodeId === -1) ;
else if (isAncestorRemoved(m.target, this.mirror)) ;
else if (this.movedSet.has(n) &&
this.movedMap[moveKey(nodeId, parentId)]) {
deepDelete(this.movedSet, n);
}
else {
this . removes . push ({
parentId,
id : nodeId,
isShadow : isShadowRoot (m. target ) && isNativeShadowDom (m. target )
? true
: undefined ,
});
}
});
}
}
};
this . genAdds = ( n, target ) => {
if ( this . mirror . hasNode (n)) {
this . movedSet . add (n);
}
else {
this . addedSet . add (n);
}
if (! isBlocked (n, this . blockClass , this . blockSelector , false ))
n. childNodes . forEach ( ( childN ) => this . genAdds (childN));
};
}
}
mutationBuffer 对象维护了两个集合: addedSet 、 movedSet ,还有一个 removes 数组,用于处理三种节点的变化:
- 新增节点( mutation.addedNodes ): 直接添加到 addedSet 中,对于这个节点的 childNodes ****中每个子节点都去递归执行 genAdds 函数;
- 删除节点( mutation.removedNodes ): 由于 MutationObserver 批量异步处理的特性,如果本次变化中出现先增加 A 节点,再删除 A 节点,此次变化的 addedNodes 和 removedNodes 都会有 A 节点。按照处理顺序会先把该节点添加进 addedSet 中,再处理 removedNodes 时应该把它从 addedSet 中删掉。对于需要真正删掉之前已有节点的情况,我们在回放时只需要拿到它的父节点和被删除的节点本身,所以直接将它的父节点 ID 和它本身的 ID (由于是已有的节点,所以在我们的 mirror 映射中一定能找到对应的节点信息)存放到 removes 数组当中即可;
- 移动节点: 当我们的映射 mirror 中已经存在节点 n 时,代表本次 mutation 的节点之前就在我们的 DOM 结构中。移动产生的根本原因也一定是先 removeChild ,再 appendChild 这个移除的节点到新的父节点下。因此在 MutationObserver 中会先产生一个 mutation.removedNodes 的记录,再产生一个 mutation.addedNodes 的记录。首先按照删除节点的逻辑,会存放该节点信息到 removes 数组中,然后到 genAdds ****函数中发现此节点在 mirror 映射中,因此属于移动的节点,添加到 movedSet 中,同样递归它的子节点执行 genAdds 函数。
添加节点时使用集合 Set 的原因:
以下两种操作会生成相同的 DOM 结构,但是产生不同的 mutation 记录:
- 会生成两条 mutation 记录,但是由于 MutationObserver 的批量异步处理特性,在第一条 mutation 记录中拿到的 n1 节点此时已经有 childNodes 了(即 n2 节点);
- 只会产生一条 mutation 记录,即 n1 添加到父节点中,为了不落下 n2 节点,需要对这条 mutation 记录遍历它的所有子节点(上文新增节点中有提到)。
那么如果对于第一种情况,处理 n1 时遍历它的子节点添加了一次 n2,再处理第二条 mutation 记录 n2 节点时又会添加一遍,因此为了去重需要使用集合 Set。而删除节点则无需用集合,因为在回放 removeChild 时自然会把所有子节点都删掉。

在 processMutations 中,以上工作将本次回调的所有变动都收集好了,接下来继续执行 emit 方法:
共识 :序列化节点的顺序应当是从位置能确定的节点(父节点和兄弟节点已经过序列化)开始。对于不确定的节点,需要先存储起来( rrweb 就是利用了 双向链表 存储),待能确定后再序列化。
this.emit = () => {
if (this.frozen || this.locked) {
return;
}
const adds = [];
const addList = new DoubleLinkedList ();
const getNextId = (n) => {
// 获取nextSibling的ID
};
const pushAdd = (n) => {
if (!n.parentNode) {
return;
}
const parentId = this.mirror.getId(n.parentNode);
const nextId = getNextId(n);
if (parentId === - 1 || nextId === - 1 ) {
return addList. addNode (n);
}
const sn = serializeNodeWithId (n, {
// options...
});
if (sn) {
adds. push ({
parentId,
nextId,
node : sn,
});
}
};
for (const n of Array.from(this.movedSet.values())) {
if (isParentRemoved(this.removes, n, this.mirror) && !this.movedSet.has(n.parentNode)) {
continue;
}
pushAdd(n);
}
for (const n of Array.from(this.addedSet.values())) {
if (!isAncestorInSet(this.droppedSet, n) && !isParentRemoved(this.removes, n, this.mirror)) {
pushAdd(n);
}
else if (isAncestorInSet(this.movedSet, n)) {
pushAdd(n);
}
else {
this.droppedSet.add(n);
}
}
let candidate = null;
while (addList.length) {
let node = null;
if (candidate) {
const parentId = this.mirror.getId(candidate.value.parentNode);
const nextId = getNextId(candidate.value);
if (parentId !== -1 && nextId !== -1) {
node = candidate;
}
}
if (!node) {
for (let index = addList. length - 1 ; index >= 0 ; index--) {
const _node = addList.get(index);
if (_node) {
const parentId = this.mirror.getId(_node.value.parentNode);
const nextId = getNextId(_node.value);
if (nextId === -1)
continue;
else if (parentId !== -1) {
node = _node;
break;
}
}
}
}
if (!node) {
while (addList.head) {
addList.removeNode(addList.head.value);
}
break;
}
candidate = node.previous;
addList.removeNode(node.value);
pushAdd(node.value);
}
const payload = {
// 省略文本和属性部分代码
removes : this . removes ,
adds,
};
this . mutationCb (payload);
};
emit 方法最终会组合出一个代表本次 DOM 变化的 payload 传给 mutationCb (在 mutationBuffer init 时传入)执行,最终一路向上追溯到执行 rrweb 使用方所写的 emit 函数。
我们分析下是如何拿到这个 payload 的:
对于删除的节点,直接使用 removes 数组;对于新增(或移动)的节点,我们在回放时需要用到它的父节点、兄弟节点和它本身,定义 adds 数组存放新增的节点信息。首先遍历 movedSet ,如果节点的父节点在本次回调中被删除了则不处理,否则执行 pushAdd 函数,然后遍历 addedSet ,与 movedSet 处理相同。
在 pushAdd 函数中, 首先去获取当前被添加节点的父节点 ID 和下一相邻的兄弟节点 ID,如果发现父节点或者下一相邻节点尚未序列化(即尚未来得及维护 ID 加入 mirror 映射),将这个节点加入双向链表 addList 中(双向链表的 addNode 方法是按照 DOM 节点顺序来添加节点的,根据节点的 previousSibling 和 nextSibling 属性能找到前一兄弟节点的放到它后面,能找到后一兄弟节点的放到它前面,都找不到放到 head。也就是层级越深越靠前、同一层级按 DOM 顺序排位)先存储起来。 如果能找到父节点 ID 和 下一相邻节点 ID 则对这个节点序列化 serializeNodeWithId ,将序列化的节点和 parentId 以及 nextId 作为当前被添加节点的全部信息存到 adds 数组中。
处理完 movedSet 和 addedSet 后,遍历 addList ,由于需要用到 parentId 和 nextId ,所以需要先序列化层级浅、同层级 DOM 顺序靠后的节点,也就是我们 addList 存储的相反顺序。所以从最后一个节点开始遍历 addList 双向链表,对每个节点执行 pushAdd 函数序列化(由于链表的最后一个节点 N 一定是没有下一兄弟节点的,所以在它执行 pushAdd 函数时可以走到序列化的步骤并添加它的有关信息到 adds 数组中,这样前一节点 N - 1 也可以拿到 N 的 ID)。
到这里所有被添加的节点也都处理完成了, adds 数组就是我们 payload 需要的,也就完成了 从一次 mutationObserver 回调的多条记录到一个 payload 中的文本、属性、添加节点信息、移除节点信息的转变。
3.2.3 举例
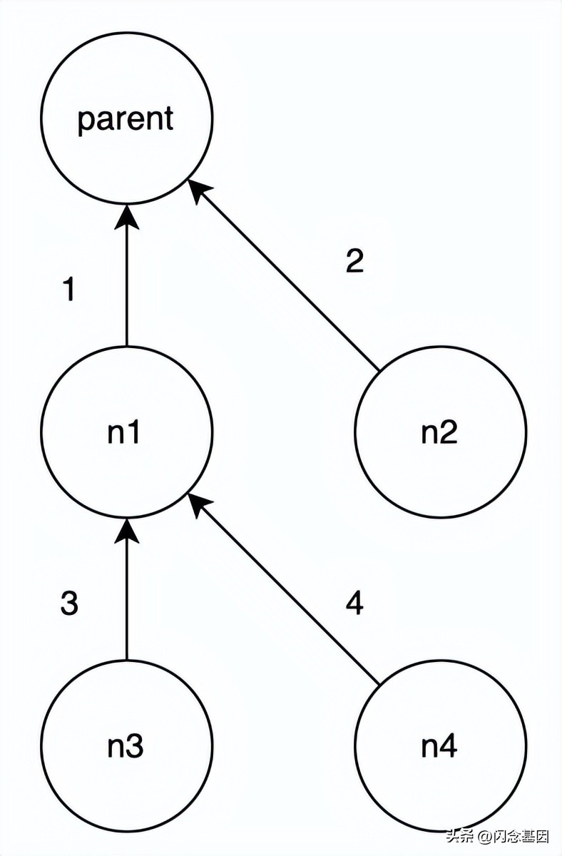
举一个稍微复杂的例子,按 1234 的顺序添加节点到 DOM 中:

function App() {
useEffect(() => {
record({
emit(event) {
if (event.data.source === 0) {
console.log('events', event)
}
}
});
}, []);
return (
<div className="App">
<div id='parent' />
<button
onClick={() => {
const p = document.querySelector('#parent');
const n1 = document.createElement('div');
n1.id = '1';
const n2 = document.createElement('div');
n2.id = '2';
const n3 = document.createElement('div');
n3.id = '3';
const n4 = document.createElement('div');
n4.id = '4';
p.appendChild(n1);
p.appendChild(n2);
n1.appendChild(n3);
n1.appendChild(n4);
}}
>
test
</button>
</div>
);
}
observer 返回了四条 mutation 变化记录:

由于 MutationObserver 的批量异步处理方式,第一条新增的 n1 节点的 childNodes 已经有 n3 和 n4 节点了:

对于第一条 mutation 执行 processMutation ,由于是新增节点会执行 m.addedNodes.forEach((n) => this.genAdds(n, m.target)); 。 genAdds 函数会对 n1 节点的子节点递归,所以第一次执行完 n1 节点时, addedSet 中已经存在了 n1 和它的两个子节点 n3、n4:

接下来执行第二条 mutation 即新增 n2 节点,执行完成后 addedSet 中就有全部四个新节点了:

最后执行第三、四条 mutation,但是 addedSet 不会有变化。
此时转化的第一步 processMutation 就完成了,继续第二步 this.emit() 转换成我们需要的 payload:
遍历 addedSet ,先将 n1 节点取出执行 pushAdd(n1) ,由于 n1 的 nextSibling n2 节点尚未序列化,需要先存储 n1 到双向链表 addList 的 head 位置待 n2 序列化后再处理。接着取 n3 节点执行 pushAdd(n3) ,和 n1 一样,n3 的 nextSibling n4 节点尚未序列化,需要先存到 addList 中,按双向链表添加节点的规则,n3 的前一兄弟节点和后一兄弟节点都没有在双向链表中,所以需要将 n3 添加到 head 位置上,此时双向链表的结构是:

接下来处理 n4 节点,虽然 n4 的 nextSibling 是 null ( nextId 也是 null ),但是它的父节点 n1 依然没有序列化(也暂存在双向链表中等待稍后序列化),所以 n4 也命中了 if ( parentId === -1 || nextId === -1) 的判断需要存到链表中,由于 n4 的前一兄弟节点 n3 在链表头部,所以按照双向链表添加节点的规则需要将 n4 存到 n3 的后面,此时双向链表的结构是:

最后处理 n2 节点,由于 n2 的父节点是已经在 mirror 映射中的,所以能取到 parentId ,它没有下一兄弟节点,所以 nextId 是 null ,无需添加到链表中,可以直接序列化 serializeNodeWithId(n2, {...}) ,把序列化的结果以及 parentId 和 nextId 一起存到 adds 数组中。
对 addedSet 的四个节点遍历完成后,最后一步是倒序处理双向链表暂存的那些节点。最后一个节点是 n1,n1 的
nextSibling n2 已经序列化了,执行 pushAdd(n1) ,能拿到 n1 的 parentId 和 nextId ,直接序列化 serializeNodeWithId(n1, {...}) ,将拿到的序列化节点以及 parentId 和 nextId 一起存放到 adds 数组中。此时 candidate 指向 n1 的 previous 节点也就是 n4,和 n1 同样的处理方式,将序列化的 n4 节点以及 parentId (也就是刚刚序列化的 n1 节点的 ID)和 nextId (null)一起存到 adds 数组中。最后是 head 节点即 n3 节点,将序列化的 n3 以及 parentId (n1 的 ID)和 nextId (null)一起存到 adds 数组中。
到这里双向链表中暂存的三个节点也处理完了,此时 adds 数组中保存了全部处理后的四个节点:

依次是 n2、n1、n4 和 n3。组装好的 payload 如下:

最后经过一系列包装处理这个 payload 传递给使用者写的 emit 方法去执行,看到浏览器打印的信息如下:

payload 基础上加一个 source 属性构成 data 字段, source 表示增量快照的类型,0 代表是 DOM 类的 Mutation,另外 timestamp 和 type 是所有 payload 都会包装的两个属性, timestamp 用于表示开始录屏到现在过了多久用于*放播**器回放, type 表示这个 payload 的类型,3 代表是增量快照,2 代表是全量快照。
export enum EventType {
DomContentLoaded,
Load,
FullSnapshot,
IncrementalSnapshot,
Meta,
Custom,
Plugin,
}
3.3 回放过程 replay
3.3.1 前置知识
- XState( https://xstate.js.org/docs/zh/ ):有限状态机,通过各种不同的 action 管理状态的流转。
- requestAnimationFrame( https://developer.mozilla.org/zh-CN/docs/Web/API/window/requestAnimationFrame ):告诉浏览器执行一个动画,并且要求浏览器在下次重绘之前调用指定的回调函数更新动画。该方法需要传入一个回调函数作为参数,该回调函数会在浏览器下一次重绘之前执行。
3.3.2 重建 DOM 流程
在回放过程中,*放播**器是用 XState 做状态管理的,有两个状态:*放播** playing 和暂停 paused,初始状态是暂停。创建 Replayer *放播**器实例时,会创建两个 service: createPlayerService 用于处理事件回放的逻辑, createSpeedService 用于控制*放播**速度。然后会用事件中的第一个全量快照来还原一个初始的 DOM 树作为后续添加增量快照变更的基础。与录屏时相同,对每个节点也要做序列化 buildNodeWithSN 并维护同样的 mirror 映射。在构建全量 DOM 树和后面处理增量快照时,都是结合目标节点本身、父节点和兄弟节点的信息来定位位置和属性,再调用 appendChild 、 insertBefore 、 removeChild 这几个 Node 节点的方法(或者其他处理节点属性的方法)。调用 replayer 实例上的 play 方法就开始按时间顺序还原增量快照了,会向 playerService 派发 'PLAY' 事件,此时状态机就从初始的 paused 转变为 playing。当调用 replayer 实例上的 pause 方法时,会向 playerService 派发 'PAUSE' 事件,此时状态由 playing 转变为 paused。
回放重建 DOM 与录屏时的区别是:录屏时先对 DOM 做改动再产出序列化节点,回放重建是先根据 event 序列化节点,再改动 DOM 结构。两者各自都随时维护着一个 mirror 映射。
3.3.3 *放播**器
rrweb 的*放播**器是在一个 iframe 上回放录屏的,为了阻断 iframe 上的用户交互需要做一些特殊处理,比如在 iframe 标签上设置 CSS 属性:
pointer-events: none;
为了去脚本化,将 <script> 标签替换为 <noscript> 标签,另外将 iframe 的 sandbox 属性设置为 “allow-same-origin”,可以防止任何脚本的执行。
*放播**器的进度条是如何控制与每个增量快照发生的时间对应上呢?

比如在*放播**时用户点击进度条上的某一点,这一点距离初始时间点是 timeOffset 长度,点击的这个点可以叫做基线时间点 baselineTime,rrweb 会根据这个点将所有的事件分成两部分:前一部分是在基线时间点前已经发生的事件队列,后一部分是待回放的事件队列。把前一部分事件同步还原构建完成,作为后面队列的全量基准 DOM 树,再继续异步地按照正确的时间间隔构建后面的增量快照。
rrweb 借助 requestAnimationFrame 实现了一个高精度的计时器 Timer 。上面介绍待回放的事件队列会被加到定时器的 actions 中,当每次 requestAnimationFrame 调用回调函数 check 时,会判断当前时间与下一个待回放事件的时间先后顺序,如果发现当前时间大于等于下一事件的*放播**时间了,就去 doAction 执行它,确保绝大部分情况下增量快照的重放延迟不超过一帧。
public start() {
this.timeOffset = 0;
let lastTimestamp = performance.now();
const check = () => {
const time = performance.now();
this.timeOffset += (time - lastTimestamp) * this.speed;
lastTimestamp = time;
while (this.actions.length) {
const action = this.actions[0];
if ( this . timeOffset >= action. delay ) {
this . actions . shift ();
action. doAction ();
} else {
break;
}
}
if ( this . actions . length > 0 || this . liveMode ) {
this . raf = requestAnimationFrame (check);
}
};
this . raf = requestAnimationFrame (check);
}
四、与 WebRTC 对比
rrwebWebRTC 录制显示器上的完整信息仅能录制当前浏览器 TAB 页✅ 用户无感知录制✅需要用户同意并选择录制的屏幕内容 录制内容大小均为 JSON 数据,且页面无变动时不会增加大小与录制时间成正比,占据存储空间较大 *放播**器提供了一套独立设计的*放播**器,功能完整需自行寻找合适的*放播**器 回放视频清晰度完全还原 DOM 结构清晰度会有损失
参考资料:
状态机系列 (一) : 令人头疼的状态管理: https://zhuanlan.zhihu.com/p/406551473
rrweb 录屏原理浅析: https://segmentfault.com/a/1190000041657578
rrweb 带你还原问题现场: https://musicfe.com/rrweb/
作者:郝润雨
来源:微信公众号: 字节前端 ByteFE
出处:https://mp.weixin.qq.com/s/5RUjvKOBjqX5Btrse-C3Jg